金属学与热处理汇总
每天睡前看一遍!

导读:饭后、睡前、上厕所,一天三遍,保持最新鲜的状态

晶向指数[ UVW ],晶向族< uvw >;晶面指数( hkl ),晶面族{ hkl };六方晶系晶向指数[ uvw ]→u=(2U-V)/3,v=(2V-U)/3,t=-(u+v),w=W→[uvtw]
空间点阵和晶体点阵 为便于了解晶体中原子排列的规律性,通常将实体晶体结构简化为完整无缺的理想晶体。若将其中每个院子抽象为纯几何点,即可得到一个由无数几何点组成的规整的阵列,称为空间点阵,抽象出来的几何点称为阵点或结点。由此构成的空间排列,称为晶体点阵;与此相应,上述空间点阵称为晶格。
热过冷 纯全属在凝固时,其理论凝固温度(Tm)不变,当液态金属中的实际温度低于Tm时,就引起过冷,这种过冷称为热过冷。
成分过冷 在固液界面前沿一定范围内的液相,其实际温度低于平衡结晶温度,出现了一个过冷区域,过冷度为平衡结晶温度与实际温度之差,这个过冷度是由于界面前沿液相中的成分差别引起的,称为成分过冷。成分过冷能否产生及程度取决于液固界面前沿液体中的溶质浓度分布和实际温度分布这两个因素。
动态过冷度 当界面温度Ti<Tm,熔化速率<凝固速率时,晶核才能长大,这时的过冷度称为动态过冷度。即只有液固界面取得动态过冷度,才能使晶核长大。
结构起伏 液态金属中大量不停“游动”着的原子团簇不断地分化组合,由于“能量起伏”,一部分金属原子(离子)从某个团簇中分化出去,同时又会有另一些原子组合到该团簇中,此起彼伏,不断发生着这样的涨落过程,似乎原子团簇本身在“游动”一样,团簇的尺寸及其内部原子数量都随时间和空间发生着改变的现象。
能量起伏 液态金属中处于热运动的原子能量有高有低,同一原子的能量也在随时间不停地变化,时高时低的现象。
均匀形核 液相中各个区域出现新相晶核的几率都是相同的,是液态金属绝对纯净、无任何杂质,喝不喝型壁接触,只是依靠液态金属的能量变化,由晶胚直接生核的理想过程。临界半径

非均匀形核 液态金属中总是存在一些微小的固相杂质点,并且液态金属在凝固时还要和型壁相接触,于是晶核就可以优先依附于这些现成的固体表面上形成,需要的过冷度较小。临界半径

非均匀形核的临界球冠半径与均匀形核的临界半径是相等的。
晶核长大的微观结构: 光滑界面和粗糙界面。
晶粒大小的控制 控制过冷度;变质处理;振动、搅动。
表面细晶区的形成:当液态金属浇入温度较低的铸型中时,型壁附近熔体由于受到强烈的激冷作用,产生很大的过冷度而大量非均质生核。这些晶核在过冷熔体中也以枝晶方式生长,由于其结晶潜热既可从型壁导出,也可向过冷熔体中散失,从而形成了无方向性的表面细等轴晶组织。
柱状晶区的形成:在结晶过程中由于模壁温度的升高,在结晶前沿形成适当的过冷度,使表面细晶粒区继续长大(也可能直接从型壁处长出),又由于固-液界面处单向的散热条件(垂直于界面方向),处在凝固界面前沿的晶粒在垂直于型壁的单向热流的作用下,以表面细等轴晶凝固层某些晶粒为基底,呈枝晶状单向延伸生长,那些主干取向与热流方向相平行的枝晶优先向内伸展并抑制相邻枝晶的生长,在淘汰取向不利的晶体过程中,发展成柱状晶组织。
中心等轴晶的形成:内部等轴晶区的形成是由于熔体内部晶核自由生长的结果。随着柱状晶的发展,熔体温度降到足够低,再加之金属中杂质等因素的作用,满足了形核时的过冷度要求,于是在整个液体中开始形核。同时由于散热失去了方向性,晶体在各个方向上的长大速度是相等的,因此长成了等轴晶。
固溶体与金属化合物的区别 固溶体晶体结构与组成它的溶剂相同,而金属化合物的晶体结构与组成它的组元都不同,通常较复杂。固溶体相对来说塑韧性好,硬度较低,金属化合物硬而脆。
影响置换固溶体溶解度的因素 原子尺寸因素;电负性因素;电子浓度因素;晶体结构因素。
相律 相律 F=C-P+2 压力为常数时 F=C-P+1 。F为平衡系统的自由度数,C为平衡系统的组元数,P为平衡系统的相数。他的含义是:在只受外界温度和压力影响的平衡系统中,它的自由度数等于系统的组元数和相数之差加上2。
杠杆定律

ω= rb/ab ×100%
成分起伏 液相中总会有某些微笑体积可能偏离液相的平均成分,这些微小体积的成分、大小和位置都是在不断地变化着,这就是成分起伏。
枝晶偏析 固溶体合金不平衡结晶的结果,使先后从液相中结晶出的固相成分不同,再加上冷速较快,不能使成分扩散均匀,结果就使每个晶粒内部的化学成分很不均匀。先结晶的部分含高熔点组元较多,后结晶的部分含低熔点组元较多,在晶粒内部存在着浓度差别,这种在一个晶粒内部化学成分不均匀的现象,称为晶内偏析,又称枝晶偏析。
宏观偏析 在材料宏观范围内出现的成分不均匀偏析。
铁素体与奥氏体 铁素体是溶于α-Fe 中的间隙固溶体,为体心立方结构,常用符号F或α表示。奥氏体是碳溶于γ-Fe中的间隙固溶体,为面心立方结构,常用符号A或γ表示。碳溶于体心立方晶格δ-Fe 中的间隙固溶体,称为δ铁素体,以δ表示。奥氏体塑性很好,具有顺磁性。
工业纯铁 含铁量为ωC=99.8%~99.9%,塑性和韧性很好,但其强度很低。
渗碳体 Fe3C,含碳量为ωC=6.69%,可用Cm表示,具有很高的硬度,但塑性差,低温下具有一定的铁磁性。

单相区——5个
相图中有5个基本的相,相应的有5个相区:
液相区(L)——ABCD以上区域
δ固溶体区——AHNA
奥氏体区(γ)——NJESGN
铁素体区(α)——GPQ(Fe3C)——DFK直线以左渗碳体区
两相区——7个
7个两相区分别存在于两个相应的单相区之间:
