数学家的墓志铭
故事从古罗马说起。
很久很久以前,在埃及的亚历山大港,流传下一篇迷一样的墓志铭:
行人啊,请稍驻足,这里埋葬着丢番图。
上帝赋予他一生的六分之一,享受童年的幸福。
再过十二分之一,两鬓长胡。
又过了七分之一,燃起结婚的蜡烛。
爱子的降生盼了五年之久。
可怜那迟来的儿郎,只活到父亲岁数的一半,便进入冰冷的坟墓。
悲伤只有通过数学来消除。
四年后,他自己也走完了人生的旅途。
这是古代世界著名的数学家丢番图(Diophantus)的墓志铭。
那么问题来了,他活了多少岁呢?你可能会敏锐地注意到,他的年龄需要是 12 和 7 的倍数。于是,84 岁是一个合理的猜测。再代入验证一下,会发现的确符合描述!所以丢番图活了 84 岁。
时间拉回到现代。“鸡兔同笼”问题很多人都遇到过:
今有鸡兔同笼。
上有三十五头,下有九十四足。
鸡兔各几何?
假设我们吹一声哨子,动物们都会抬起一只脚,于是地上便少了 35 只脚。再吹一声又少 35 只。此时鸡已经都飞起来了,还剩 24 只脚一定都是双脚站立的兔子的!所以兔有 12 只,鸡便有 23 只。
这两个问题都很简单嘛,分分钟解决!然而我们必须意识到,我们虽然解出了这两个问题,但使用的是两种精巧、特定的思路,并未诉诸一种普适的方法。于是,若问题中的数字换了换,或者问题的结构不一样了,我们又得苦苦寻求新的解答。我不知道你是怎样的,反正我是不爱动脑子。能无脑解出来的问题,干嘛要动脑筋呢?这个能让我们无脑解决问题的东西,就叫方程(为了区别下文将使用的数学意义上的定义,我们把基于直观认知的描述称为概念)。
概念:方程(equation)是含有未知量的等式。
我记得这是小学数学课本上给出的定义,不得不说,十分恰当。
换言之,只要我们将问题翻译成含有未知量的等式,那么我们就得到了一个方程!诚然不同文明曾经都有各自表示未知量的方法,现代通行的做法是使用罗马字母
a, b, c, d, · · ·
A, B, C, D, · · ·
与希腊字母
γ, δ, λ, σ · · ·
Γ, ∆, Λ, Σ, · · ·
我们也遵循之。于是,如果设丢番图的年龄是 n 的话,他的墓志铭翻译过来无非就是如下这一行等式:

同样,如果记鸡有 a 只,兔子有 b 只,那么鸡兔同笼问题就是如下这两个等式:
a + b = 35
2a + 4b = 94
一般的,所谓列方程,其实就是在将问题陈述的事实翻译成数学等式。翻译完成后,我们便可以利用数学理论、工具与技巧来研究它,以期解出我们的未知量。
如果你觉得方程也就上面两例那么回事,太简单,不值一提,那就大错特错了!
下面再举一例,不过我们有言在先,这纯粹是一个独立的例子:

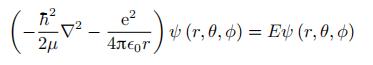
这是描述氢原子的薛定谔方程(Schrodinger equation),是量子力学奠基性的经典方程。其中大部分字母都是数学与物理常数,包括¯h, µ,e, π, ϵ0,剩下的ψ (r, θ, ϕ) 与 E 是我们要求解的未知量。
后者是一个数,前者是一堆数,由r, θ, ϕ 三个参量标识,它们不同的取值都有一个对应的 ψ 的取值。换句话说,ψ 是一个所谓未知函数。∇ 是一个作用在函数上的算符,描述函数的变化。
这个方程在历史上有着里程碑式的意义。20 世纪以来,随着实验设备越来越先进,微观世界的大门被逐渐打开。物理学家们惊讶地发现,眼前看到的是一片前所未见的神秘世界,微观粒子的行为完全不能用过去那套针对宏观物体的方程来描述,曾经被认为像小球一样的那些粒子(particle),有时却会表现出波(wave)的特性。于是,各路英雄豪杰开始提出各种新的理论与假说。
最终,1925 年,薛定谔提出了如今以他的名字命名的薛定谔方程,用所谓波函数(wave function)——即上文中方程中我们要求解的 ψ——来描述微观粒子。
从这个方程出发,如今人们已经建立了一套非常宏大的量子理论,完美描述了微观尺度的宇宙。氢原子由一个原子核伴以一个电子构成,算是最简单的微观系统了,自然成为了初生的量子理论小试牛刀的对象。不用怀疑,人们找到了氢原子薛定谔方程的解,并用实验验证了它的确更好地描述与解释了我们所观测到的自然!
于是,下一个问题便来了,那到底什么是方程的解呢?
薛定谔的氢原子

