在阅读此文之前,麻烦您点击一下“关注”,既方便您进行讨论和分享,又能给您带来不一样的参与感,感谢您的支持。
文|混史小郎君
编辑|混史小郎君
«——【· 介绍 ·】——»
聚氨酯(PU)由于其良好的机械性能和特别高的耐磨性,已被用于制造各种产品,例如:泡沫材料、弹性体涂料和防腐清漆,广泛应用于建筑、家具和汽车工业。然而,技术、医学、 电子和经济的不断进步对这些材料构成了越来越大的挑战 ,例如与环境要求或增加热阻的必要性有关。
聚硅氧烷由硅原子和氧原子交替组成,这类聚合物的典型代表是聚二甲基硅氧烷(PDMS)。硅氧烷具有较低的玻璃化转变温度(Tg<-120°C),主要是由于这些聚合物链之间分散力的活性引起的弱相互作用。
这些聚合物还表现出相对较低的自由表面能值和高热稳定性,甚至高达300°C。由于所有这些特性,聚硅氧烷被用于各种独特的用途,如:电子,汽车以及油漆和清漆行业。

此外,聚硅氧烷涂层耐水、耐气候条件,可用于*物文**修复、建筑材料的疏水性和保护外墙免受涂鸦,这是我们这个时代经常遇到的问题。此外,由于其中性的生理作用,硅氧烷也被用于美容和制药。
结合这两种聚合物性能的杂化材料的合成似乎是合理的,最新的研究报告也证实了这一点,用硅氧烷改性的聚氨酯具有较低的玻璃化转变温度和增强的热稳定性,同时增加了疏水性。正因为如此,它们被用作保护涂层、选择性膜、医疗植入物和各种聚合物和纤维的表面改性剂。
然而,现在为制造任何一种产品而设计的技术,在特定产品的合成、安全应用和最终废物管理阶段,也应该从广泛理解的生态方面进行分析。在我们的研究中,我们采用了一种新的方法,以反应性环氧树脂和氨基为基础,制备了杂化聚氨酯-硅氧烷。

通过使用环氧功能性聚氨酯低聚物获得低粘度体系,在后期阶段通过胺在功能化聚硅氧烷存在下交联,具有有益的亲环境效果,包括减少最终产品中的挥发性有机化合物(VOC)。
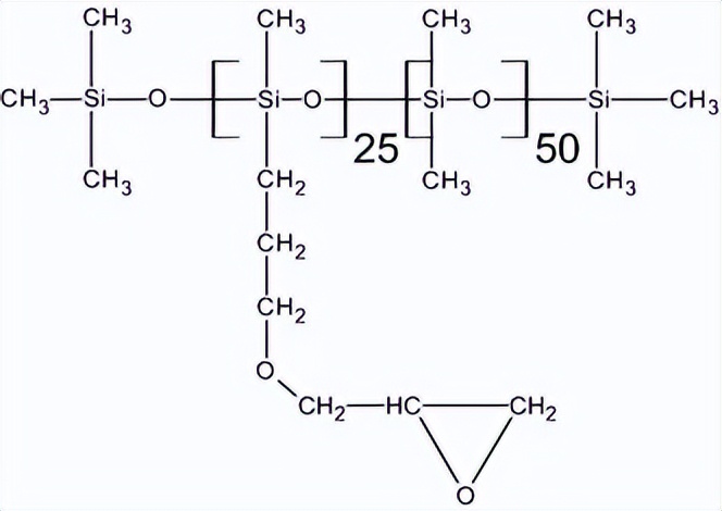
虽然含有环氧基团的聚氨酯衍生物合成聚氨酯热固性聚氨酯已经有报道,但这种方法到目前为止还没有被用于获得混合聚聚氨酯-硅氧烷 。此外,我们采用了一种具有梳状链结构的新型功能化聚硅氧烷,这种结构很少用于聚氨酯改性。
我们研究的目的是扩展我们的初步研究,开发一种基于环氧功能聚氨酯和共聚(二甲基)(甲基,3-缩水氧基丙基)硅氧烷的环保高固体材料的合成方法,用二乙烯三胺固化。本文研究了杂化材料的组成对其表面和热性能的影响。

