DNA测序定义
DNA是记录遗传信息的载体,可以说是一本生命的秘籍,要想看到这本书可不容易,毕竟太小了(分子水平),即便是拿着显微镜也看不到,目前只有通过DNA测序技术来实现“看书”的愿望。DNA测序是确定DNA 分子中核苷酸序列的过程。每个生物体的DNA都由独特的核苷酸序列组成。确定序列可以帮助科学家比较不同生物之间的DNA,进而确定不同生物之间的亲缘关系。

DNA和碱基结构
DNA测序概述
大家都知道DNA(英文DeoxyriboNucleic Acid,缩写为DNA)是核酸的一种,由碱基、脱氧核糖和磷酸构成,其中碱基有4种:腺嘌呤(A)、鸟嘌呤(G)、胸腺嘧啶(T)和胞嘧啶(C)。通过对一段DNA进行测序,将有可能知道该核酸分子中四个核苷酸碱基出现的顺序。
弗朗西斯·克里克(Francis Crick,英国生物学家,物理学家,及神经科学家)的理论首先明确了DNA测序的必要性,也就是DNA分子内核苷酸的序列直接影响蛋白质的氨基酸序列。对DNA序列的完全了解,将促进生物学以及医学的质的飞跃。
现代DNA测序由高通量方法组成,可在数小时内完成整个DNA序列的测定工作。随着技术的不断发展,测序成本也在不断地降低,现在已经有很多以高通量技术为依托的产品面向市场,比如基因体检、无创产前筛查等,为很多家庭提供了DNA的测试。通过测试我们往往会发现很多的基因突变,但这仅仅是在特定环境和特定个体之下的结果,也就是存在基因多态性的可能,未来科学家还需要测定更多的个体来详细的阐述基因多态性,以及测定更多的物种,以便发现分子层面的物种进化关系。

实验进行时
DNA测序实例
二十世纪90年代启动的人类基因组计划(Human Genome Project,HGP),6个国家花费数年时间,花费了约30亿美元才完成了人体2.5万个基因的30亿个碱基对的测定,而现在某些公司几天就可以完成人基因组的测序,同时成本控制在了1,000美元以内。
这里有必要介绍一下单核苷酸多态性(single nucleotide polymorphism,SNP),人与人的基因序列中有99.9%以上的序列都是相同的,仅有0.1%不同,也就是1000个碱基中有1个不同,这些不同的基因位点就是SNP,其广泛地分布于染色体上,常用于遗传性疾病相关基因的鉴定、药物靶点设计和测试以及生物学领域的基础研究等,是DNA测序的一个重要应用。
目前许多公司都能够对单核苷酸多态性进行测试,通过检测获得重要位点的遗传信息,并与专业的数据库(如DGV、OMIM等)进行比对,从而找到各种疾病、新陈代谢以及身体特质等方面的特质,进而预测遗传因素是否会或者将会对你生活的产生影响。

流程简图
DNA测序方法
目前对于DNA的测序方法有三种主要的类型:经典的Sanger测序技术,也叫一代测序技术,是目前很多临床检测的金标准;可以快速处理大量DNA分子的较新方法统称为高通量测序(HTS)技术或下一代测序(NGS)技术;不需要经过PCR扩增,能够对每一条DNA分子的单独测序的单分子测序技术,也称为三代测序技术。

基因测序
1. Sanger测序
Sanger测序法依赖于特异性引物与模板DNA分子的结合,通过DNA聚合酶的催化作用,将不同的原料dNTP添加到引物之后,通过脱氧核糖糖分子的3'碳原子与下一个核苷酸的5'碳原子之间形成共价键进而形成新合成链。

