
软磁铁基非晶合金具有强度高、软磁性能优异、耐蚀性强等优点。80年代研究人员成功开发出的Fe-Co-P-B和Fe-Co-Si-B己经被用作软磁材料,其商业名称为METGLAS。1988年,研究者开发出Fe-Si-B-Cu-Nb (FINEMET)纳米晶合金,又显著地提高了其软磁性能。此后几十年尽管研究人员研发了大量的新型合金成分,但目前产业化应用的合金主要仍是上世纪八十年*开代**发的METGLAS和FINEMET。这从侧面说明目前的大部分新型合金成分的综合性能如非晶形成能力、饱和磁感应强度、矫顽力、磁导率和热稳定性等仍然难以满足服役要求。一方面,目前缺乏可以定量描述铁基非晶合金成分与性能之间关系的准则;另一方面,迄今为止,铁基非晶合金的成分设计主要依赖传统的实验试错方法,这一研发过程复杂、效率低下、周期漫长且成本较高昂,成为快速、准确设计铁基非晶合金亟需突破的技术难题。
随着人工智能技术的进步,机器学习(Machine Learning)方法在数据挖掘领域获得了长足的发展。在材料科学领域,机器学习已逐步应用于材料建模来更准确地预测材料特性。这些方法为解决材料的成分优化、处理工艺设计和性能研究等提供了科学有效的先进手段。然而,目前大多数机器学习算法都存在“黑匣子”问题,很难建立可定量描述铁基非晶合金成分与性能关系的合金设计模型。因此,提高机器学习模型的可解释性和透明度,将有助于模型的除错、引导未来的数据收集方向、为特征构建和性能预测提供真正可靠的信息,最终建立合金本征特性与性能之间的定量关系。

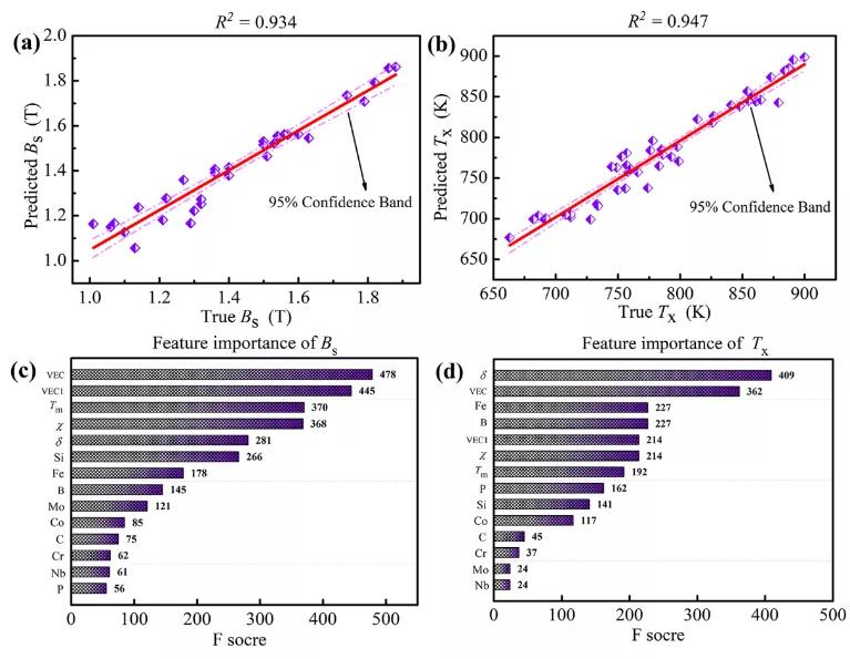
图1. XGBoost机器学习算法实现输入特征评分
来自北京科技大学新金属材料国家重点实验室和北京材料基因工程高精尖创新中心的吕昭平教授和刘雄军教授团队提出了一种利用可解释性的XGBoost机器学习算法辅助设计高热稳定性和高饱和磁感应强度软磁铁基非晶合金的方法,同时深入挖掘重要特征背后的物理意义并建立了具有高准确度的性能预测准则,为新型软磁铁基非晶合金的研发提供了新思路,可显著提高合金研发效率、降低研发成本。