L+δ——AHJBAL+γ——BJECBL+Fe3C——DCFDδ+γ——HNJHγ+α——GPSGγ+ Fe3C——ESKFCEα+ Fe3C——PQLKSP+ Fe3C+
三相区——3个
包晶线——水平线HJB(Lδ+γ)共晶线——水平线ECF(Lγ+Fe3C)共析线——水平线PSK(γ+α+ Fe3C)

包晶转变
发生在1495℃(水平线HJB),反应式为:LB+δH→γJ
式中L0.53——含碳量为0.53%的液相;δ0.09——含碳量为0.09%的δ固溶体;γ0.17——含碳量为0.17%的γ固溶体,即奥氏体,是包晶转变的产物。
含碳量在0.09~0.53%之间的合金冷却到1495℃时,均要发生包晶反应,形成奥氏体。
含碳量在0.09~0.53%之间的合金冷却到1495℃时,均要发生包晶反应,形成奥氏体。
共晶转变
发生在1148℃(水平线ECF),反应式为:LC→γE+Fe3C
共晶转变的产物是奥氏体与渗碳体的机械混合物,称为莱氏体,用Ld表示。凡是含碳量大于2.11%的铁碳合金冷却到1148℃时,都会发生共晶反应,形成莱氏体。
共析转变
发生727℃(水平线PSK),反应式为:γS→αP+Fe3C
共析转变的产物是铁素体与渗碳体的机械混合物,称为珠光体,用字母P表示。含碳量大于0.0218%的铁碳合金,冷却至727℃ 时,其中的奥氏体必将发生共析转变,形成珠光体。
Fe-Fe3C相图中的ES、PQ、GS三条特性线也是非常重要的,它们的含义简述如下:
ES线(Acm线)是碳在奥氏体中的溶解度曲线。奥氏体的最大溶碳量是在1148℃时,可以溶解2.11%的碳。而在727℃时,溶碳量仅为0.77%,因此含碳量大于0.77%的合金,从1148℃冷到727℃的过程中,将自奥氏体中析出渗碳体,这种渗碳体称为二次渗碳体(Fe3CII)。
PQ线是碳在铁素体中的溶解度曲线。727℃时铁素体中溶解的碳最多(0.0218%),而在200℃仅可以溶解7×10-7%C。所以铁碳合金由727℃冷却到室温的过程中,铁素体中会有渗碳体析出,这种渗碳体称为三次渗碳体(Fe3CIII)。由于三次渗碳体沿铁素体晶界析出,因此对于工业纯铁和低碳钢影响较大;但是对于含碳量较高的铁碳合金,三次渗碳体(含量太少)可以忽略不计。
GS线(A3线)是冷却过程中,奥氏体向铁素体转变的开始线;或者说是加热过程中,铁素体向奥氏体转变的终了线(具有同素异晶转变的纯金属,其固溶体也具有同素异晶转变,但其转变温度有变化)。
纯铁、钢、白口铁
1.纯铁——含碳量<0.0218%,显微组织为铁素体。
2.钢——含碳量0.0218%~2.11%,特点是高温组织为单相奥氏体,具有良好的塑性,因而适于锻造。根据室温组织的不同,钢又可以分为:
亚共析钢:含碳量0.0218%~0.77%,具有铁素体α+珠光体P的组织,且含碳量越高(接近0.77%),珠光体的相对量越多,铁素体量越少。
共析钢:含碳0.77%,组织是全部珠光体P。
过共析钢:含碳量0.77%~2.11%,组织是珠光体P+渗碳体Fe3C。
3.白口铁——含碳量2.11%~6.69%,特点是液态结晶时都有共晶转变,因而具有良好的铸造性能。但是即使在高温也是脆性材料,不能锻造。根据室温组织不同,白口铁又分为:
亚共晶白口铁:含碳2.11%~4.30%,组织是珠光体P+渗碳体Fe3C+莱氏体Ld 。
共晶白口铁:含碳4.30%,组织是莱氏体Ld 。
过共晶白口铁:含碳4.3%~6.69%,组织是渗碳体Fe3C+莱氏体Ld 。
工业纯铁在缓慢冷却过程中发生的组织转变主要是同素异晶转变和Fe3CIII的析出。
共析钢从液态冷却到室温要发生三次组织转变:匀晶转变L→γ(奥氏体),共析转变γ→(α+Fe3C)(珠光体P),α中析出三次渗碳体(Fe3CIII)。室温下共析钢的组织组成全部为珠光体(可以忽略Fe3CIII),共析钢只有一种组织(忽略Fe3CIII),即珠光体P,珠光体由α和Fe3C两个相组成。应用杠杆定律可以计算出α和Fe3C两个相的相对量。
亚共析钢 含碳0.45%的亚共析钢是应用十分广泛的一种钢,通常称为45号钢。45钢在液态到室温的冷却过程中将发生以下转变:匀晶转变L0.45→L0.53+δ,包晶转变L0.53+δ→γ0.45,同素异晶转变γ0.45→α+γ0.77,共析转变γ0.77→(α+Fe3C)。室温下45钢的组织为:铁素体α+珠光体P(α+Fe3C)。所有亚共析钢的室温组织都是由铁素体和珠光体组成,区别仅在于相对量的差别:含碳量越高(越接近0.77%C),珠光体的量越多、铁素体的量越少。组织组成物ωα=49.5%,ωP=50.5%,相组成物ωα=94.3%,ωFe3C =5.7%。
过共析钢 在液态到室温的冷却过程中,首先进行匀晶转变,形成单相固溶体γ;当温度到达ES线以下时,过饱和的固溶体γ中析出渗碳体(二次渗碳体Fe3CII),奥氏体γ的成分变到共析点S(0.77%C);共析转变γ0.77→(α+Fe3C),形成珠光体P。因此,过共析钢的室温组织为珠光体P(α+Fe3C)+Fe3CII。对于过共析钢,随着含碳量增高,钢中Fe3CII的量增大。由于大量的Fe3CII会形成网状结构,造成钢的脆性急剧增高,所以实际生产中使用的钢含碳量一般都低于1.5%;另外,含有网状Fe3CII的钢不能直接使用,需要经过锻造(压碎Fe3CII网)或相应的热处理后才能使用。
