高中物理 | 5.4变压器详解
理想变压器是高中物理中的一个理想模型,它指的是忽略原副线圈的电阻和各种电磁能量损失的变压器。实际生活中,利用各种各样的变压器,可以方便的把电能输送到较远的地区,实现能量的优化配置。在电能输送过程中,为了达到可靠、保质、经济的目的,变压器起到了重要的作用。
变压器
1理想变压器的构造、作用、原理及特征

构造:两组线圈(原、副线圈)绕在同一个闭合铁芯上构成变压器。
作用:在输送电能的过程中改变电压。
原理:其工作原理是利用了电磁感应现象。
特征:正因为是利用电磁感应现象来工作的,所以变压器只能在输送交变电流的电能过程中改变交变电压。
2
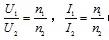
理想变压器的理想化条件及其规律
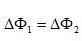
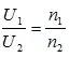
在理想变压器的原线圈两端加交变电压U1后,由于电磁感应的原因,原、副线圈中都将产生感应电动势,根据法拉第电磁感应定律有:

忽略原、副线圈内阻,有U1=E1,U2=E2
另外,考虑到铁心的导磁作用而且忽略漏磁,即认为在任意时刻穿过原、副线圈的磁感线条数都相等,于是又有

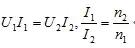
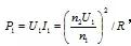
,由此便可得理想变压器的电压变化规律为

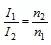
。在此基础上再忽略变压器自身的能量损失(一般包括线圈内能量损失和铁芯内能量损失这两部分,分别俗称为“铜损”和“铁损”),有P1=P2 而P1=I1U1, P2=I2U2,于是又得理想变压器的电流变化规律为

由此可见:
(1)理想变压器的理想化条件一般指的是:忽略原、副线圈内阻上的分压,忽略原、副线圈磁通量的差别,忽略变压器自身的能量损耗(实际上还忽略了变压器原、副线圈电路的功率因数的差别。)
(2)理想变压器的规律实质上就是法拉第电磁感应定律和能的转化与守恒定律在上述理想条件下的新的表现形式。
3
规律小结
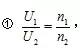
(1)熟记两个基本公式

即对同一变压器的任意两个线圈,都有电压和匝数成正比。
②P入=P出,即无论有几个副线圈在工作,变压器的输入功率总等于所有输出功率之和。
(2)原副线圈中过每匝线圈通量的变化率相等
(3)原副线圈中电流变化规律一样,电流的周期频率一样
(4)公式

中,原线圈中U1、I1代入有效值时,副线圈对应的U2、I2也是有效值,当原线圈中U1、I1为最大值或瞬时值时,副线圈中的U2、I2也对应最大值或瞬时值
(5)需要特别引起注意的是:
①只有当变压器只有一个副线圈工作时,才有:

②变压器的输入功率由输出功率决定,往往用到:

即在输入电压确定以后,输入功率和原线圈电压与副线圈匝数的平方成正比,与原线圈匝数的平方成反比,与副线圈电路的电阻值成反比。
式中的R表示负载电阻的阻值,而不是“负载”。“负载”表示副线圈所接的用电器的实际功率。实际上,R越大,负载越小;R越小,负载越大。这一点在审题时要特别注意。
(6)当副线圈中有二个以上线圈同时工作时,U1∶U2∶U3=n1∶n2∶n3,但电流不可

,此情况必须用原副线圈功率相等来求电流。
(7)变压器可以使输出电压升高或降低,但不可能使输出功率变大.假若是理想变压器.输出功率也不可能减少。
(8)通常说的增大输出端负载,可理解为负载电阻减小;同理加大负载电阻可理解为减小负载。
4
几种常用的变压器
(1)自耦变压器
图是自耦变压器的示意图。这种变压器的特点是铁芯上只绕有一个线圈。如果把整个线圈作原线圈,副线圈只取线圈的一部分,就可以降低电压;如果把线圈的一部分作原线圈,整个线圈作副线圈,就可以升高电压。

调压变压器就是一种自耦变压器,它的构造如图所示。线圈AB绕在一个圆环形的铁芯上。AB之间加上输入电压U1 。移动滑动触头P 的位置就可以调节输出电压U2。

(2)互感器
互感器也是一种变压器。交流电压表和电流表都有一定的量度范围,不能直接测量高电压和大电流。用变压器把高电压变成低电压,或者把大电流变成小电流,这个问题就可以解决了。这种变压器叫做互感器。互感器分电压互感器和电流互感器两种。
①电压互感器
电压互感器用来把高电压变成低电压,它的原线圈并联在高压电路中,副线圈上接入交流电压表。根据电压表测得的电压U 2 和铭牌上注明的变压比(U 1 /U 2 ),可以算出高压电路中的电压。为了工作安全,电压互感器的铁壳和副线圈应该接地。
②电流互感器
电流互感器用来把大电流变成小电流。它的原线圈串联在被测电路中,副线圈上接入交流电流表。根据电流表测得的电流I 2 和铭牌上注明的变流比(I 1/I2),可以算出被测电路中的电流。如果被测电路是高压电路,为了工作安全,同样要把电流互感器的外壳和副线圈接地。
习题演练
1. 一台理想变压器的输出端仅接一个标有“12V,6W”的灯泡,且正常发光,变压器输入端的电流表示数为0.2A,则变压器原、副线圈的匝数之比为( )
A.7∶2 B.3∶1 C.6∶3 D.5∶2
2. 如图所示,通过降压变压器将220 V交流电降为36V供两灯使用,降为24V供仪器中的加热电炉使用.如果变压器为理想变压器.求:

(1)若n3=96匝,n2的匝数;
(2)先合上K1、K3,再合上K2时,各电表读数的变化;
(3)若断开K3时A1读数减少220 mA,此时加热电炉的功率;
(4)当K1、K2、K3全部断开时,A2、V的读数。
习题解析
1.D
解析:因为,I2=P2/U2=6/12=0.5 A I1=0.2 A,所以 n1∶n2=I2∶I1=5∶2
2. (1)变压理的初级和两个次级线圈统在同一绕在同一铁蕊上,铁蕊中磁通量的变化对每匝线圈都是相同的.所以线圈两端的电压与匝数成正比.有
(2)合上K1、K3后,灯L1和加热电炉正常工作.再合上K2,灯L2接通,U1、n1和n3的值不变.故V读数不变.但L2接通后,变压器的输入、输出功率增大.故A1、A2读数增大.
(3)断开K3时,A1读数减少200mA,表明输入功率减少,减少值为ΔP=ΔIU=0.200×220=44W,这一值即为电炉的功率
(4)当K1、K2、K3全部断开时,输出功率为零,A2读数为零.但变压器的初级战线圈接在电源上,它仍在工作,故V读数为24V
End
▐ 来源:本文综合来源于网络,如有侵权,请及时联系删除!