六年级上册数学北师大版配套答案 (六年级数学上册电子课本北师大版)

下图是六年级北师大版教材习题参考答案,方便家长们检查作业。(1-6年级都已上传)

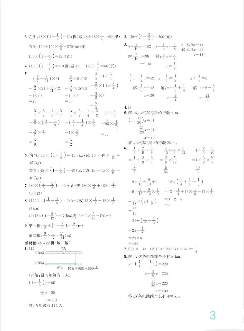
六年级数学北师大版教材习题答案,北师大版六年级上册数学99页答案

六年级数学北师大版教材习题答案,北师大版六年级上册数学99页答案

六年级数学北师大版教材习题答案,北师大版六年级上册数学99页答案

六年级数学北师大版教材习题答案,北师大版六年级上册数学99页答案

六年级数学北师大版教材习题答案,北师大版六年级上册数学99页答案

六年级数学北师大版教材习题答案,北师大版六年级上册数学99页答案

六年级数学北师大版教材习题答案,北师大版六年级上册数学99页答案

六年级数学北师大版教材习题答案,北师大版六年级上册数学99页答案

六年级数学北师大版教材习题答案,北师大版六年级上册数学99页答案

六年级数学北师大版教材习题答案,北师大版六年级上册数学99页答案

六年级数学北师大版教材习题答案,北师大版六年级上册数学99页答案