初中数学因式分解的题包括答案 (初中数学因式分解专项训练)

初中数学基础因式分解题,初中数学因式分解50题专题训练

初中数学基础因式分解题,初中数学因式分解50题专题训练

初中数学基础因式分解题,初中数学因式分解50题专题训练

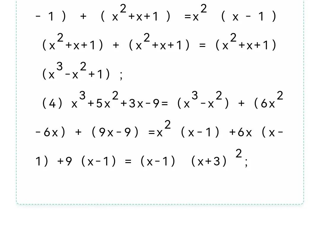
初中数学基础因式分解题,初中数学因式分解50题专题训练

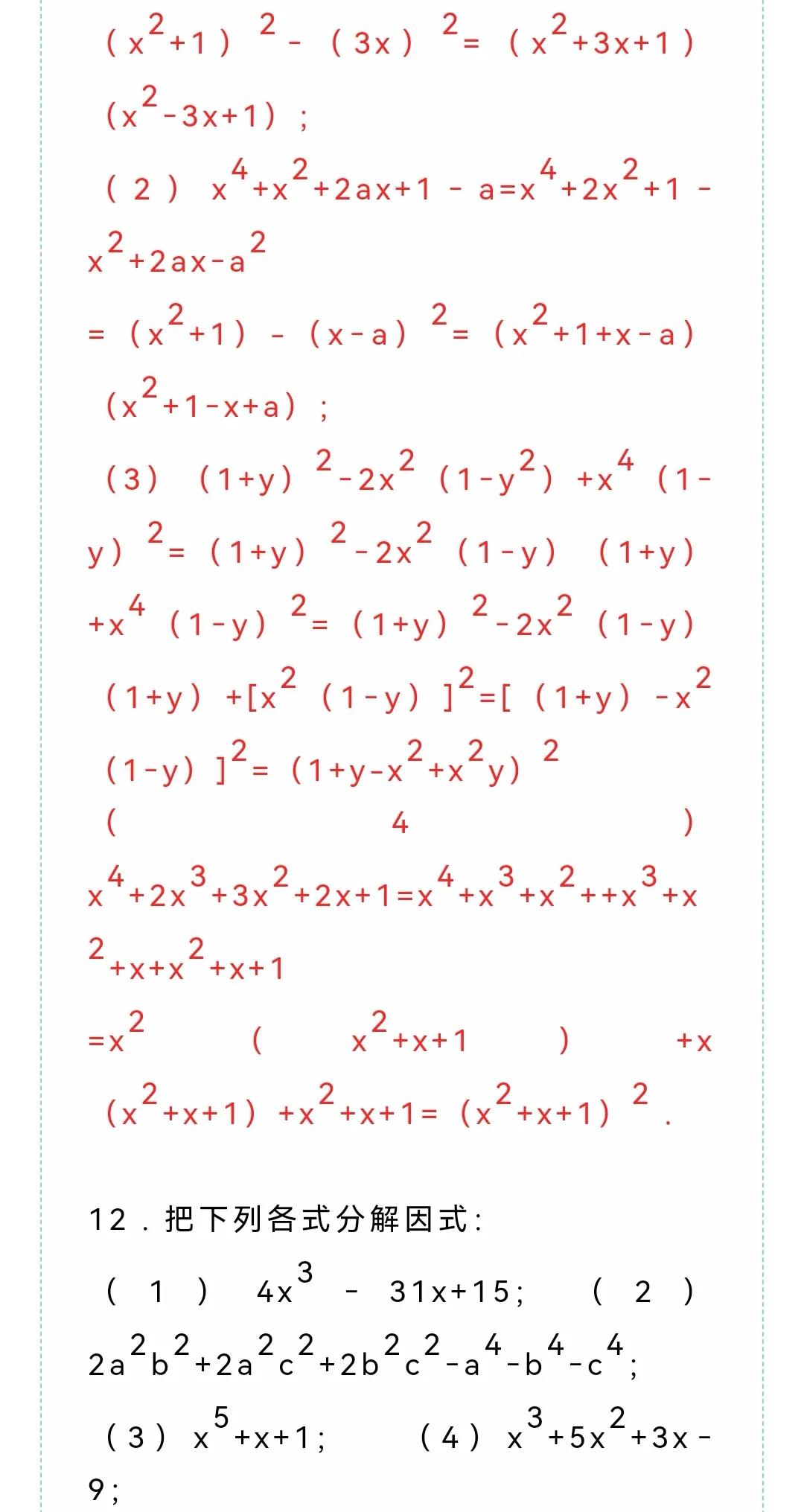
初中数学基础因式分解题,初中数学因式分解50题专题训练

初中数学基础因式分解题,初中数学因式分解50题专题训练

初中数学基础因式分解题,初中数学因式分解50题专题训练

初中数学基础因式分解题,初中数学因式分解50题专题训练

初中数学基础因式分解题,初中数学因式分解50题专题训练