共晶白口铁 在从液态缓慢冷却到室温的过程中,首先在1148℃进行共晶转变,液相全部凝固成为高温莱氏体Ld(共晶组织),在1148℃到727℃之间,莱氏体中的奥氏体γ将按照ES线的变化趋势析出二次渗碳体Fe3CII,而奥氏体在727℃时的含碳量降到0.77%;此时,奥氏体进行共析转变,将全部转变成珠光体P。经过共析转变的莱氏体,称为低温莱氏体,用符号Ld 表示,以区别Ld。珠光体中的渗碳体叫做共析渗碳体,共晶组织中的渗碳体叫做共晶渗碳体。
亚共晶白口铁 冷却过程中组织转变与共晶白口铁类似,只是在共晶转变之前,液相中先结晶出奥氏体。到达1148℃时,剩余的液相成份为4.3%C,再往下面,液相的转变就与共晶白口铁一样了。先结晶出来的奥氏体和共晶奥氏体一样,在以后的冷却过程中依次析出二次渗碳体(难以明显看出)和进行共析转变。室温下亚共晶白口铁的平衡组织为:P+Fe3CII+Ld 。
过共晶白口铁 在从液态到室温的冷却过程中,先从液相中结晶出来的是一次渗碳体Fe3CI,剩余的液相在1148℃进行共晶转变。因此,过共晶白口铁的室温组织为:Fe3CI+Ld’。
碳对钢性能的影响 碳钢的组成相只有铁素体和渗碳体两种,组织组成物有先共析铁素体、珠光体和二次渗碳体三种。由于铁素体硬度低、塑性好,渗碳体硬度非常高、塑性为0;所以,由铁素体和渗碳体均匀混合的珠光体具有良好的综合性能,即具有良好的强度和硬度,同时也具有较好地塑性和韧性。对于亚共析钢,随着含碳量的增加,珠光体的相对量提高,钢的强度、硬度增高,塑性、韧性下降。对于过共析钢,随着含碳量的增加,二次渗碳体数量增加,并且形成网状结构,不仅造成钢的塑性、韧性下降,同时也使强度下降;只有硬度增高。
单晶体金属塑性变形 单晶体塑性变形有“滑移”和“孪生”等不同方式,大多数情况以滑移方式发生。正应力只能引起晶格的弹性伸长,或进一步把晶体拉断,切应力可使晶格在发生弹性歪扭之后,进一步造成滑移。通过大量的晶面滑移,最终使试样拉长变细。
滑移:晶体的一部分相对于另一部分沿一定晶面发生相对的滑动。滑移变形要点:(1)滑移只能在切应力的作用下发生(2)滑移常沿晶体中原子密度最大的晶面和晶向发生。这是因为只有在最密晶面(滑移面)之间的面间距及最密晶向(滑移方向)之间的原子间距才最大,因而原子结合力最弱,所以在最小的切应力下使能引起它们之间的相对滑动。(3)滑移时晶体的一部分相对于另一部分沿滑移方向位移的距离为原子间距的整数倍,滑移的结果会在晶体的表面上造成台阶。(4)滑移的同时必然伴有晶体的转动,沿外力方向。
滑移系:滑移面数与滑移方向数的乘积。滑移系越大,金属滑移的可能性越大,即金属塑性越好。
孪生:当晶体在切应力的作用下发生孪生变形时,晶体的一部分沿一定的晶面(孪生面)和一定的晶向(孪生方向)相对于另一部分晶体作均匀地切变,在切变区域内,与孪生面平行的每层原子的切变量与它距孪生面的距离成正比,并且不是原子间距的整数倍。这种切变不会改变晶体的点阵类型,但可使变形部分的位向发生变化,并与未变形部分的晶体以孪晶界为分界面构成了镜面对称的位向关系。通常把对称的两部分晶体称为孪晶,而将形成孪晶的过程称为孪生。
滑移与孪生的异同:孪生是原子的相对切变距离小于孪生方向上一个原子间距。孪生也是通过位错运动来实现的。但产生孪生的位错的柏氏矢量小于一个原子间距。孪生对塑性变形的贡献比滑移小得多。大多数bcc金属的孪生临界切应力大于滑移临界切应力,所以滑移先于孪生进行;fcc金属的孪生临界切应力远大于滑移临界切应力,所以一般不发生孪生变形。
固溶强化:由于固溶体中存在着溶质原子,使得合金的强度和硬度升高,而塑性、韧性下降,这种现象称为固溶强化。
加工硬化:在塑性变形过程中,随着金属内部组织的变化,金属的力学性能也将产生明显的变化,即随着变形程度的增加,金属的强度、硬度增加,而塑性、韧性下降,这一现象称为加工硬化或形变强化。
细晶强化:常温下,金属的晶粒越细小,强度硬度提高,同时塑性韧性也越好,这种通过细化晶粒来提高材料强度的方法称为细晶强化 。
弥散强化:在母体金属中形成析出物(碳化物、氮化物、金属间化合物等),析出物具有阻碍位错运动的作用,在母相呈微细弥散分布状态,能提高强度,这一现象称为弥散强化。
冷加工纤维组织 是纯金属和单相合金在冷塑性变形时和变形度很大的条件下,各晶粒伸长成纤维状形成的组织。
热加工纤维组织:在热加工过程中,铸锭中的粗大枝晶和各种夹杂物都要沿变形方向伸长,这样就使枝晶间富集的杂质和非金属夹杂物的走向逐渐与变形方向一致,一些脆性杂质破碎成链状,塑性的夹杂物变成条带状、线状或片层状,在宏观试样上沿着变形方向变成一条条细线,这就是热加工钢中的流线。由一条条流线勾划出来的组织,叫做热加工纤维组织。
形变织构 与单晶体一样,多晶体在塑性变形时也伴随着晶体的转动过程,故当形变量很大时,多晶体中原为任意取向的各个晶粒会逐渐调整其取向而彼此趋于一致,这一现象称为晶粒的择尤取向,这种由于金属塑性变形使晶粒具有择尤取向的组织叫做形变织构。 同一种材料随加工方式不同,可能出现不同类型的织构:
(1) 丝织构 在拉拔时形成,各晶粒的某一晶向平行或近似平行于拉拔方向,(2) 板织构 在轧制时形成,各晶粒某一晶面平行于轧制方向,而某一晶向平行于轧制方向。
回复: 即在加热温度较低时,仅因金属中的一些点缺陷和位错迁移而所引起的某些晶内的变化。晶粒大小和形状无明显变化。回复的目的是消除大部分甚至全部第一类内应力和一部分第二类和第三类内应力。
多边形化:冷变形金属加热时,原来处于滑移面上的位错,通过滑移和攀移,形成与滑移面垂直的亚晶界的过程。多边形化的驱动力来自弹性应变能的降低。多边形化降低了系统的应变能。
