
马上就要结束中秋假期,开始上班上学了,不知道各位这个假期过得怎么样?

反正小编是每逢佳节瘦胖三斤,没办法,好吃的太多了。而最近吃的都是分层的膨化饼干,分层的蛋糕,甚至月饼分开都是分层的。

固体分层固然简单,液体静止的话也不难,比如各种鸡尾酒:

然而这时小编就产生了一个疑问,有没有流动的流体可以产生分层现象呢?如果有的话,又与什么有关呢?
雷诺数
Reynolds numbers
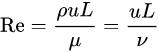
说到流体,就不得不提一个在流体力学中用于帮助预测不同流体的流动模式的一个重要的无量纲的参数,那就是雷诺数(Reynolds number)。其定义为:

其中:
-
ρ是流体的密度( SI单位:kg / m^3)
-
u是流体相对于物体的速度(m / s)
-
L是特征线性长度(m)
-
μ是流体的动力粘度(Pa·s或N·s/m^2或kg/m·s)
-
ν是流体的运动粘度(m^2/s)[1]
在低雷诺数下,且流体缓慢移动或者流体非常粘稠的时候通常会发生层流,层流中粘性占主导地位,其特点是一种平滑、恒定的流体运动。在低速时,相邻层会像扑克牌之间的滑动一样,不会互相影响,没有垂直于流动方向的横流,也不会形成高速运动而造成的漩涡或者涡流。

非常顺滑,互不影响
在层流中,流体的运动是非常有序的,并且以接*平近**行于固体表面的方向流动。[2] 层流的常见例子就是粘性流体通过管道的平稳流动,在这种情况下,流速在壁处的零速度梯度变化到横截面中心速度最大点。

层流速度示意图
相对的,在高雷诺数下的流体易发生湍流,受惯性支配,而正因为这样,往往会产生混沌漩涡、涡流等流动不稳定的流体现象。其特征是压力和流速的混乱变化,这与层流相反,层流在流体中以平行层流动的方式运动,但是层与层之间并不会互相干扰。湍流是由流体流动部分过剩的动能引起的,这使得其克服了流体粘性的阻尼效应,因此在低粘度流体中通常会形成湍流。

尾部流出的流体
而在日常生活中可以看到很多湍流的现象,比如在香烟中上升的烟雾,对于前几厘米,可以看出烟雾是层流的,但是随着流速和特征长度的增加,雷诺数增加,进而烟雾变得混乱形成湍流。[3]

吸烟有害健康
除了流速密度长度等参数,另一个决定层流产生的参数黏度该如何测量呢?
怎么测量黏度?
How to measure viscosity?
流体一般都具有一定的粘性,除了超流体。超流体是具有零粘度的流体,因此其在流动的时候不会损失动能。所以当搅拌超流体的时候,其会形成漩涡,由于不会损失动能,就可以无限进行“爱的魔力转圈圈”。[4]

转起来
那么一般如何定量的研究流体的粘度呢?
一个法国物理学家莫里斯库埃特(Maurice Couette)设计了一种同心圆的粘度计,通过内筒的旋转进而旋转流体,从而可以测量流体的黏度,同时也研究了流体的无滑移边界条件,并在两个圆柱体之间的间隙中观察到了一种层流,其被称为库埃特流。[5]

圆柱粘度计
而另一个人,泰勒爵士(Sir Geoffrey Ingram Taylor)扩展了库埃特的工作,他在一篇开创性的论文中研究了库埃特库埃特流的稳定性,而他的论文也成为了发展流体动力学稳定性的基石,当时科学界争议的无滑移条件是固体边界粘性流动的正确的边界条件,也因此将两个人的名字合二为一,就得到了泰勒-库埃特流。

示意图
泰勒(不是泰勒展开的泰勒)证明,当内圆柱体的角速度增加到一定的阈值以上时,库埃特流将变得不稳定,并且会出现以轴对称环形漩涡为特征的次级稳态,称为泰勒涡流,继续增加角速度时,将会导致更大的不稳定,下一个状态叫波浪涡流。如果超过一定的雷诺数,就会出现湍流。[6]
回到”过去“的流体?
Going back to the "past" fluid?
你见过可以回到“过去”的流体吗?emmmm听上去很玄乎,通俗的讲也就是,这种流体的流动行为是可逆的。

这不是倒放啊喂 来源:giphy
首先在里面加上浓浓的玉米糖浆至加满,随后滴入几滴带颜色的糖浆,这是一种非常粘稠的液体,会在流体与壁面之间一般形成无滑移边界,也就是说流体和壁面之间没有相对滑动,糖浆与外筒内壁和内筒外壁之间没有相对速度。所以当内筒转动时,靠近内筒部分的带颜色的糖浆将会随之转动,而且剩下的越来越少,越来越靠近内筒,如果你垂直看的话,就会发现形成了漂亮的螺旋线。

然后慢慢旋转内筒,转七圈之后,带颜色的糖浆完全混合在一起了,并且在竖直面上,可以看到分层显现,而在外壁看则是完全混乱不堪的,甚至有一点像大理石的纹路,而这一切完全是因为这是一种层流现象。

转过7圈混合之后的效果
下面就是见证奇迹的时刻,开始倒着旋转内筒至第七圈,可以看到一开始混乱不堪的有色糖浆逐渐互相分离,变的有序到恢复之前的样子,换句话说,这种变化是可逆的。[7]
那么在低雷诺数,黏度较大的玉米糖浆中。由于带颜色的糖浆距离中心的远近不同,内部带颜色的糖浆在横切面处会产生一个角速度梯度,在低转速下将会分层运动并逐渐由于角速度的不同而散开,越靠近内筒角速度越大,移动的越远,在外面看上去就像混合了一样。

混合
而当反向转动的时候,这个沿轴的角速度梯度没有变,依然是里面走的快,外面走的慢,这样当转回来的时候,带颜色的糖浆又会恢复如初了,而且俯视来看的话,还可以看到明显的分层现象。

俯视图分层
我“胡汉三”又转回来了???
后记
There are one more additions
有没有发现,这个回到“过去”的流体力学演示实验中竟然还隐藏着“人生意义”?
有时候,生活甚至是“科研”就像一开始旋转的流体,什么事情都变得越来越糟,越来越乱。

那咋整呢?
但是大家一定要相信,如果你可以好好想想自己身处的状况,考虑一下如何才能摆脱这种状况,并且慢慢地、有条不紊的采取行动(转回去),这样子总有一天,能够摆脱现在乱七八糟的生活的(逃)。

部分图片来源于网络
参考文献:
[1] Reynolds number-维基百科
[2] Laminar flow-维基百科
[3] Turbulence-维基百科
[4] Superfluidity-维基百科
[5] Maurice Couette-维基百科
[6] Taylor–Couette flow-维基百科
[7] unmixing color machine-youtube
编辑:井上菌