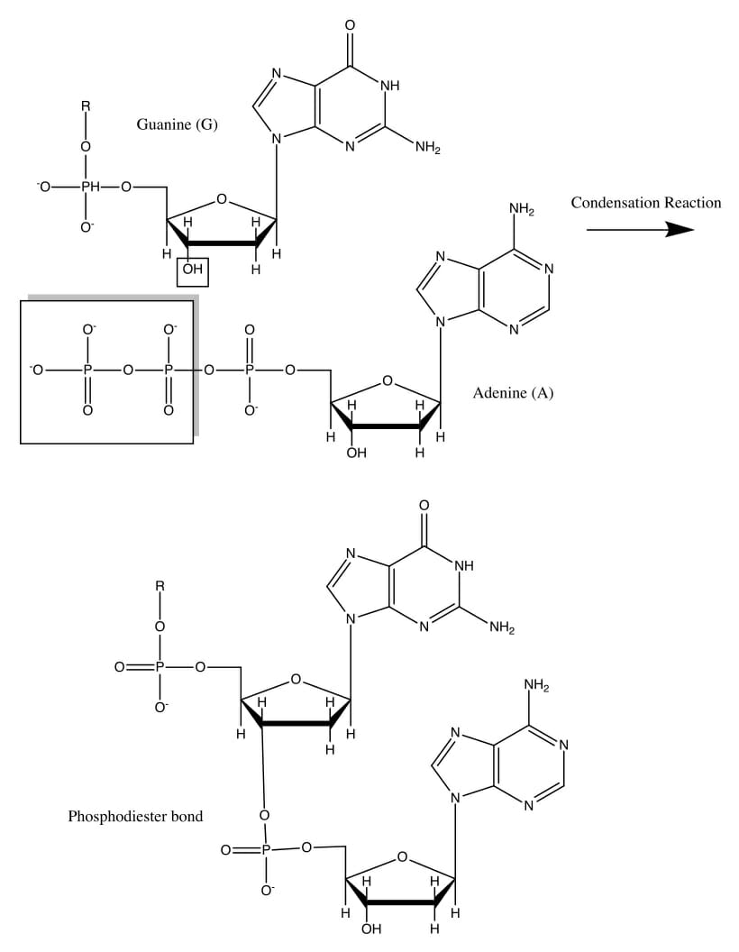
DNA缩合
如果对原材料dNTP进行一下修饰,使其2'或者3'缺少氧原子(双脱氧核糖核苷酸),从而由于缺少反应性羟基而无法形成共价键,将提前终止DNA聚合反应,由于这种“终止”是随机的,因此在庞大数量的产物中会产生不同长度的分子,也就是按照顺序一个一个确定了碱基序列。
具体操作过程可以简单概括为:首先使用已经标记过的引物扩增模板DNA分子,然后将其分成四个试管,每个试管仅具有一种ddNTP类型。即,每种反应混合物将仅具有一种可能引起链终止的修饰核苷酸。四个反应完成后,通过链终止产生的DNA分子混合物将在聚丙烯酰胺凝胶上进行电泳,并根据其长度进行分离。

Sequencing
在上图中,左侧泳道的第一列是ddATP的产物,其中的每条线代表特定长度的DNA分子,这是通过添加ddATP核苷酸而终止的聚合反应的结果。第二,第三和第四列分别包含ddTTP,ddGTP和ddCTP。
随着科技的不断发展,目前对该方法进行了改进,为每个ddNTP加上不同的荧光标记,而引物不再进行放射性标记或带有荧光标签。该方法使用了四种不重叠发射光谱的染料,每种ddNTP都使用一种。该图显示了标记的引物,dNTP和染色的终止子NTP之间的差异。

DNA测序和标记方法

桑格测序
上图显示了染料终止剂测序的示意图。单一反应混合物中带有DNA延伸所需的所有要素(模板、酶、缓冲液等),此外还包含少量的四个ddNTP,每个ddNTP具有不同的荧光标签,完成的反应通过毛细管电泳进行分,然后通过分析凝胶上每个DNA条带的发射光谱获得结果。
2. 高通量测序
Sanger测序对于确定较长DN*片A**段的序列仍然有用,尤其是对于小样本量的情况。然而,当大量分子需要快速测序时,Sanger测序就显得有点捉襟见肘。具有讽刺意味的是,尽管当需要测定的DNA分子变得越来越长时,传统的染料终止剂方法依然很有用,但高通量方法已被更广泛地使用,尤其是当需要对整个基因组进行测序时。
与Sanger方法相比,有三个主要变化。首先是开发用于克隆DN*片A**段的无细胞系统。传统上,首先需要将测序的DN*片A**段克隆到原核质粒中,然后在细菌(如大肠杆菌)中扩增,再进行提取和纯化。高通量测序或下一代测序技术不再依赖于此劳动密集型且耗时的过程。

