
大家普遍认为,半导体材料内部的缺陷有碍于半导体器件的性能。二维材料由于其独特的结构特点与光电性能,引起研究人员的广泛关注。但是基于其制备的半导体器件依然受限于其材料本身的缺陷浓度。近期,美国加州大学伯克利分校Prof. Javey组研究人员发现,即使存在高密度的原生缺陷,材料也能表现出接近完美的光电性质。该研究已于2019年5月3日在Science上发表。
对于光电材料来说,光致发光的量子效率直接影响光电器件的光电转换效率。研究人员发现,中性激子的复合发光并不受制于二维材料中缺陷的浓度, 通过简单调控单层二维材料中载流子浓度,改变其内部激子和带电激子的比例,便可达到近乎100%的光致发光量子效率,进而为制备高性能的半导体器件,如发光二极管,激光发生器,太阳能电池打下基础。
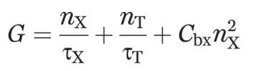
在过度金属硫属化物的单层材料中,准粒子之间的库伦作用力引发其强烈的交互作用,造成各种的准粒子复合模式。其中,光吸收造成的载流子形成激子,而激子(Exciton)的复合率和激子的浓度成非线性的关系。另一种准粒子,由一个自由电子和激子组成的带电激子(Trion),其浓度可以由材料中的背景带电粒子,即是由费米能阶所控制。要完整的解析材料光致发光(Photoluminescence; PL)的量子效率(Quantum Yield;QY),就必须要同时考虑载流子产生率及材料背景带电粒子的浓度的关系。
这个工作中,我们利用入射光的功率调变载流子产生率,同时制作由二维材料为电极的电容器件来调变背景带电粒子的浓度,来研究材料中完整的准粒子复合模型。我们发现在单层二硫化钼中,所有的中性的激子的复合过程皆为发光复合,因此可达到近乎100%的光致发光量子效率。令人意外的是,材料本身存在着高密度的原生缺陷,近乎100%光致发光量子效率代表了即使有这些缺陷的存在,材料也能表现出接近完美的光电性质。这现象颠覆了大众对半导体材料的看法,因为在一般的半导体中,少量的缺陷就可以造成光致发光量子效率的大幅下降。为了更深入了解机制,我们提供了一个模型来描述准粒子及带电粒子浓度的关系及其动态复合模型。之前的工作中,100%光致发光量子效率可由有机酸(bis(trifluoromethane)sulfonimide; TFSI)化学处理的方式实现,然而背后的机理并没有被完全了解。这个模型解释了TFSI化学处理的机理为类似路易斯酸的作用,可以将背景参杂从材料中移除。此工作阐述了二维材料特殊光电特性,并提供一个不需要化学处理,就可以提高光电器件效率的简单方式。
首先,我们研究单层二硫化钼的光致发光量子效率。组件由单层二硫化钼、聚甲基丙烯酸甲酯(PMMA)和金电极所组成。PMMA能减少闸极电压V g的磁滞现象,使组件能有较稳定且精准的量测 (fig. S1)。Fig. 1B显示单层二硫化钼组件的PL与V g在高载流子产生率 (G = 1018cm-2s-1)下的关系图,可以发现,PL强度在V g = -20 V时是V g = 0 V的300倍,且利用这种静电学的”掺杂”方式,可以看见整片半导体单层的PL强度的都增强 (Fig. 1C, D, E)。另外,由于带电激子的复合,峰值位置蓝移了30 meV,更详细的峰值位置讨论请见补充数据。

图1. A: 器件的示意图。B: 不同V g下的PL。
C-E, 器件的照片及PL于不同V g下的成像图。
接着,我们把校准后的PL量测结果转换为量化的QY对V g和G的关系图 (Fig.2A, B,详细的量测精准度校准请见补充资料)。在V g = 0 V和G = 6×1017cm-2s-1的条件下,QY为0.1%,随着V g的减少增加;当V g = -20 V和G =6×1015cm-2s-1时,QY从0.1%增加至75±10%,约为先前条件的1000倍 (Fig. 2B的扩展图请见Fig.S3)。从上述结果可以发现,透过施加V g,没有任何化学处理的二硫化钼,也可以达到跟TFSI化学处理的二硫化钼相同且接近100%的QY值。

