seriessum函数
函数定义: 计算幂级数
官方说明: 计算幂级数
解赋大白话: 计算幂级数
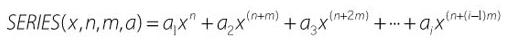
公式解释:

seriessum函数实例
使用格式: SERIESSUM(x,n,m,coefficients)
解赋白话格式: SERIESSUM(幂级数的输入值,为x的首项乘幂,为级数中每一项的乘幂n的步长增加值,为级数中每一项的乘幂n的步长增加值)
参数定义: X 幂级数的输入值
N 为x的首项乘幂
M 为级数中每一项的乘幂n的步长增加值
Coefficients 为一系列与x各级乘幂相乘的系数.coefficients值的数目决定了幂级数的项数.例如,coefficients中有三个值,幂级数中将有三项.
注意事项: 如果任一参数为非数值型,函数SERIESSUM返回错误值#VALUE.

seriessum函数
你学会了吗?
谢谢大家的观看,我们下一期再见,如果有什么问题欢迎评论区留言或私信我们
如果你对excel函数公式大全感兴趣,可以关注我们,在课程没更新之前,可以先看看我们前面的课程。
想学习更多的函数知识,欢迎关注转发。