初中数学 八年级上 《一次函数》单元复习检测试卷(含答案)

初中数学八年级上《一次函数》单元复习检测试卷,含答案

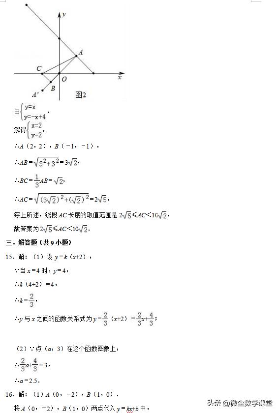
初中数学八年级上《一次函数》单元复习检测试卷,含答案

初中数学八年级上《一次函数》单元复习检测试卷,含答案

初中数学八年级上《一次函数》单元复习检测试卷,含答案

初中数学八年级上《一次函数》单元复习检测试卷,含答案

初中数学八年级上《一次函数》单元复习检测试卷,含答案

初中数学八年级上《一次函数》单元复习检测试卷,含答案

初中数学八年级上《一次函数》单元复习检测试卷,含答案

初中数学八年级上《一次函数》单元复习检测试卷,含答案

初中数学八年级上《一次函数》单元复习检测试卷,含答案

初中数学八年级上《一次函数》单元复习检测试卷,含答案

初中数学八年级上《一次函数》单元复习检测试卷,含答案

初中数学八年级上《一次函数》单元复习检测试卷,含答案

初中数学八年级上《一次函数》单元复习检测试卷,含答案

初中数学八年级上《一次函数》单元复习检测试卷,含答案

初中数学八年级上《一次函数》单元复习检测试卷,含答案

初中数学八年级上《一次函数》单元复习检测试卷,含答案

初中数学八年级上《一次函数》单元复习检测试卷,含答案

初中数学八年级上《一次函数》单元复习检测试卷,含答案

初中数学八年级上《一次函数》单元复习检测试卷,含答案

初中数学八年级上《一次函数》单元复习检测试卷,含答案

初中数学八年级上《一次函数》单元复习检测试卷,含答案