指数加权平均的偏差修正(Bias correction in exponentially weighted averages)
你学过了如何计算指数加权平均数,有一个技术名词叫做偏差修正,可以让平均数运算更加准确,来看看它是怎么运行的。

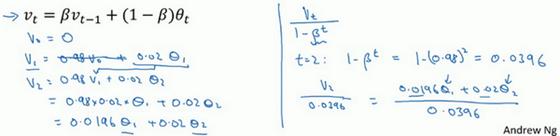
v_t=βv_(t-1)+(1-β)θ_t
在上一个笔记中,这个(红色)曲线对应β的值为0.9,这个(绿色)曲线对应的β=0.98,如果你执行写在这里的公式,在β等于0.98的时候,得到的并不是绿色曲线,而是紫色曲线,你可以注意到紫色曲线的起点较低,我们来看看怎么处理。
计算移动平均数的时候,初始化v_0=0,v_1=0.98v_0+0.02θ_1,
但是v_0=0,所以这部分没有了(0.98v_0),所以v_1=0.02θ_1,
所以如果一天温度是40华氏度,那么v_1=0.02θ_1=0.02×40=8,因此得到的值会小很多,所以第一天温度的估测不准。
v_2=0.98v_1+0.02θ_2,如果代入v_1,然后相乘,所以
v_2=0.98×0.02θ_1+0.02θ_2=0.0196θ_1+0.02θ_2,假设θ_1和θ_2都是正数,计算后v_2要远小于θ_1和θ_2,所以v_2不能很好估测出这一年前两天的温度。

有个办法可以修改这一估测,让估测变得更好,更准确,特别是在估测初期,也就是不用v_t,而是用v_t/(1-β^t ),t就是现在的天数。
举个具体例子,当t=2时,1-β^t=1-〖0.98〗^2=0.0396,因此对第二天温度的估测变成了v_2/0.0396=(0.0196θ_1+0.02θ_2)/0.0396,也就是θ_1和θ_2的加权平均数,并去除了偏差。
你会发现随着t增加,β^t接近于0,所以当t很大的时候,偏差修正几乎没有作用,因此当t较大的时候,紫线基本和绿线重合了。不过在开始学习阶段,你才开始预测热身练习,偏差修正可以帮助你更好预测温度,偏差修正可以帮助你使结果从紫线变成绿线。
在机器学习中,在计算指数加权平均数的大部分时候,大家不在乎执行偏差修正,因为大部分人宁愿熬过初始时期,拿到具有偏差的估测,然后继续计算下去。如果你关心初始时期的偏差,在刚开始计算指数加权移动平均数的时候,偏差修正能帮助你在早期获取更好的估测。
所以你学会了计算指数加权移动平均数,我们接着用它来构建更好的优化算法吧!