然而,这次在合成环氧功能性聚氨酯时,我们采用了更高摩尔质量的聚氧四亚甲基二醇(2000g/mol)。
«——【· 端环氧聚氨酯预聚物(EPU2)的合成 ·】——»
采用两步溶剂合成法制得环氧端部聚氨酯(EPU2),第一步将IPDI置于装有加热罩、机械搅拌器、温度计、回流冷凝器和氮气入口的100ml三颈烧瓶中,溶解于甲苯中,然后将PTMO(mn=2000)一滴一滴地加入烧瓶中。
然后加入DBTDL(参照PTMO为0.02wt%)作为催化剂,在65℃下继续反应,直到未反应的异氰酸酯基团的含量达到初始值的一半。温度降至30℃,第二步滴加甘油。在合成过程中,温度缓慢升高至65℃左右,完成预聚物的-NCO基团与甘二醇的-OH基团之间的终止反应。

用FTIR光谱监测反应,每隔1h从反应瓶中取样品,直到2270cm−1处的NCO峰在FTIR光谱中完全消失。IPDI:PTMO:甘油的摩尔比为2:1:2。用旋转蒸发器除去溶剂,并用1H、13CNMR和FTIR对产物进行表征。
«——【· 聚(聚氨酯-硅氧烷)杂化材料(PSi)的制备通用方法 ·】——»
将所需量的共聚二甲基(甲基,3-环氧氧基丙基)硅氧烷(EPS)和/或环氧端部聚氨酯(EPU2)以及适量的二乙烯三胺(环氧:NH基团摩尔比为1:1)放入烧杯中。将烧杯内容物搅拌并放入超声波浴中,以便从散装混合物中去除气泡。
然后将该组合物缓慢倒入干净的聚四氟乙烯或玻璃板上,在110°C下固化8小时,在135°C下后固化2小时。使用上述方法,获得了3个不同硅氧烷含量(25%、50%、75%)的交联聚(聚氨酯-硅氧烷)杂化材料样品。

这些共聚物是II型杂化材料,因为它们含有有机(聚氨酯)和无机(硅氧烷)部分之间的化学键。此外,制备了两个交联EPU和EPS的参比样品。
«——【· 表征技术 ·】——»
采用FTNMRBrukerAvance500II谱仪记录1H和13C核磁共振谱。将样品溶解于CDCl3中,制得浓度约为0.2gdm−3的溶液。
FTIR光谱记录在配有金刚石ATR单元的NicoletiS10(ThermoScientific)傅立叶变换分光光度计上。在所有情况下,收集了16次扫描,分辨率为4cm−1,记录了4000-650cm−1范围内的光谱。

热重分析采用梅特勒-托莱多TGA/DSC1仪器进行。TGA实验分别在25~700℃的氮气和25~800℃的空气中进行,升温速率为10℃min-1。测定条件为:样品重量~4mg,气体流量50mlmin-1,打开氧化铝锅150μl。
采用摆式硬度计,按照PN-ENISO1522:2001标准测定玻璃板上杂化涂层的Persoz硬度。用摆锤在材料表面振荡衰减到玻璃常数的时间(407s)得到Persoz硬度,其值为5次重复的平均值。
根据PN-ENISO2813:2001标准,在20°,60°和85°测量涂层的光泽度值。所得值是五次测量的平均值。
接触角(CA)的测量采用光学角计OCA15EC(数据物理)与数码相机安装在其镜头轴向延伸。用Hamilton微注射器将1μl等体积的水、甲酰胺或二碘甲烷标准液滴在样品表面。

测量温度为20±2℃,放置液滴后10s。接触角的数值是通过对液滴的几何分析得到的,水接触角的测量结果为5次测量的平均值。
«——【· 端环氧聚氨酯预聚物(EPU2)的结构分析 ·】——»
通过FTIR、1H和13CNMR对环氧端部聚氨酯预聚物的化学结构进行了验证。
2270cm−1处没有-NCO峰,表明异氰酸酯转化完成。聚氨酯的特征吸收峰在3327cm−1(-NH拉伸)、1720cm−1(-C=O拉伸,第一酰胺带)、1531cm−1(-NH变形,第二酰胺带)以及1237cm−1和774cm−1(C-N拉伸,第三和第四酰胺带)附近。
在911cm−1处,C-O的存在证实了氧环的内建,其他特征红外波段可以在1104cm-1(-c-o-c-弯曲)和2750-3000cm-1(C-H拉伸)范围内找到。

