#夏日车车大作战#
一、承载力验算
1.1 非抗震时
分类1 轴心荷载作用时

分类2 偏心荷载作用时


1.2 抗震时
分类1 轴心荷载作用时


分类 2 偏心荷载作用时



1.3 软弱下卧层验算



二、稳定性验算
6.1地基整体稳定性验算
《地规》5.4.1条,地基稳定性可采用圆弧滑动面法进行验算。最危险的滑动面上诸力对滑动中心所产生的抗滑力矩与滑动力矩应符合下式要求:

6.2 坡顶建筑稳定性验算


6.3 抗浮稳定性验算

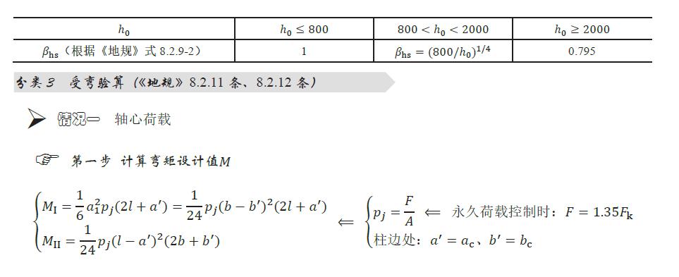
三、扩展基础
2.1柱下独立基础
以下计算中,各作用力均采用设计值,且不考虑G,基底压力采用净反力。
















小白钢结构识图入门
¥20
购买