再结晶:冷变形后的金属加热到一定温度或保温足够时间后,在原来的变形组织中产生了无畸变的新晶粒,位错密度显著降低,性能也发生显著变化,并恢复到冷变形前的水平,这个过程称为再结晶。再结晶不是相变。再结晶的目的是释放储存能,使新的无畸变的等轴晶粒形成并长大,使之在热力学上变得更为稳定。
动态回复与再结晶:在再结晶温度以上进行热加工时,在塑性变形过程中发生的,而不是在变形停止后发生的回复与再结晶。
回复和再结晶的驱动力:金属处于热力学不稳定状态,有发生变化以降低能量的趋势,预先冷变形所产生的储存能的降低是回复和再结晶的驱动力。
再结晶形核机制:亚晶长大形核机制、晶界凸出形核机制。
再结晶温度:经过严重冷变形(变形度在70%以上)的金属,在约1h的保温时间内能够完成再结晶(>95%转变量)的温度。
扩散机制:空位扩散机制、间隙扩散机制
固态金属扩散条件:扩散要有驱动力、扩散原子要固溶、温度要足够高、时间要足够长。 下坡扩散:沿着浓度降低的方向进行的扩散,使浓度趋于均匀化。如铸锭(件)的均匀化退火、渗碳等过程。 上坡扩散:沿着浓度升高的方向进行的扩散,使浓度发生两极分化。例如奥氏体向珠光体转变。 反应扩散:通过扩散使固溶体的溶质组元浓度超过固溶体浓度极限而形成新相的过程称为反应扩散或相变扩散。反应扩散所形成的新相,既可以是新的固溶体,也可以是各种化合物。 扩散驱动力:扩散的驱动力不是浓度梯度,而是化学位梯度。此外,在温度梯度、应力梯度、表面自由能差以及电场和磁场的作用下,也可以引起扩散。 扩散激活能:固态扩散是原子热激活的过程,固态原子从原来的平衡位置跃迁到相邻的平衡位置所必需的能量称为扩散激活能。 影响扩散的因素:温度、键能和晶体结构、固溶体类型、晶体缺陷、化学成分。
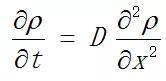
菲克第一、二定律:


如果扩散系数与浓度 C 、距离 x 无关,则第二定律可以写为

共析钢的加热转变 从铁碳相图中看到,钢加热到727℃(状态图的PSK线,又称A1温度)以上的温度,珠光体转变为奥氏体。这个加热速度十分缓慢,实际热处理的加热速度均高于这个缓慢加热速度,实际珠光体转变为奥氏体的温度高于A1,定义实际转变温度为Ac1。Ac1高于A1,表明出现热滞后,加热速度愈快,Ac1愈高,同时完成珠光体向奥氏体转变的时间亦愈短。共析碳钢(含0.77%C)加热前为珠光体组织,一般为铁素体相与渗碳体相相间排列的层片状组织,加热过程中奥氏体转变过程可分为四步进行 第一阶段:奥氏体晶核的形成。由Fe-Fe3C状态图知:在A1温度铁素体含约0.0218%C,渗碳体含6.69%C,奥氏体含0.77%C。在珠光体转变为奥氏体过程中,原铁素体由体心立方晶格改组为奥氏体的面心立方晶格,原渗碳体由复杂斜方晶格转变为面心立方晶格。所以,钢的加热转变既有碳原子的扩散,也有晶体结构的变化。基于能量与成分条件,奥氏体晶核在珠光体的铁素体与渗碳体两相交界处产生,这两相交界面越多,奥氏体晶核越多。 第二阶段:奥氏体的长大。奥氏体晶核形成后,它的一侧与渗碳体相接,另一侧与铁素体相接。随着铁素体的转变(铁素体区域的缩小),以及渗碳体的溶解(渗碳体区域缩小),奥氏体不断向其两侧的原铁素体区域及渗碳体区域扩展长大,直至铁素体完全消失,奥氏体彼此相遇,形成一个个的奥氏体晶粒。 第三阶段:残余渗碳体的溶解。由于铁素体转变为奥氏体速度远高于渗碳体的溶解速度,在铁素体完全转变之后尚有不少未溶解的“残余渗碳体”存在,还需一定时间保温,让渗碳体全部溶解。 第四阶段:奥氏体成分的均匀化。即使渗碳体全部溶解,奥氏体内的成分仍不均匀,在原铁素体区域形成的奥氏体含碳量偏低,在原渗碳体区域形成的奥氏体含碳量偏高,还需保温足够时间,让碳原子充分扩散,奥氏体成分才可能均匀。 珠光体转变为奥氏体并使奥氏体成分均匀必须有两个必要而充分条件:一是温度条件,要在Ac1以上加热,二是时间条件,要求在Ac1以上温度保持足够时间。在一定加热速度条件下,超过Ac1的温度越高,奥氏体的形成与成分均匀化需要的时间愈短;在一定的温度(高于Ac1)条件下,保温时间越长,奥氏体成分越均匀。还要看到奥氏体晶粒由小尺寸变为大尺寸是一个自发过程,在Ac1以上的一定加热温度下,过长的保温时间会导致奥氏体晶粒的合并,尺寸变大。相对之下,相同时间加热,高的加热温度导致奥氏体晶粒尺寸的增大倾向明显大于低的加热温度的奥氏体晶粒长大倾向。奥氏体晶粒尺寸过大(或过粗)往往导致热处理后钢的强度降低, 工程上往往希望得到细小而成分均匀的奥氏体晶粒 ,为此可以采用:途径之一是在保证奥氏成分均匀情况下选择尽量低的奥氏体化温度;途径之二是快速加热到较高的温度经短暂保温使形成的奥氏体来不及长大而冷却得到细小的晶粒。 晶粒度:工程上把奥氏体晶粒尺寸大小定义为晶粒度,并分为8级,其中1~4级为粗晶粒,5级以上为细晶粒,超过8级为超细晶粒。 影响奥氏体晶粒大小的因素:加热温度和保温时间、加热速度、钢的化学成分、钢的原始组织。 钢在冷却时的转变:钢在奥氏体化后的两种冷却方式:等温冷却方式、连续冷却方式 珠光体转变及其组织 在温度A1以下至550℃左右的温度范围内,过冷奥氏体转变产物是珠光体,即形成铁素体与渗碳体两相组成的相间排列的层片状的机械混和物组织。 在珠光体转变中,由A1以下温度依次降到鼻尖的550℃左右,层片状组织的片间距离依次减小。根据片层的厚薄不同,这类组织又可细分为三种。