EPU2的1H和13CNMR谱, 其中质子和碳的信号被分配到聚氨酯链的特定结构部分,记录的核磁共振谱完全证实了环氧端部聚氨酯预聚物的结构。
13C核磁共振谱在156.46和155.94ppm处发生了化学位移,证实了氨基甲酸乙酯的形成,化学位移归因于氨基甲酸乙酯键中的17号和18号碳(-nhcoo-)。异氰酸酯基团中C原子在124ppm处没有峰,证实IPDI二异氰酸酯完全反应。

红外光谱分析也得出了同样的结论,在1HNMR谱中,IPDI环(H1-H5)的信号在0.94-1.75ppm范围内存在。PTMO2000引起的化学位移发生在1.50-1.75ppm,与-ch2-6中的质子有关,与-ch2-o-中的质子有关,为3.41ppm,与-ch2-oconh-中的质子(15)有关,为4.05ppm。
上述基团中碳的化学位移也反映在13C核磁共振光谱中,特别是δ=26.50,64.50和70.60ppm时,信号分别属于-ch2-(6),-ch2-o-(12)和-ch2-oconh-(15)基团。氧环上的质子在δ≈2.65、2.84和3.21ppm处的信号证实了氨基甲酸乙酯预聚物结构中存在甘二醇,13C核磁共振光谱中碳的互补信号分别存在于44.58和54.95ppm。
«——【· 氮中的热降解 ·】——»
用热重法研究了交联聚氨酯-硅氧烷的热稳定性,在氮气中10°Cmin-1加热速率下记录的TG和DTG曲线。

根据热重分析可以得出结论,交联聚氨酯低聚物(PSi0)在205-500℃范围内至少分为两个主要阶段。第一阶段降解发生在205-370℃,伴随着19%的质量损失,这与分子中最弱的键断裂有关,这无疑是氨基甲酸乙酯键。
第二阶段的分解与PTMO2000软段的降解有关,此阶段的质量损失为Δm2=80.3%。第一阶段(Tmax1)和第二阶段(Tmax2)的最大失重速率温度分别为316℃和413℃。然而,交联硅氧烷样品(PSi100)在300-600℃的温度范围内表现出一段降解机制,最大失重速率温度为401℃,总质量损失为88.5。
与PSi0类似,所有交联聚(聚氨酯-硅氧烷)样品在205-580°C范围内至少在两个主要阶段分解。psi25%样品的第一阶段降解伴随着16%的质量损失,发生在205-350℃,与聚氨酯键的断裂有关。

对DTG曲线的详细分析表明,对于含有50%硅氧烷的样品,在300-350°C的温度范围内存在肩峰,而对于含有75%硅氧烷的样品,在205-370°C的温度范围内没有观察到降解的第一步。
这可能表明在第一分解阶段的热裂解机制更为复杂,也涉及硅氧烷部分的降解 。这一阶段的质量损失从19.0下降到11.0,同时氨基甲酸乙酯段减少,这也表明氨基甲酸乙酯键在这一阶段发生了断裂。
第二阶段降解发生在360-580°C范围内,与PTMO软段和热稳定硅氧烷部分的降解有关。随着硅氧烷用量的增加,该阶段的最大失重速率温度降低,而质量损失残渣从82.5%(PSi25)增加到92%(PSi75)。

失重5%的温度(t5%)取决于硅氧烷的含量,最低温度为5%=298℃时,显示交联聚氨酯低聚物(PSi0)。随着PSi样品中硅氧烷含量的增加,温度升高5%,PSi100样品温度达到最大值356℃。
这一事实证实了硅氧烷对杂化材料热稳定性的积极影响,随着EPS含量的增加,降解后的固体残渣量也随之增加。这可能表明在降解过程中不仅会产生环硅氧烷结构的挥发性分解产物,而且还会形成复杂的硅基结构。
PSi样品与类似材料相比,显示出更大的热稳定性,但从mn=1000的PTMO中获得,这反映在后者较低的t5%。两个样品系列重量损失5%的温度差异超过10°C。这可能是由于从EPU2中获得的聚(聚氨酯-硅氧烷)样品中热弱的聚氨酯部分含量较低,这是基于具有较大摩尔质量的PTMO。

