11月21日晚,特斯拉在美国加州正式发布了旗下首款纯电动皮卡Cybertruck,引起了广泛的关注。没错,就是皮卡!而且据说还防弹! 起售价$3.99万!不过,这两天让特斯拉如此火爆的原因,却是因为发布会现场防弹玻璃被钢球砸碎的“翻车”事件!什么情况?

就是它!(某网友:这不是,我不要!这么丑,完全颠覆了特斯拉在我心目中的完美形象!)
这是特斯拉发布的第七款量产车型。
Cybertruck公六座车,车长231.7英寸,宽度79.8英寸,高度75英寸。整车使用了整块的不锈钢板打造。
为了配合这辆"无坚不摧"的皮卡,发布会神似动作电影大片开场。

(本篇视频来源Tesla,版权属于原作者)
新车的核心是抗强大的冲击力。它整体硬度比普通的汽车钢板强很多,在发布会现场,Tesla向大众展示了,这部车多经"揍"
大型砸车现场来了
首先是车身, 普通车的车身,一锤子一个坑

而特斯拉皮卡毫无坑洼

硬!我服!
接着是车玻璃。车玻璃应对钢球击中:

然后,马斯克邀请测试人员
将同样的钢球砸向特斯拉前窗。。。

额。。。。
什么?
好吧,马斯克表示:可能是他用力过猛。
请测试人员再砸一次
(内心OS,拜托别大力, 生意还做不做啦!)

额。。。。
所以还是砸出裂缝了?
好吧,马斯克急忙补充说:
没有砸穿!没有砸穿哦!
(满满求生欲)
然后,他站在砸碎的车窗玻璃前,硬生生开完了整场发布会。
那为啥防弹玻璃能够经受住高处的自由落体,却被随手甩出的钢球砸烂了?
物理学分析:和安装方式有关
瑞德·阿兰决定用物理学知识揭开答案。
先来看一下垂直往下砸的情况。

虽然这位工作人员没说他到底爬了多高,但从视频中可以看到,球在管道末端出现,掉落到玻璃板上的时间大概是0.267秒。

粗略假设初速度为0,加速度为g=9.8m/s,根据公式:

这段距离就大概是0.35米。

工作人员放下钢球的高度大概是这段距离的10倍,那么球到玻璃板之间的距离就是3.5米。当然不精确,不过对这次分析而言也足够了。
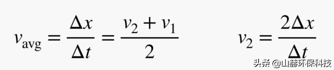
知道了下落高度,根据v^2 = 2gh这个公式,就可以计算出钢球撞向玻璃板时的速度,约为8.3m/s。
而市面上出售的棒球大小的钢球大概有1.9kg重,那么根据动量p = mv,就可以算出钢球冲击玻璃板时的动量为15.7kg·m/s。
动能K则可以根据公式K =1/2*m*v^2计算,为65.5J。
也就是说,特斯拉皮卡采用的玻璃板完全能承受住15.7kg·m/s的冲击。
那么接下来,我们就来看看“翻车”现场到底发生了什么。
首先需要进行一些必要的假设:
- 工作人员的投掷动作,让钢球从静止到达到最终速度时,移动了大约1米的距离。
- 球的加速度不变。
- 从视频中得到,钢球的运动时间约为0.27秒。
因为加速度不变,平均速度就等于初始速度和最终速度之和除以2,同时也等于总路程除以总时间。

于是就求出了“翻车”现场钢球砸向车窗玻璃的最终速度是7.4m/s,动量是14.1kg·m/s。小于从3.5米高度垂直下落测试中的15.7kg·m/s。
按照这个结果,车窗玻璃应该就像马斯克说的那样不会碎才对,那么是哪里出了问题?
可能是和安装方式有关。
在垂直下落测试中,玻璃板用夹具固定。这些夹具不是完全刚性的,也就是说在受到钢球撞击时,玻璃板的移动空间比较大。

△Rhett Allain绘制
而在特斯拉皮卡上,玻璃板被牢牢固定在车门窗框里,位移空间比较小。

△Rhett Allain绘制
假设在垂直下落测试中,玻璃被撞击时移动了1厘米,而“翻车”现场,玻璃仅移动了0.2厘米。那么根据公式:

在动能变化大致相同的情况下,固定在窗框中的玻璃承受的力,就5倍于垂直下落实验中玻璃承受的力。
于是,马斯克“翻车”了。
翻车引热议,但预定依旧喜人
“翻车”事件一出,有网友调侃道:一定是隔壁车厂派来捣乱的。

有人解释说,可能是发布前这个车进行了一轮测试,车窗玻璃已经受过一*攻轮**击了。
但也有不少网友指出,这也不算翻车,防弹玻璃本来就是这样的,不防碎裂而是防穿透。


发布会结束后,特斯拉的股价也受到了影响,当天下跌6%,市值缩水近40亿美元。
不仅仅是马斯克现场翻车,也是因为这辆车并不被分析师看好:皮卡核心是拉货能力,特斯拉的皮卡造型虽酷,但忘了“初心”。
但这些,似乎并没有影响用户的选择。
根据马斯克最新发表的推文,这辆被他称为未来火星官方用车Cybertruck,已经获得了14.6万个订单,其中17%选择单电机后轮驱动,42%选择双电机全轮驱动,41%选择三电机全轮驱动。
它们的续航距离分别为250英里、300英里和500英里,定价也分别为39900美元,49900美元和69900美元。

现在预订费用100刀。以此来算,马斯克已经拿下1400.6万美元收入,预期收入将达到82.3亿美元。
而且,这辆车还有全自动驾驶功能可供选择,但要加7000美元,所以马斯克到时候估计能赚更多。
最后,马斯克也在Twitter上找了场子,发了一个视频说,发布会前也进行了测试,但玻璃并没有碎。

从视频中展示中的情况来看,瑞德·阿兰的分析还是有点道理的,玻璃板的移动幅度明显很大。
金粉们,你们怎么看?