第一种是珠光体,其形成温度为A1~650℃,片层较厚,一般在500倍的光学显微镜下即可分辨。用符号“P”表示。第二种是索氏体,其形成温度为650℃~600℃,片层较薄,一般在800~1000倍光学显微镜下才可分辨。用符号“S”表示。第三种是屈氏体,其形成温度为600℃~550℃,片层极薄,只有在电子显微镜下才能分辨。用符号“T”表示。实际上,这三种组织都是珠光体,其差别只是珠光体组织的“片间距”大小,形成温度越低,片间距越小。这个“片间距”越小,组织的硬度越高,屈氏体的硬度高于索氏体,远高于粗珠光体。 珠光体转变过程 奥氏体转变为珠光体的过程也是形核和长大的过程。当奥氏体过冷到A1以下时,首先在奥氏体晶界上产生渗碳体晶核,通过原子扩散,渗碳体依靠其周围奥氏体不断地供应碳原子而长大。同时,由于渗碳体周围奥氏体含碳量不断降低,从而为铁素体形核创造了条件,使这部分奥氏体转变为铁素体。由于铁素体溶碳能力低(<0.0218%C),所以又将过剩的碳排挤到相邻的奥氏体中,使相邻奥氏体含碳量增高,这又为产生新的渗碳体创造了条件。如此反复进行,奥氏体最终全部转变为铁素体和渗碳体片层相间的珠光体组织。珠光体转变是一种扩散型转变,即铁原子和碳原子均进行扩散。 贝氏体转变及其组织 过冷奥氏体在550℃~Ms(马氏体转变开始温度)的转变称为中温转变,其转变产物为贝氏体型,所以也叫贝氏体转变。贝氏体用符号“B”表示,它仍是由铁素体与渗碳体组成的机械混和物,但其形貌与渗碳体的分布与珠光体型不同,硬度也比珠光体型的高。 根据贝氏体的组织形态和形成温度区间的不同又可将其划分为上贝氏体(B上)与下贝氏体(B下)。上贝氏体的形成温度为550℃~350℃,它的硬度比同样成份的下贝氏体低,韧性也比下贝氏体差,所以上贝氏体的机械性能很差,脆性很大,强度很低,基本上没有实用价值。下贝氏体的形成温度为350℃~Ms,它有较高的强度和硬度,还有良好的塑性和韧性,具有较优良的综合机械性能,是生产上常用的组织。获得下贝氏体组织是强化钢材的途径之一。 贝氏体的转变过程 在中温区发生奥氏体转变时,由于温度较低,铁原子扩散困难,只能以共格切变的方式来完成原子的迁移,而碳原子则有一定的扩散能力,可以通过短程扩散来完成原子迁移,所以贝氏体转变属于半扩散型相变。在贝氏体转变中,存在着两个过程,一是铁原子的共格切变,二是碳原子的短程扩散。当温度较高(550℃~350℃)时,条状或片状铁素体从奥氏体晶界开始向晶内以同样方向平行生长。随着铁素体的伸长和变宽,其中的碳原子向条间的奥氏体中富集,最后在铁素体条之间析出渗碳体短棒,奥氏体消失,形成上贝氏体。当温度较低(350℃~Ms)时,碳原子扩散能力低,铁素体在奥氏体的晶界或晶内的某些晶面上长成针状。尽管最初形成的铁素体固溶碳原子较多,但碳原子不能长程迁移,因而不能逾越铁素体片的范围,只能在铁素体内一定的晶面上以断续碳化物小片的形式析出,从而形成下贝氏体。 马氏体转变及其组织
马氏体组织及其性能特点
过冷奥氏体在马氏体开始形成温度Ms以下转变为马氏体,这个转变持续至马氏体形成终了温度Mf。在Mf以下,过冷奥氏体停止转变。除Al、Co元素外,溶解到奥氏体中的元素均使Ms、Mf下降。碳含量增多,Ms、Mf点降低。经冷却后未转变的奥氏体保留在钢中,称为残余奥氏体。在Ms与Mf温度之间过冷奥氏体与马氏体共存。在Ms温度以下,转变温度越低,残余奥氏体量越少。随奥氏体中含碳量的增加Ms和Mf均会降低,可见在同样的冷却速度下(或冷却介质中),奥氏体中含碳量越高,马氏体中的残余奥氏体就越多。马氏体形成的温度也是碳原子难以扩散的温度,它是由过冷奥氏体按无扩散型转变机制的转变产物,马氏体与过冷奥氏体含碳量相等,晶格同于铁素体体心立方。体心立方晶格的铁素体在室温含约0.008%C,对共析钢马氏体的晶格内含约0.77%C,为此导致体心立方晶格畸变为体心正方晶格,因此马氏体是含过饱和碳的固溶体,是单一的相,同高温、中温转变产物有本质区别。马氏体的形貌常有针状及板条状两种,前一种一般出现在高碳钢中,后一种一般出现在低碳钢中。“针”或“条”的粗细主要取决于奥氏体晶粒的尺寸大小,奥氏体晶粒越大,“针”或“条”越粗。马氏体的硬度主要取决于其中含碳量,含碳量越高,马氏体硬度越高。实际淬火钢硬度取决于马氏体,残余奥氏体,以及其它不转变物(铁素体或二次渗碳体)的含量。 马氏体转变的特点 马氏体转变同样是一个形核和长大的过程。它的主要特点是:(1)无扩散性;(2)有共格位向关系;(3)在不断降温的过程中形成;(4)高速长大;(5)马氏体转变的不完全性。
钢的回火 回火一般是紧接淬火以后的热处理工艺,回火是淬火后再将工件加热到Ac1温度以下某一温度,保温后再冷却到室温的一种热处理工艺。
淬火后的钢铁工件处于高的内应力状态,不能直接使用,必须即时回火,否则会有工件断裂的危险。淬火后回火目的在于降低或消除内应力,以防止工件开裂和变形;减少或消除残余奥氏体,以稳定工件尺寸;调整工件的内部组织和性能,以满足工件的使用要求。钢在回火时的转变共析钢在淬火后得到的马氏体和残余奥氏体组织是不稳定的,存在着向稳定组织转变的自发倾向。回火加热可加速这种自发转变过程。根据转变发生的过程和形成的组织,回火可分为四个阶段:第一阶段(200℃以下):马氏体分解。第二阶段(200℃~300℃):残余奥氏体分解。第三阶段(250℃~400℃):碳化物的转变。第四阶段(400℃以上):渗碳体的聚集长大与α相的再结晶。

