现在房价这么高,买房子时候大家都要*款贷**。银行一般会提供两种还款方式供我们选择:等额本金还款法和等额本息还款法。 这两种还款方式有什么区别呢?哪一种更合算呢?有人说:还款时最开始还的都是利息,后面还的才是本金,所以千万不要提前还款,否则就白出利息吃亏了,这种说法对不对呢?看完这篇文章,你就明白了。
为了说清楚这个问题,我们举一个例子:某银行提供给客户的房贷年利率6%,每月还款。小明向银行*款贷**12万元,并用1年还清,即分12期偿还。那么小明要付出多少利息呢?
有一种典型的错误算法是用*款贷**额直接乘以年利率:120000元×6%=7200元。这是因为,年利率6%是名义利率,随着小明每个月的还款,他所欠银行的本金逐渐减少,利息也会随之减少,最终还款总利息会小于7200元。1
1:等额本金
无论哪种还款方式,每个月的偿还额都由两部分构成:归还本金和归还利息。
等额本金的方式两部分计算都非常简单。这种方式的特点是:每个月归还的本金是相同的,即将*款贷**本金平均分在每一期还款中。比如:小明*款贷**12万元,分12期偿还,因此每个月应该归还的本金就是1万元。
同时,每个月都要归还利息,由于一年的名义利率是6%,分为12个月,所以一个月的利率就是6%÷12=0.5%。小明每个月要归还的利息是*款贷**余额在上一个月所产生的。也就是说,小明第一个月所要还的利息是12万元的*款贷**余额在1个月内产生的。

我们来算算每个月小明要还多少利息。大家注意,由于小明每个月都会归还1万元本金,所以每个月的*款贷**余额都在减少。
第一个月:*款贷**余额12万元,利息120000元×0.5%=600元
第二个月:*款贷**余额11万元,利息110000元×0.5%=550元
….
第十二个月:*款贷**余额1万元,利息10000元×0.5%=50元
于是12个月产生的总利息是600+550+500+…+50元,这是一个等差数列,通过等差数列的公式可以求出总利息是3900元。
我们可以把每个月归还的本金和利息画在一张图上。

从这张图我们会很明显的看出:每个月的还款本金是相同的,但是利息会递减。最初每月还款比较多,越到后来*款贷**余额越少,利息越少,造成了每月还款额的下降。
2: 等额本息
等额本金还款法的一个缺点是:每个月还款金额是不同的,让*款贷**者不好安排自己的生活支出。而且在初期,由于*款贷**余额较多,利息较多,还款压力大。
为了解决这两个问题,人们又发明了等额本息还款法。顾名思义,等额本息还款法就是每个月的本金和利息的总额是相同的。
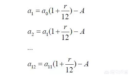
这种还款方式计算起来比较复杂。首先我们解释一件事:假如某期欠款总额为X,那么经过一个月,欠款总额经过生息,会变为X(1+r/12),其中r是名义年利率,r/12就是名义月利率。
我们再来看小明的例子。设小明最初的*款贷**额为a0=120000元,每个月还款总额(包括本金和利息)是A,在每个月还款过后的*款贷**余额分别是a1、a2、a3…a12,那么

也就是说,每个月的*款贷**余额应该是上个月的*款贷**余额生息之后,再减去每月还款。而且,12个月后,小明就要还清所有*款贷**,也就是说a12=0。我们需要设计一个还款额A,使得这个方程组能够成立。求解这个方程需要等比数列的知识,我们直接给出公式:

按照这个公式,我们可以计算出小明的每月还款额为10328元,12个月总还款额123936元。相比于等额本金的123900元,多归还了36元的利息。
等额本息法比等额本金法归还的利息稍多,但是由于这种方式每个月还款额相同,比较方便安排我们的支出。如果按照等额本金,小明第一个月要还10600元,而等额本息法每个月都是10328元,前期还款压力小。
也许有人认为:10328元中有10000元本金,和328元的利息。这是不对的。每个月的利息都是*款贷**余额在一个月中产生的,所以小明在第一次还款时利息为120000元×0.5%=600元,小明归还了10328元,所以归还本金10328元-600元=9728元。随后,随着本金的归还,利息比例下降,本金比例提高。我们可以把本金与利息做在一张图上。

从这张图我们会发现:在每月还款额中本金的比例一直在提升,利息的比例在下降,但是每月还款额是相同的。
3:提前还款会吃亏吗?
从以上的叙述我们看出:无论哪种还款方式,每个月的还款都由本金和利息两部分构成,而利息是所欠的*款贷**金额在一个月的时间内产生的。也就是说,每个月我们都会及时还清欠款的利息,而未来的利息银行还没有收取。
在任何时候提前还款,都会减少后续的利息产生,所以仅从利息角度看并不会吃亏。提前还款的的确确可以减少利息,但是如果算上有些银行对提前还款收取违约金、通货膨胀因素等, 提前还款不见得合算。
4小额*款贷**公司的坑
除了房贷以外,我们还经常需要用到购车*款贷**、消费*款贷**等,有些小额*款贷**公司还提供*抵押无***款贷**。 然而,除了银行的房贷是比较合算的*款贷**方式外,许多*款贷**公司的利息其实会超过名义利率,这里又尤其以网贷或小额*款贷**公司的坑最多。
举例来说,有一次一个小额*款贷**公司给我打电话,介绍了他们的业务,说是*款贷**年利率12%,只比银行高1倍。看起来还不算太贵。但实际上呢?
首先,如果我们*款贷**12万元,1年还清,*款贷**公司给我算的利息是120000元×12%=14400元。虽然我每个月都在还款,但是他并未考虑本金减少应该造成的利息减少,而是一直以最初的*款贷**额120000元计算每个月的利息。
其次,*款贷**公司要求利息先付,也就是说,虽然名义上我*款贷**了120000元,但实际上发放*款贷**时候我只能拿到120000元-14400元=105600元。然后我每个月还需要还款1万元,共计还款120000元。这种*款贷**方式俗称“砍头贷”,真是非常形象。
如果我们按照等额本息方式计算一下:*款贷**10.56万元,每月还款1万元,共12期,那么按照公式可以计算出它的名义年利率是24%,而不是他宣称的12%。如果再加上一个手续费,那利息就不知道高到哪里去了。
了解一点金融常识,让我们避免掉进高利贷陷阱,这对每个人都非常重要。