我们说上面这个方程的解是 n = 84,意思是把 n 替换成 84 代入式子的两边,等式成立。
a + b = 35
2a + 4b = 94
同样,说上面方程的解是 a = 23,b = 12,意思是将它们代入式子后,两个等式均成立。于是,我们可以将方程的解归纳为如下概念。
概念:方程的解(solution)是使得方程所述等式成立的对未知量的赋值。
我们都不难意识到:这样的赋值可能找不到,方程可能无解!比如下面这个方程:
x + 1 = 0
一个小朋友可能会说它无解,因为 0 已经是最小的数了,怎么可能有一个数加上 1 才等于它?然而,等到老师教了负数后,他便会意识到,这个方程可以有解 x = −1。不久,他又遇到了一个新的方程:
2x = −1
一个数的两倍肯定是个偶数呀,怎么可能等于 −1 呢?不急,到学了分数后,解就又有了,即 x = −1/2。
很快又一个方程冒了出来:

好的,我读书再少,可任何数的平方都是非负的,这不会有错吧?!这个方程肯定没解!谁料,等上到高中读了理科,便会学到一种叫“复数”的数。你说解不存在?好,我们引入一个符号 i,规定它满足性质 i的平方 = −1。于是,现在i 就是这个方程的解了!有点赖皮?别急,在后文我们将会看到,这个小小的i 背后可是隐藏着非常深刻的抽象!
这还没完,前面方程的解都是一个个看得见摸得着直截了当的数,那下面这个方程呢?

利用五倍角公式

求出x = sin 6◦
没错,是一个用所谓三角函数表示的值。没人规定方程的解一定要是“数”呀,它完全可以是一个表达式,而且可能超级复杂。就再拿我们的氢原子薛定谔方程来说吧。

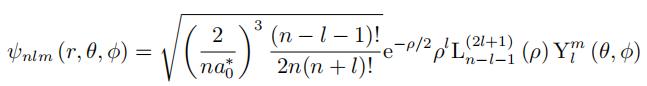
它的解是:

其中,等号左边就是我们要求的未知函数 ψ (r, θ, ϕ),但是你注意到没有,它有三个下标 n, l, m,这表示我们不仅有一个解,而是有一堆解,每一个合法的(n, l, m) 就标识了一个解。物理上,这三个数叫量子数(quantum number),它们的取值为
• n = 1, 2, 3 · · ·
• l = 0, 1, 2, · · · , n − 1
• m = −l, · · · , l
所以,

等都是解,它们描述了特定状态下的氢原子。等号右边自然给出了解的具体表达式,显然它不是一个简单的数。
根号下是一些常数,

是参量 ρ 的简单函数,也还好,而 L 和 Y 这两个人畜无害的字母可就复杂了。

是所谓广义拉盖尔多项式(generalized Laguerre polynomials)的一项,由上标 2l + 1 与下标 n − l − 1 标识。这个多项式的一般项还不是直接写出的,而是递归定义出来的:

所谓递归定义,就是说我们若想知道

,此时下标 3 不等于 0 或 1,于是我们套用定义中的第三个式子,令 α = 3、k = 2,发现

是由

和

算出来的。
进而,我们去计算

和

,会发现它们又依赖于

和

。
我们不需要再循环重复了,因为这两项是由第一行和第二行显式定义出来的。
很复杂了是不是?更复杂的来了。

除了又一堆复杂的系数外,还冒出了一个东西 Plm。它叫伴随勒让德多项式(associated Legendre polynomials)。它是怎么被定义的呢?既不是显式写出来,也不是递归定义的,而是用了一个取巧的办法——定义为另一个多项式的高阶导数:

右边那个新的东西 Pl(x) 叫勒让德多项式(Legendre polynomials),是一个微分方程的解,显式写出来的话长成这个样子:

终于,到此为止,我们解释完了氢原子薛定谔方程的解中的全部记号!我们用满足一定规则的数组标识无穷多组解,用到了加减乘除、根号、乘方、阶乘等复杂的代数计算,用到了递归定义与间接定义的多项式,用到了微积分中的求导……
千言万语,汇成一句话:
方程的解可以非常复杂。
哦对了,说了半天“解”,那方程的“根”是啥?没啥,它就是解,二者是一回事,同义词。
·
文源:《无解的方程:从丢番图到伽罗瓦》
作者:韩旭
部分图源于网络
版权归原作者所有