磁粉芯(粉末磁芯)的直流偏置曲线—拟合曲线的解读
上次我们了解了美磁"MAGNETICS"其中一类磁粉芯—铁硅铝的直流偏置特性曲线,并对其进行了说明,这次我们说明另一类直流偏置的特性曲线—拟合曲线。
浙江科达和睦(KDM)磁粉芯,铁硅铝(Sendust)的直流磁化特性曲线如下,横坐标—奥斯特(Oe);纵坐标—磁导率百分比。

常见磁粉芯磁环

直流偏置的拟合曲线
上图中磁化拟合曲线函数如下:

直流偏置特性曲线拟合公式
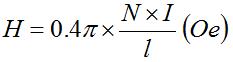
其中磁场强度"H"
其中"a"、"b"和"c"是特性曲线的系数,是一个常数,不同磁导率对应的特性系数不同(磁导率是相对磁导率)。

特性系数表
特性曲线横坐标磁场强度(Oe)表示

磁场强度——奥斯特(Oe)表达式
式子中"l"是磁路长度,单位是厘米"cm";匝数"N"和线圈电流"I"单位为安培"A"
磁环拟合曲线举例:
磁芯材料信息:

材料表
磁芯物理尺寸规格:

磁芯尺寸示意图

规格尺寸
内径"ID",外径"OD"以及磁环厚度"HT",磁芯等效磁路长度"Le"
表格中磁环内径、外径以及磁环厚度由于存在磁环涂层,因此做了涂层前"Before Coating"和涂层后"After Coating"的区分。涂层后窗口面积会略有减小,这主要是为了体现涂层对容铜率的影响。
带入磁环物理尺寸,如下图是借助"EXCEL"计算相对磁导率随磁化电流的变化,其中黄色填充代表输入参数,蓝色代表输出结果,电流假定100A、匝数定位4匝,第一行结果是磁场H(Oe);第二行是磁化电流结果的磁导率百分比结果
H=39.4858(Oe)
%u=51.7969,则相对磁导率由原来的125变为原来的51.7969%,因此在安匝数=100*4=400A.N时,实际磁导率为125*51.7969%=64.7461

电子表格Excel对拟合公式的具体计算
读曲线值
对比曲线图,当磁场强度H=39Oe时,磁导率大约是零磁化电流的51%,这个和上面的计算结果相符,如图红色虚线标注。

磁化标注图
拟合曲线的优点:
首先拟合曲线代表了一个厂商相同材质的所有磁芯的磁化趋势,假定你选定一个规格的磁芯,只要带入磁芯参数,就可以得出选定磁芯在磁化电流下的变化趋势,进而可以得出在特定磁化电流下的电感量,利用好电子表格,结算复杂结果和绘制函数曲线由很大的好处。拟合曲线相比于美磁"MAGNETICS"的直流偏置安匝曲线,使得一种特定材料的磁化曲线更加统一、简化,便于查阅和计算,而且能够代表所有同种材料不同尺寸规格磁芯的直流特性变化曲线。

安匝—电感系数曲线图
另外,像江苏瑞德的软磁磁粉芯材料,同样也是拟合曲线表达磁材料的特性表达式,如下图也是铁硅铝磁化特性表达式。

磁粉芯实物

直流特性拟合曲线
但对于美磁的磁化曲线亦有妙处,加入特定磁芯电感,你知道了匝数和电流,马上可以知道安匝数,同理你就可以快速读出电感系数,得出电感量,如下图一种u60铁硅铝磁环,假如你的安匝数是600,那么你就可以从曲线图中得出电感系数是55nH/N2了。

规格

典型直流特性曲线图
软磁磁粉芯的磁化性质还与其他条件如工作频率等相关,使用者可以找一份手册仔细研究一下,如下曲线图(举例)是频率对材料磁导率的影响。

频率—磁导率曲线图