高通量测序
其次,二代测序能够使数百万个测序反应同时进行,在技术上实现了巨大的进步。最初的方法需要八种不同的反应混合物产生一个可靠的核苷酸序列。序列的延伸和检测一起进行,碱基序列信息在此过程中被识别。尽管NGS降低了成本、节约了时间,但产生的“reads”相对较短,但这也导致后期组装整个基因组时需要大量的计算。
NGS的出现极大地扩展了基因组学的应用,现在DNA测序已成为基础科学、转化研究、医学诊断和法医学的重要组成部分。
3.单分子测序
第三代测序技术也叫分子实时DNA测序,以其长度长测序的特点越来越受到科学家的重视。主要分为两类:单分子实时(SMRT)测序和纳米孔DNA测序。
SMRT测序(single molecule realtime),特殊脱氧核苷酸采用不同的荧光进行标记,当被掺入到合成的DNA链时,通过高分辨率光电模块可以实时记录反应的荧光变化,进而判断DNA序列。当掺入的dNTP结合形成稳定的化学键后,它的荧光基团就被参与反应的DNA聚合酶切除(具有3’-5’外切酶活性),荧光信号消失。这种荧光标记的dNTP不影响聚合酶的活性,并且荧光基团被切除之后,新合成的DNA链和原始天然的DNA链是一样的。

纳米孔测序法(nanopore sequencing)借助电泳驱动单个分子逐一通过纳米孔来实现测序的。由于纳米孔的直径非常小,仅允许单个核酸分子通过,而ATCG四种碱基的电荷属性不同,通过电信号的差异来判断碱基类别,从而实现测序。
DNA测序的用途
现在Sanger测序主要用于DNA分子的从头测序,以获得生物或基因的一级序列数据。NGS反应产生的相对较短的“reads”,仅凭NGS方法很难创建生物的整个基因组。有时,还需要Sanger测序来进行结果的验证。
另一方面,NGS能够帮助我们更好的理解单核苷酸多态性(最常见的一种遗传变异),这对于进化生物学以及检测可能导致疾病的突变基因尤其重要。例如,肺腺癌的样品中的序列变异检测能够让医生发现可能的罕见突变,进而实现靶药的精准使用。
总体而言,DNA测序已成为许多应用领域不可分割的一部分,发挥着重要的作用。

加样实验操作
1.分子生物学
现在,DNA测序已成为大多数生物实验室不可或缺的一部分,用于检测基因克隆的结果,发掘特定基因的作用。NGS技术用于研究实验中的质粒,细菌,酵母,线虫甚至哺乳动物的遗传成分的变异。例如,源自乳腺组织的一种称为HeLa 的细胞系已在世界各地的许多实验室中使用,并且被认为是代表人类乳房组织的一种可靠的细胞系。最近的测序结果表明,不同来源的HeLa细胞基因组存在很大差异,这些差异可能会降低在细胞和分子生物学中的研究价值。
DNA测序可以检测每个细胞基因组中的调控元件,以及它们在不同细胞和个体的活性变化。例如,特定基因可能在某些组织中永久关闭,而在其他组织中组成性表达。类似地,那些易患特定疾病的人对基因的调节可能与先天性免疫的人群不同。DNA调控区域的这些差异可以通过测序找到,并可以为表型提供依据。

2.法证
使用低浓度的DNA获得可靠的测序读数的能力对法医非常有用,因为犯罪现场通常包含多个人的遗传物质,而每个人的遗传物质非常有限,这就导致常规的方式具有非常大的局限性。NGS在许多取证实验室中被逐渐用于人类识别,如法医科学家可以对人的死亡后的外显子组进行测序,确定死亡原因,比如中毒导致的死亡将显示受影响器官中外显子组的变化。

总结
DNA测序技术在最近几年获得了长足的发展,已经从上游实验室进入了临床的应用,帮助医生迅速精准的找到病因,减少的试错周期,提高生活质量;同时也在基础研究方面,如分子生物学、进化生物学、病毒学等诸多领域发光发热,成了了科研工作者的神兵利器。未来随着光学、机械、微流控等领域的持续发展,会有更多更好的测序产品问世,增加检测精准度,降低测序成本,届时会推动整个生物医学的进一步发展。