«——【· 空气中的热降解 ·】——»
根据热重分析(TG)和差热重分析(DTG)可以得出结论,交联聚氨酯(PSi0)样品在空气中分解分为三个步骤。第一阶段降解发生在180~380℃,最大失重速率温度(Tmax1)为372℃;第二阶段降解发生在380~400℃,Tmax2=397℃。
PSi0降解的第三阶段在DTG曲线上表现为450-680°C范围内的宽峰。此步骤的最大失重速率温度(tmax3)为530℃。PSi0分解第一步、第二步和第三步的失重率分别下降60.1%、31.9%和8.0%。
在所研究的样品中,PSi100的降解机制最为复杂。在最大失重速率温度为393、411、501和642℃时,存在至少四个阶段的降解。对于一些退化步骤,观察到肩峰和分裂峰的出现,这阻碍了清晰的分析。

与氮相比,热氧化发生在180-800°C的更宽温度范围内。由于氧气的存在,降解更加复杂。降解的第一阶段发生在180-370℃。PSi100样品不存在这一步骤,这可能表明聚(聚氨酯-硅氧烷)热固性物分解的初始步骤与聚氨酯键断裂有关。
此外,对于硅氧烷含量最高的共聚物样品PSi75和PSi100,在470-650°C范围内,DTG曲线上出现了额外的降解步骤。
对于所有样品,空气中记录的失重5%的温度比氮气低。随着PSi样品中硅氧烷含量的增加,温度升高5%,PSi100样品温度达到最大值317℃。每个样品在氮气和空气中记录的t5%值之间的差异随着硅氧烷含量的增加而增加。

这一事实证实了EPS对杂化材料热稳定性的积极影响,降解后的固体残渣量比在氮气中大,达到0-13wt%。这是在热氧化过程中形成复杂硅基结构的证据。这些结构在样品表面形成,并形成绝缘层,这减缓了聚合物的进一步分解,正如在聚(聚氨酯-硅氧烷)共聚物中观察到的那样。
«——【· 接触角和自由表面能(FSE) ·】——»
CA的标准差值不超过2°,对于未改*交性**联聚氨酯涂料PSi0,每种标准液体的CA值最低,二碘甲烷、甲酰胺和水的CA值分别为48°、67°和84°。
各模型液的接触角随EPS含量的增加而增大,最大可达50wt%,然后基本保持不变,这可归因于涂层表面硅氧烷浓度的平衡。 CA随模型液体极性的增大而增大,其顺序为:二碘甲烷<甲酰胺<水。

PSi涂层通常是微极性材料,FSE在26-29mJm−2之间。Owens-Wendt法和vanOss-Good法所得的自由表面能值具有可比性。最大的FSE值(35mJm−2)显示交联聚氨酯样品PSi0。随着样品组成中EPU2的减少,自由表面能降至26mJm−2(PSi75),进一步证实了硅氧烷的疏水特性。
最低的FSE为17mJm−2,为交联硅氧烷样品(PSi100)。与同类材料相比,PSi的自由表面能较低,但由Mn=1000的PTMO基EPU获得,这可能与PSi样品中极性聚氨酯组分含量较低有关。

«——【· 结论 ·】——»
以端环氧聚氨酯低聚物和梳状共聚(二甲基)(甲基,3-缩水氧基丙基)硅氧烷与二乙基三胺固化为原料,制备了一系列新型交联杂化网络。用FTIR、1H、13C核磁共振谱对原料结构进行了确证。
用红外光谱对所得的聚氨酯-硅氧烷热固性材料的结构进行了表征,硅氧烷的加入提高了交联聚氨酯的热稳定性。随着硅氧烷含量的增加,聚氨酯-硅氧烷热固性树脂的失重温度也随之升高。
在氮气中进行的热重研究表明,聚(聚氨酯-硅氧烷)热固性材料的热降解基本上是一个两阶段的过程。 空气中的分解开始温度比氮气中的低,而且更为复杂,至少涉及三个步骤。所得的聚脲-硅氧烷网络为疏水材料,其自由表面能为26-29mJm−2。

硅氧烷添加量的增加导致水接触角和FSE的增加,达到硅氧烷的50%,然后保持不变,这证实了所使用的硅氧烷的疏水性。涂层一般较软,相对硬度在0.14-0.24之间,硅氧烷的掺入导致光泽度降低。
参考文献:
1.《含硅共聚物的合成、性能及应用》
2.《基于绿色聚氨酯分散体的疏水耐油涂料》
3.《线性聚氨酯的合成方法、化学结构和相结构》
4.《聚脲-氨基脲-硅氧烷的化学结构对其形貌、表面和热性能的影响》