图2. A, B, 二硫化钼于不同V g及G的PL QY。C, 复合模型的示意图。D, V g = 0 V时,各种准粒子的复合率和载流子产生率的关系。E, V g = -20 V时,各种准粒子的复合率和载流子产生率的关系。
在传统的ABC半导体载子复合模型中,在低载流子产生率G时,载子复合率由缺陷相关的间接复合(也就是Shockley-Read-Hall, SRH复合)主导;在高载流子产生率G时,复合率由欧杰复合所主导。在SRH复合的区域,QY与G呈线性增加;在欧杰复合的区域,QY与G呈指数斜率-2/3减少,但上述两种定律都无法解释我们在单层二硫化钼观察到的V g与QY相关现象。这种现象我们认为是由于激子、带电激子、自由载子跟他们的复合途径交互作用所造成(Fig. 2C)。在不同载子环境下,激子可能会转变成完全不同的光电载子。当半导体中的背景电子极电洞皆被移除,激子保持电中性;当电洞或电子为多数载子,激子会成为带正电或带负电的带电激子,载流子产生率跟所有准粒子的复合率平衡至稳态。

(1)
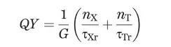
n X, n T分别为电中性激子跟带负电带电激子的数量密度; τ X, τ T分别为电中性激子跟带负电带电激子的生命期;C bx为双激子消灭系数。激子跟带电激子的生命期还包括发光(τ Xr, τ Tr)与非辐射(τ Xnr, τ Tnr)两个部分:

QY就可以写成激子跟带电激子发光复合率和总体G的比率:

(2)
在单层负电荷密度为

,C ox为闸极氧化物的电容,q为电子电量,V th为临界电压。负电荷密度(N)为带负电带电激子密度(n T)或自由电子密度(n e)总和(

),又由于带电激子的生成率跟解离率会平衡于稳态,并遵守质量作用定律

,T为带电激子生成系数。结合两式,带电激子数量密度(n T)可改写成与电中性激子数量密度(n X)的关系式:

(3)
在低激子密度时(Tn X << 1),带电激子密度跟激子密度成正比(n T ≈ Tn X),但在高激子密度时(Tn X >>1),带电激子密度接近背景的电子密度(n T ≈ N)。透过解(1), (3)式,可以得出在不同载流子产生率G跟闸极电压V g下的激子跟带电激子密度。这个模型成功的解释了二硫化钼的PL QY结果(Fig. 2B),透过实验数据跟此模型的曲线拟合,我们可以得到τ Tr=110 ns,τ Tnr=50ps,τ Xr=8 ns,C bx= 3.5 cm2s-1。
其中激子为发光复合,带电激子跟双激子为非辐射复合,且带电激子其非辐射复合生命期 (τ Tnr) 远低于带电激子发光复合生命期 (τ Tr),代表带电激子主要的复合机制为非辐射复合:缺陷相关的复合 (SRH复合)跟欧杰复合.相反的,从这模型中,并没有得到激子非辐射复合生命期 (τ Xnr),也突显了激子的复合几乎全都是发光复合.可能原因为紧密且电中性的激子不会跟材料中缺陷交互作用,因此一般激子系统都呈现高QY的特征 (例如:量子点).在高激子浓度时 (高载流子产生率G),则以非辐射复合的双激子复合为主导.在特定生成率下,闸极电压V g控制相对的激子与带电激子数量,也等于控制不同的复合途径 (发光复合或非辐射复合),使得材料呈现非常不同的QY值(Fig. 2D, 2E).
由于高密度的原生缺陷大部分为硫原子空缺,此空缺具有参杂的效应引此单层二硫化钼带着高背景电子浓度。当闸极电压V g > 0 V,材料中充满带电激子且其非辐射复合率为主要的复合机制,导致材料展现出低光致发光的量子效率。然而,当V g < 0 V,背景电子浓度降低,中性激子便成了材料中主要的准粒子。因此,激子发光复合成为主要的复合机制,在此条件下材料的量子效率达到75%±10%。随着入射光强度增强,载流子产生率G增强,造成激子浓度上升,激子与激子间开始产生交互作用并以非辐射的方式复合,导致量子效率下降。
经由此模型,我们也可以精确地描述了其他过度金属硫属化物的单层材料的复合机制。与二硫化钼类似的,一开始高浓度的背景电子就存在于单层二硫化钨中。当V g = -20 V时,背景电子的浓度降低,激子的发光复合成为主要复合途径,因此PLQY可以达到接近~90%(图S5)。二硒化钨WSe2及二硒化钼MoSe2在V g = 0 V时则是几乎没有任何的背景电子或电洞(图3A和3B)。因此,激子的发光复合一开始就是主要的复合途径(图3C)。增加或降低Vg,会使费米能级分别更接近导带或价带(图3B)。在V g = + 20 V和-20 V时,分别产生负的和正的带电激子。在这情况下带电激子的非辐射复合为主要复合途径,因此PL QY极低。特别的是,在V g= - 20 V的情况下,PL QY在1018 <G <10 19 cm -2 s- 1范围中随着载流子产生率G升高而逐渐上升。这种不寻常的现象也可以从我们的模型来解释。具体而言,在G 达到1018 cm -2 s- 1时,带正电的带电激子浓度达到饱和,达到材料内部总电荷浓度的上限。超过该浓度,过量的激子不能再形成带电激子。继续增加G,中性的激子复合发光开始成为主要复合途径,造成QY渐渐上升,直到双激子的非辐射复合开始发生而QY开始下降(图3D)。最后,我们发现过度金属硒化物即使在其费米能级接近能带间隙时也未达到接近100% PL QY。原因可能是这些材料为间接带隙,或是存在暗激子的效应。