回火脆性 随着回火温度的升高,钢的冲击韧性发生变化。在250℃~350℃和500℃~650℃钢的冲击韧性明显下降,这种脆化现象称为回火脆性(1)低温回火脆性 淬火钢在250℃~3500℃范围内回火时出现的脆性叫做低温回火脆性,也叫第一类回火脆性。几乎所有的钢都存在这类脆性。这是一种不可逆回火脆性,目前尚无有效办法完全消除这类回火脆性。所以一般都不在250℃~350℃这个温度范围内回火。(2)高温回火脆性 淬火钢在500℃~650℃范围内回火时出现的脆性称为高温回火脆性,也称为第二类回火脆性。这种脆性主要发生在含Cr、Ni、Si、Mn等合金元素的结构钢中。这种脆性与加热、冷却条件有关。加热至600℃以上后,以缓慢的冷却速度通过脆化温度区时,出现脆性;快速通过脆化区时,则不出现脆性。此类回火脆性是可逆的,在出现第二类回火脆性后,重新加热至600℃以上快冷,可消除脆性。
钢的淬火 将亚共析钢加热到Ac3以上,共析钢与过共析钢加热到Ac1以上(低于Accm)的温度,保温后以大于Vk的速度快速冷却,使奥氏体转变为马氏体的热处理工艺叫淬火。马氏体强化是钢的主要强化手段,因此淬火的目的就是为了获得马氏体,提高钢的机械性能。淬火是钢的最重要的热处理工艺,也是热处理中应用最广的工艺之一。 淬火温度的确定 淬火温度即钢的奥氏体化温度,是淬火的主要工艺参数之一。选择淬火温度的原则是获得均匀细小的奥氏体组织。亚共析钢的淬火温度一般为Ac3以上30℃~50℃,淬火后获得均匀细小的马氏体组织。如果温度过高,会因为奥氏体晶粒粗大而得到粗大的马氏体组织,使钢的机械性能恶化,特别是使塑性和韧性降低;如果淬火温度低于Ac3,淬火组织中会保留未溶铁素体,使钢的强度硬度下降。 加热时间的确定 加热时间由升温时间和保温时间组成。由零件入炉温度升至淬火温度所需的时间为升温时间,并以此作为保温时间的开始。保温时间是指零件烧透及完成奥氏体化过程所需要的时间。加热时间通常根据经验公式估算或通过实验确定。生产中往往要通过实验确定合理的加热及保温时间,以保证工件质量。 淬火冷却介质的确定 淬火过程是冷却非常快的过程。为了得到马氏体组织,淬火冷却速度必须大于临界冷却速度Vk。但是,冷却速度快必然产生很大的淬火内应力,这往往会引起工件变形。淬火的目的是得到马氏体组织,同时又要避免产生变形和开裂。对于理想的淬火冷却曲线,只要在“鼻尖”温度附近快冷,使冷却曲线躲过“鼻尖”,不碰上 C曲线 ,就能得到马氏体。也就是说,在“鼻尖”温度以上,在保证不出现珠光体类型组织的前提下,可以尽量缓冷;在“鼻尖”温度附近则必须快冷,以躲开“鼻尖”,保证不产生非马氏体相变;而在Ms点附近又可以缓冷,以减轻马氏体转变时的相变应力。但是到目前为止,还找不到完全理想的淬火冷却介质。常用的淬火冷却介质是水、盐或碱的水溶液和各种矿物油、植物油。 淬火方法 选择适当的淬火方法同选用淬火介质一样,可以保证在获得所要求的淬火组织和性能条件下,尽量减小淬火应力,减少工件变形和开裂倾向。(1)单液淬火 它是将奥氏体状态的工件放入一种淬火介质中一直冷却到室温的淬火方法。这种方法操作简单,容易实现机械化,适用于形状简单的碳钢和合金钢工件。(2)双液淬火 它是先将奥氏体状态的工件在冷却能力强的淬火介质中冷却至接近Ms点温度时,再立即转入冷却能力较弱的淬火介质中冷却,直至完成马氏体转变。(3)分级淬火 它是将奥氏体状态的工件首先淬入略高于钢的Ms点的盐浴或碱浴炉中保温,当工件内外温度均匀后,再从浴炉中取出空冷至室温,完成马氏体转变(见图6-16曲线3)。(4)等温淬火 它是将奥氏体化后的工件在稍高于Ms温度的盐浴或碱浴中冷却并保温足够时间,从而获得下贝氏体组织的淬火方法。 钢的淬透性 (1)淬透性的概念 钢的淬透性是指奥氏体化后的钢在淬火时获得淬硬层(也称为淬透层)深度的能力,其大小用钢在一定条件下淬火获得的淬硬层深度来表示。(2)影响淬透性的因素 影响淬透性的主要因素是化学成分,除Co以外,所有溶于奥氏体中的合金元素都提高淬透性。另外,奥氏体的均匀性、晶粒大小及是否存在第二相等因素都会影响淬透性。(3)淬透性的测定及其表示方法 淬透性的测定方法很多,目前应用得最广泛的是“末端淬火法”,简称端淬试验。试验时,先将标准试样加热至奥氏体化温度,停留30~40min,然后迅速放在端淬试验台上喷水冷却。 钢的淬硬性:表示钢淬火时的硬化能力,用淬成的马氏体可能得到的最高硬度表示。它主要取决于马氏体中的含碳量。含碳量越高,淬硬性越高。
钢的分类 一、按化学成分分类 按钢材的化学成分可分为碳素钢和合金钢两大类。碳素钢按含碳量多少可分为低碳钢(C%≤0.25%)、中碳钢(C%=0.25%~0.60%)和高碳钢(C%>0.6%)三类。合金钢按合金元素的含量又可分为低合金钢(合金元素总量<5%)、中合金钢(合金元素总量为5~10%)和高合金钢(合金元素总量>10%)三类。合金钢按合金元素的种类可分为锰钢、铬钢、硼钢、铬镍钢、硅锰钢等。二、按冶金质量分类 按钢中所含有害杂质硫、磷的多少,可分为普通钢(S%≤0.055%,P%≤0.045%)、优质钢(S%、P%≤0.040%)和高级优质钢(S%≤0.030%,P%≤0.035%)三类。此外,按冶炼时脱氧程度,可将钢分为沸腾钢(脱氧不完全)、镇静钢(脱氧较完全)和半镇静钢三类。三、按用途分类 按钢的用途可分为结构钢、工具钢、特殊钢三大类。结构钢又分为工程构件用钢和机器零件用钢两部分。工程构件用钢包括建筑工程用钢、桥梁工程用钢、船舶工程用钢、车辆工程用钢。机器用钢包括调质钢、弹簧钢、滚动轴承钢、渗碳和渗氮钢、耐磨钢等。这类钢一般属于低、中碳钢和低、中合金钢。工具钢分为刃具钢、量具钢、模具钢。主要用于制造各种刃具、模具和量具,这类钢一般属于高碳、高合金钢。特殊性能钢分为不锈钢、耐热钢等。这类钢主要用于各种特殊要求的场合,如化学工业用的不锈耐酸钢、核电站用的耐热钢等。四、按金相组织分类 按钢退火态的金相组织可分为亚共析钢、共析钢、过共析钢三种。按钢正火态的金相组织可分为珠光体钢、贝氏体钢、马氏体钢、奥氏体钢等四种。在给钢的产品命名时,往往把成分、质量和用途几种分类方法结合起来。如碳素结构钢、优质碳素结构钢、碳素工具钢、高级优质碳素工具钢、合金结构钢、合金工具钢、高速工具钢等