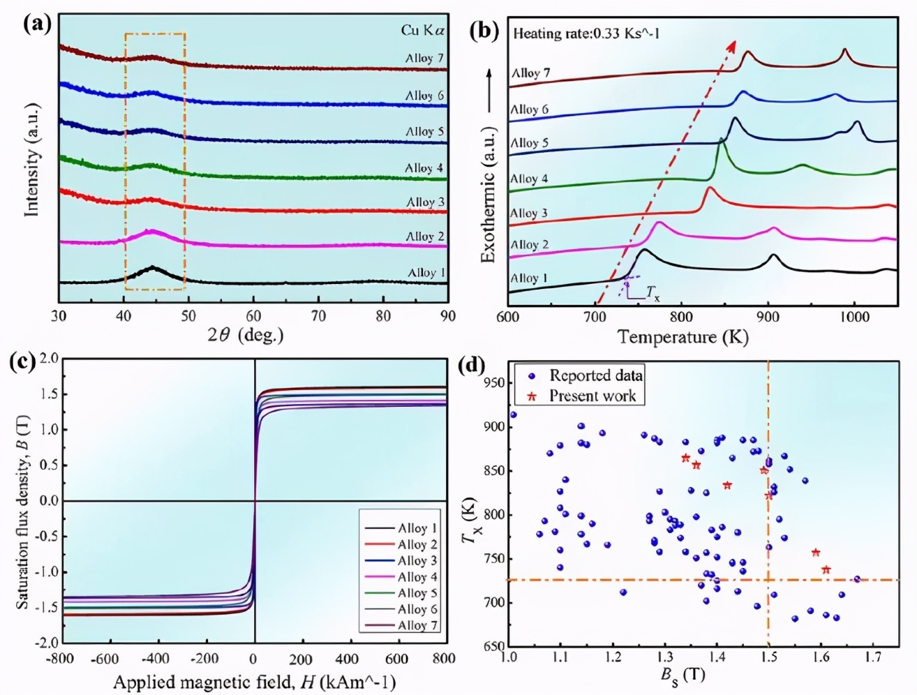
图2. ML预测的实验验证。
基于XGBoost算法,该工作具体包括:1)建立铁基非晶合金数据集;2)数据集预处理,输入参数“指纹化”,将N组样本中,每组数据的合金成分比例信息和计算的原子尺寸差等本征属性作为输入特征,饱和磁感应强度和初始晶化温度作为输出变量;3)建立机器学习预测模型,进行重要特征提取,结合提取的重要特征,进一步推导出具有物理意义的软磁性能和热稳定性与重要特征之间的关系,进而实现基于物理冶金学理论的特征降维,获得可解释性的量化预测准则;4)合金设计准则的实验验证,通过测量制备的不同软磁铁基非晶合金的饱和磁感应强度(Bs)和晶化温度(Tx),并与机器学习准则对比。作者发现,Bs和Tx预测误差分别低于10%和5%,从而验证了XGBoost机器学习模型的可靠性和合理性。作者们基于现有铁基非晶合金软磁性能和热稳定性的实验数据,利用机器学习模型可同时预测未知铁基软磁非晶合金的饱和磁感应强度(Bs)和初始晶化温度(Tx),具有工作量小、可解释性强、精度高、可靠性高、可操作性强等优点,有望应用于设计不同体系软磁铁基非晶合金。
该文近期发表于 npj Computational Materials 6: 187 (2020),英文标题与摘要如下,点击https://www.nature.com/articles/s41524-020-00460-x可以自由获取论文PDF。

Interpretable machine learning strategy for soft magnetic property and thermal stability in Fe-based metallic glasses
Zhichao Lu, Xin Chen, Xiongjun Liu*, Deye Lin, Yuan Wu, Yibo Zhang, Hui Wang, Suihe Jiang, Hongxiang Li, Xianzhen Wang & Zhaoping Lu*
Fe-based metallic glasses (MGs) have been extensively investigated due to their unique properties, especially the outstanding soft-magnetic properties. However, conventional design of soft magnetic Fe-based MGs is heavily relied on “trial and error” experiments, and thus difficult to balance the saturation flux density (B_s) and thermal stability due to the strong interplay between the glass formation and magnetic interaction. Herein, we report an eXtreme Gradient Boosting (XGBoost) machine-learning (ML) model for developing advanced Fe-based MGs with a decent combination of B_s and thermal stability. While it is an attempt to apply ML for exploring soft magnetic property and thermal stability, the developed XGBoost model based on the intrinsic elemental properties (i.e., atomic size and electronegativity) can well predict B_s and T_x (the onset crystallization temperature) with an accuracy of 93.0 % and 94.3 %, respectively. More importantly, we derived the key features that primarily dictate B_s and T_x of Fe-based MGs from the ML model, which enables the revelation of the physical origins underlying the high B_s and thermal stability. As a proof of concept, several Fe-based MGs with high T_x (>800 K) and high B_s (>1.4 T) were successfully developed in term of the ML model. This work demonstrates that the XGBoost ML approach is interpretable and feasible in extraction of decisive parameters for properties of Fe-based magnetic MGs, which might allow us to efficiently design high-performance glassy materials.