图3. A, B, 二硒化钨于不同V g及G的PL QY。C, V g = 0 V时,各种准粒子的复合率和载流子产生率的关系。E, V g = -20 V时,各种准粒子的复合率和载流子产生率的关系。
先前的研究中,TFSI化学处理的单层二硫化钼可达到接近100%的QY值,但机制还未被彻底了解。在此研究中,透过PL QY跟时间分辨光致发光谱的结果,我们推论这种增强的现像是来自于电子的反向掺杂。在V g = -20 V条件下,有TFSI化学处理和无TFSI化学处理的单层二硫化钼,在整个G = 1015-1020 cm-2s-1的范围中,皆有相近的QY值 (Fig. 4A);且在低光强密度 (1 nJ cm-2) 下,有相似的发光衰减生命期 (生命期10.2 和6.9 ns,Fig. 4B)。从Fig. 4C和Fig. S8中,生命期在不同光密度下也有相近的结果。结果指出TFSI这种路易斯酸(Lewis acid,又称亲电子试剂),会从二维过渡金属二硫属化物 (TMDCs) 表面撷取电子 (对TMDCs电洞注入),从临界电压的位移也证明了这种电洞注入的现象。硒属的TMDCs经过TFSI处理后,PL QY减低代表着材料变成接近本质半导体。

图4. A, 比较V g = -20 V,V g =0 V及TFSI处理过后二硫化钼的PL QY。B, 比较V g =-20 V,V g = 0 V及TFSI处理过后二硫化钼的发光衰减生命期。C, 发光衰减生命期与光强密度的关系。
我们的研究发现,当单层TMDCs为本质半导体时,即使材料存在缺陷,所有的中性激子还是能发光复合,使得QY达到最高值。在一系列单层TMDCs的光电研究中,透过简单的调控单层二维材料中载流子浓度,材料就可以达到接近100%的发光效率。虽然对有机材料而言,接近100%的QY值很常见,但在无机半导体中是非常罕见的。这种简单控制发光效率方法,可以通用在任何激子系统。因此,不需要在纠结成长完美材料,也不需要做缺陷钝化,只要透过这种载流子浓度控制,就可以达到接近100%的QY值。
原文Electrical Suppression of All Nonradiative Recombination Pathways in Monolayer Semiconductors 已在Science上发布,点击https://science.sciencemag.org/content/364/6439/468?intcmp=trendmd-sci查看论文原文。