合金元素在钢中的作用 合金元素在钢中可以两种形式存在:一是溶解于碳钢原有的相中,另一种是形成某些碳钢中所没有的新相。在一般的合金化理论中,按与碳亲合力的大小,可将合金元素分为碳化物形成元素与非碳化物形成元素两大类。常用的合金元素有以下几种:非碳化物形成元素:Ni、Co、Cu、Si、Al、N、B;碳化物形成元素:Mn、Cr、Mo、W、V、Ti、Nb、Zr。此外,还有*土稀**元素,一般用符号Re表示。
合金元素对钢中基本相的影响
钢的编号


再结晶退火的目的 :降低硬度,提高塑性,恢复并改善材料性能。
影响因素 : 变形程度和退火温度。 再结晶织构 :金属在再结晶退火形成的织构。避免措施:1.适当变形度,较低退火温度,较短保温时间。2.两次变形,两次退火。 退火 :形变金属的组织和性能在加热时,逐渐发生变化,向稳定态转变的过程。 回复 :冷塑性变形的金属在加热时,在光学显微组织发生改变前,即在再结晶晶粒形成前,所产生的某些亚结构和性能变化过程。温度越高,回复程度越大。 目的:使金属内部缺陷数量减少,储存能降低。 高温回复 :1.较高温回复时,不仅原子有很大的活动能力,而且位错也开始运动起来:同一滑移面上的异号位错可以相互吸引而抵消。2.温度更高时,位错不但可以滑移,而且可以攀移,发生多边化。 多边化 :冷变形后,金属加热时,原来处在滑移面上的位错,通过滑移和攀移,形成与滑移面垂直的亚晶界的过程。驱动力:弹性应变能的降低。 再结晶 :冷变形后的金属加热到一定温度,或保温足够长时间,在原来的变形组织中产生了无畸变的新晶粒,位错密度显著降低,性能也发生显著变化,并恢复到冷变形水平的过程。
驱动力 : 预先冷变形所产生的储存能的降低。
再结晶温度的影响因素 :1.金属变形度越大,储存能越大,驱动力越大,再结晶温度越低。2.金属的纯度越高,再结晶温度越低。3.形变金属的晶粒越细小,再结晶温度越低。4.一定的加热速度和保温时间,可以降低再结晶温度。
再结晶与同素异构转变的区别 :1.相同部分:都经历形核与长大。不同点:再结晶前后各晶粒的晶格类型不变,成分不变;同素异构改变发生了晶格的改变。
起始晶粒度 :将钢加热到临界温度以上,奥氏体边界刚刚相互接触时的晶粒大小。
实际晶粒度 :钢在具体热处理中,获得的实际奥氏体晶粒大小。
本质晶粒度 :标准试验方法,930度正负10,加热保温三小时,侧得的晶粒大小。
影响奥氏体晶粒大小的因素 :1.加热温度越高,保温时间越长,晶粒大小越大。2.加热速度越大,过热度越大,形核度增加大于长大速度,晶粒越小。3.一定含碳量的时候,碳含量越高,晶粒长大倾向越大,超过一定含碳量,相反。4.原始组织越细小,碳的弥散度越大,晶粒越细小
过冷奥氏体 :在临界温度以下存在且不稳定的,将要发生转变的奥氏体。
片状珠光体通过球化退火工艺得到粒状珠光体的方法 : 1.将钢奥氏体化,通过控制奥氏体温度和时间,使奥氏体的碳浓度分布不均匀,或保留大量未溶渗碳体质点,并在A1温度线以下较高温度范围内缓冷。2.将钢加热到略低于A1温度长时间保温。
形成片状珠光体的驱动力 :铁素体和渗碳体之间相界面的减少。
伪共析体 :偏离共析成分的亚共析钢或过共析钢,过冷到伪共析区所形成的全部珠光体组织。
马氏体转变 :钢从奥氏体状态快速冷却抑制其扩散性分解,在较低温度下,低于MS点发生的无扩散形相变。
钢中的马氏体有两种结构 :体心立方和体心正方,其中体心正方在含碳量较高的钢中出现。
临界淬火速度:淬火获得全部马氏体组织的最小冷却速度。
板条状马氏体 :特点:一条条细条状组织,条与条之间,以小角度分开,束与束之间以大角度分开。
片状马氏体 :双凸透镜状,存在大量的显微裂纹。
这两种不同形状的马氏体形成因素主要取决于奥氏体中碳含量和转变开始温度MS.含碳量小于0.2%,全部板条状马氏体,大于1%,全部片状。
碳对马氏体晶格的固溶强化 :间隙原子碳处于a相晶格的扁八面体间隙中,造成晶格的正方畸变而形成一个应力场,该应力场与位错发生强烈的交互作用,从而提高马氏体强度的现象。
相变强化 :马氏体转变时,在晶体内造成密度很高的晶格缺陷,无论板条状马氏体中的高密度位错,还是片状马氏体中的孪晶,都阻碍位错运动,从而使马氏体强化的现象。
马氏体转变的特点 :马氏体转变无扩散性,切变共格性,具有特定的惯习面和位相关系,在一个温度范围内进行,可逆。
马氏体转变动力学的主要形式变温和等温转变两种。
钢在珠光体转变温度以下,马氏体转变温度以上的温度范围内,过冷奥氏体将发生贝氏体转变,又称中温转变。(F+C组成的机械混合物) 特点 : 扩散,有共格的转变
600-350度 上贝 :由许多从奥氏体晶界向晶内平行生长的条状铁素体和在相邻铁素体条间存在的断续的,短杆状的渗碳体组成的。
Ms-350度 下贝 :黑丝针叶状,双凸透镜状,高密度位错。
B转变特点 :形核与长大过程 B中铁素体的形成是按M转变机制进行的 B中碳化物的分布与形成温度有关。
回火 :将淬火钢加热到低于临界点A1的某一温度保温一段时间,使淬火组织转变为稳定的回火组织,然后以适当的方式冷却到室温的一种热处理工艺。
残余奥氏体(200-300度):高温区回火时,先析出碳化物,随后分解为珠光体。低温区回火时,将转变为贝氏体。
