全固态氟离子电池(FIB)被认为是一种很有前途的储能器件,然而目前提出的阴极材料在高能量密度和高倍率性能方面还不能满足实际应用的要求。
来自京都大学的学者报道了 首次使用稳定、低成本的氧化亚铜(Cu2O)作为全固态光纤的阴极材料,具有可逆和快速(脱)氟化行为 。采用电化学方法和X射线吸收光谱相结合的方法,提出了以Cu+/Cu2+氧化还原为电荷补偿的相变反应机理。第一次放电容量约为220 mAh g−1,在第一次快速放电循环中观察到较快的容量衰减,这归因于部分结构的非晶化。与简单的金属/金属氟化物体系相比,该材料表现出优异的倍率性能,1C首次放电容量为110mAh g−1。文中还研究了该材料的倍率决定步骤和可能的结构演变。相信通过对Cu2O作为阴极材料的全面研究,可以加深对全固态光纤的理解。相关文章以“Reversible and Fast (De)fluorination of High-Capacity Cu2O Cathode: One Step Toward Practically Applicable All-Solid-State Fluoride-Ion Battery”标题发表在Advanced Energy Materials。
论文链接:
https://doi.org/10.1002/aenm.202102285


图1.块状电池和Cu 2 O正极材料的基本信息。a)用于评价Cu 2 O正极材料的块状电池示意图。
(b)制备的PbSnF4电解液、原始Cu2O和Cu2O/PbSnF4/AB复合材料的X射线衍射图谱和c-e扫描电镜图像。f)用能谱仪(EDS)研究了Cu2O/PbSnF4/AB复合材料中Cu、F、Pb、Sn的元素分布。

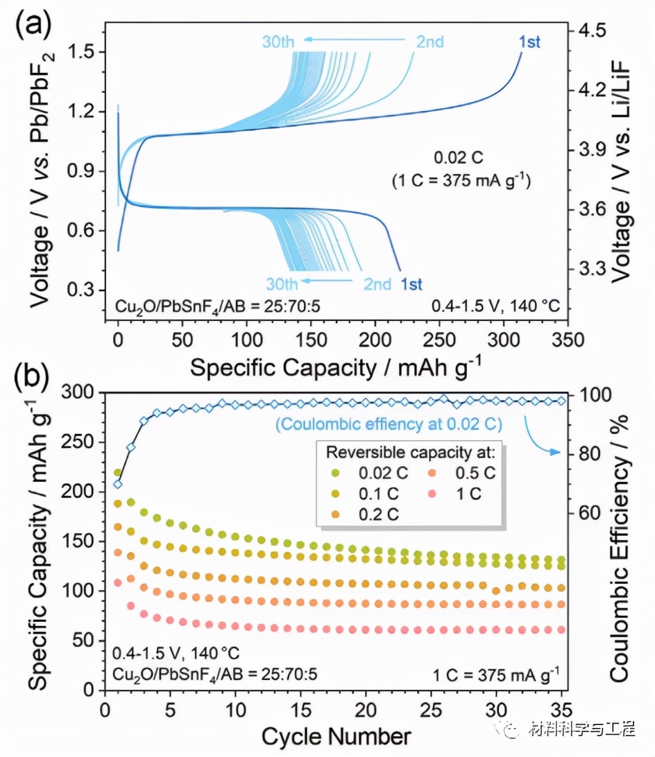
图2.140°C下Cu2O正极材料的电化学测量a)0.02C下循环1-35次的充放电预制棒;b)不同C速率下的循环能力。

图3.充电补偿和结构相关信息。a-c)由a)充电和b)放电获得的Cu K-edgeX射线吸收近边结构(XANES)谱,以及c)Cu2O、CuO和CuF2标准样品的标准谱。d)原始样品、完全充电样品和完全放电样品的Cu K-edge扩展X射线吸收谱(EXAFS)的R空间和e)K空间模式。f)Cu2O材料初始充电时的非原位高能X射线衍射(HEXRD)图谱。这些数据是根据初始周期中的g)异位点收集的。

图4.Cu2O氟化反应的动力学和速率分析。a)本研究中Cu2O的速率能力与不帮我以前研究的Cu薄膜体系的速率能力的比较。b)由恒电位间歇滴定技术(PITT)结果计算的表观F-扩散系数。c)在1.08-1.09V电位阶跃计时电流法测量中的电流响应(D)Kolmogorov-Johnson-Mehl-Avrami(KJMA)分析在1.08-1.09V电位阶跃下的电流响应。

图5.可能的四面体位置(a)和F嵌入的配位(b)。
本文研究了可逆Cu+/Cu2+氧化还原的Cu2O作为全固态光纤正极材料的性能。结合电化学证据和X射线光电子能谱(XAS)结果证实了该相变机理。与已报道的各种材料相比,Cu2O在高电流密度下具有高容量和令人印象深刻的保持率。非原位HEXRD和Cu K-edge EXAFS结果表明,前几个循环的快速容量衰减归因于充电时发生的部分不可逆非晶化。KJMA方程表明,相界运动是决定速率的步骤。根据Cu2O晶格的结构特征,结合EXAFS分析,讨论了可能的反应模式和F占位。综上所述,本研究初步展示了全固态光纤阴极材料快速氟化的前景,使全固态光纤向实际应用又迈进了一步。在未来的工作中,无毒(如无铅)和高性能电解质和阳极的发展也是重要的。相信对Cu2O的研究将为高性能全固态光纤的发展提供更多的策略。(文:SSC)
本文来自微信公众号“材料科学与工程”。欢迎转载请联系,未经许可谢绝转载至其他网站。