回火S :淬火钢在500-600度回火得到的回复或再结晶S的铁素体的粗粒状渗碳体饿机械混合物。
调质处理 :淬火加高温回火,获得回火S组织的复合热处理工艺。
回火组织 :回火M:在低温回火(150-250度),屈服极限大大加强,硬度也大大增大,主要用作工具钢。
回火T :在中温回火(350-500度),在板条状或片状成相基底上弥散析出细球化渗碳体的复合组织。弹簧
回火S :高温回火(500-600度),等球状下的基底上弥散析出粗球状渗碳体的复合组织。
回火稳定性 :淬火钢在回火时抵抗强度和硬度下降的能力。
回火脆性 :淬火钢回火时的冲击韧度并不是总是随回火温度升高时单调地增大,有些钢在一定的温度范围内回火时,其冲击韧度显著下降的脆化现象。
250-400温度范围内出现的回火脆性低。450-650温度范围内出现的回火脆性高,又叫 可逆回火脆性。
再结晶退火 :把冷变形后的金属加热到再结晶温度以上保持适当的时间,使变形晶粒重新转变为均匀等轴晶粒,同时消除加工硬化和残余内应力的热处理工艺。(当钢处于临界冷变形度6%-10%,采用正火或完全退火)
正火 :将钢加热到Ac3(或Acm)以上适当温度,保温以后在空气中冷却得到珠光体类组织的热处理工艺。(实质上完全奥氏体化加伪共析转变)
主要应用以下几个方面 : 1)改善低碳钢的切削加工性能。2)消除中碳钢的热加工缺陷。3)消除过共析钢的网状碳化物,便于球化退火。4)提高普通结构件的力学性能
淬火 :将钢加热到临界点AC3或AC1以上一定温度,保温后大于临界冷却速度的速度冷却得到M(或下B)的热处理工艺。 目的:使奥氏体化后的工作获得尽量多的M,然后配以不同温度回火获得各种需要的性能。
工作变形或开裂的原因 : 淬火过程中在工件内由于热胀冷缩产生的内应力造成的。
内应力 :1、热应力:工件加热或冷却时由于内外温差导致热胀冷缩不一致而产生的内应力。前期:零件表面承受拉应力,心部承受压应力。后期:心部受拉应力,表面受压应力。2.组织应力:工件冷却过程中,由于内外温差造成组织转变不同时,引起内外比体积的不同变化而产生的内应力。组织应力引起的残留应力在热应力正好相反,表面为拉应力,心部为压应力。
退火 :将钢加热到临界点AC1以上或以下温度,保温以后随炉缓慢冷却以获得近于平衡状态组织的热处理工艺。 目的:均匀钢的化学成分及组织,细化晶粒,调整硬度,消除内应力和加工硬化,改善钢的成型及切削加工性能,并为淬火做好组织准备。
完全退火 :将钢件或钢材加热到AC3以上20-20度,保温足够长时间,使组织完全奥氏体化后缓慢冷却,以获得近于平衡组织的热处理工艺,主要用于亚共析钢。
等温退火 :将A化后的钢较快地冷至稍低于A1温度等温,使A转变为P,再空冷至室温,则可大大缩短退火时间的退火方法。
不完全退火:将钢加热到AC1到AC3(亚共析钢)或AC1到ACM(过共析钢)之间,经保温后缓慢冷却,以获得近于平衡组织的热处理工艺。
目的 : 主要为了获得球化珠光体,消除内应力,降低硬度,改善切削加工性能,又称球化退火。
均匀化退火(扩散退火):将钢锭或铸件,锻坯加热到略低于固相线温度下,长时间保温然后缓慢冷却以消除化学成分不均匀现象的热处理工艺。
目的 : 消除铸锭或铸件在凝固过程中产生的枝晶偏析及区域偏析,使成分和组织均匀化。
去应力退火 :为了消除铸件锻件焊接件及机械加工工件中的残留内应力,以提高尺寸稳定性,防止工件变形和开裂,在精加工或淬火之前将工件加热到AC1以下某个温度,保温一定时间,然后缓慢冷却的热处理工艺
回火的目的 :减少或消除淬火应力,保证相应的组织转变,提高钢的韧性和塑性,获得硬度强度,塑性韧性的适当配合,以满足各种用途工件的性能要求。
低温回火 :150=250.回火马氏体,用于刀具量具,滚动轴承,渗碳体及高频表面淬火工件。
中温回火 :350-500.回火T,主要用于各种弹簧零件及热锻模具。
高温回火 :500-650.回火S,适用于中碳结构钢,或低合金钢制作的重要的机械零件。
过热 :工件在淬火加热时,由于温度过高,或者时间过长,造成奥氏体晶粒粗大的缺陷。
过烧 :淬火加热温度太高,使奥氏体晶界出现局部融化,或者发生氧化的现象。
钢从奥氏体状态冷却至MS点以下所用的冷却介质,叫做淬火介质。
介质冷却能力越大,冷却速度越快,越容易超过钢的临界淬火速度,工件越容易淬硬,淬硬层深度越深
水,盐水,碱水以及各种矿物油
矿物油的优点 :低温区的冷却速度比水小很多,可大大降低淬火工件的组织应力,减少工件变形开裂的倾向
方法 : 1.单液淬火法 : 将加热到奥氏体状态的工件放入某种淬火介质中,连续冷却至介质温度的淬火方法,适用于形状简单的碳钢和合金钢工件(采用预冷淬火法)
2.双液淬火法 : 将加热到奥氏体状态的工件先在冷却能力较强的淬火介质中冷却至接近MS点温度时,再立即转入冷却能力较弱的淬火介质中冷却,直至完成马氏体转变。
3.分级淬火法 : 将奥氏体状态的工件,首先淬入温度略高于钢的MS点的盐浴中保温,当工件内外温度均匀后,再从浴炉中取出,空冷至室温,完成马氏体转变(适用于尺寸较小的工件,如刀具量具和要求变形很小的精密工件)
4.等温淬火 : 将奥氏体化的工件淬入MS点以上某温度盐浴中,等温保持足够长时间,使之转变为FB组织,然后取出空气中冷却的淬火方法(适用于处理形状复杂,尺寸要求精密的工具,和主要的机器零件)
淬透性 :钢在淬火时,获得马氏体的能力,临界淬火温度越低,淬透性越好。
淬透层深度 :由表面测得50%马氏体这个位置的距离。
淬硬性 :钢在正常淬火条件下,获得马氏体组织的最高硬度,取决于马氏体中的含碳量。