【科研摘要】
最近, 墨西哥化学研究所和生物学研究所 Luca Albertin教授团队 设计了一种基于 淀粉样蛋白的人造氧化还原水凝胶,用于介导[NiFeSe]氢化酶和电极之间的电子转移。 从真菌蛋白HET-s的病毒形成突变域开始,合成了包含单个苄基甲基紫精部分的杂化氧化还原蛋白。

这种蛋白质能够自组装成结构均一的纳米原纤维。分子建模证实,氧化还原基团沿着原纤维的轴排列,并通过一条长而灵活的多肽链束缚在其核心上,该多肽链允许原纤维结合的氧化或还原的氧化还原基团之间紧密相遇。 通过简单的pH跃迁获得了能够在温和条件下将氢化酶固定在碳电极表面的氧化还原水凝胶膜。通过这种方式,制造了用于H2电催化氧化的新型生物电极,在45°C的静态条件下,其催化电流密度高达270 µA cm-2,过电势为0.33V。 相关论文以题为 Hybrid amyloid‐based redox hydrogel for bioelectrocatalytic H2 oxidation 发表在《 Angewandte Chemie 》上。
【主图导读】

示意图1.由自组装杂合蛋白合成氧化还原纳米纤维,并制备基于淀粉样蛋白的氧化还原水凝胶膜。

图1. p(BMV-HETPFD)氧化还原纳米纤维(0.1 mM HCl pH = 3.5)和未折叠的病毒形成结构域(AcOH 1%v/v pH 2.6)的CD光谱。

图2.在0.1 mM HCl pH 3.5中的p(BMV-HETPFD)的低压TEM图像:样品主要由具有一些双链和三链纤维的单链原纤维组成,其中一些示例由箭头指示。

图3. p(BMV-HETPFD)原纤维的模型。不同的颜色表示不同的多肽链。苄基甲基紫精基团显示为紫色。

图4. (a)在玻璃碳电极上形成的干燥的单层p(BMV-HETPFD)凝胶膜的SEM图像。b)用DHM记录的类似薄膜的形貌滴铸在硼硅玻璃载玻片上(液滴体积为2.5 µL)。通常可获得直径约2 mm的圆形胶片,DHM仅可对四分之一光盘进行成像。z轴的标度为nm,而x和y轴的单位为µm。

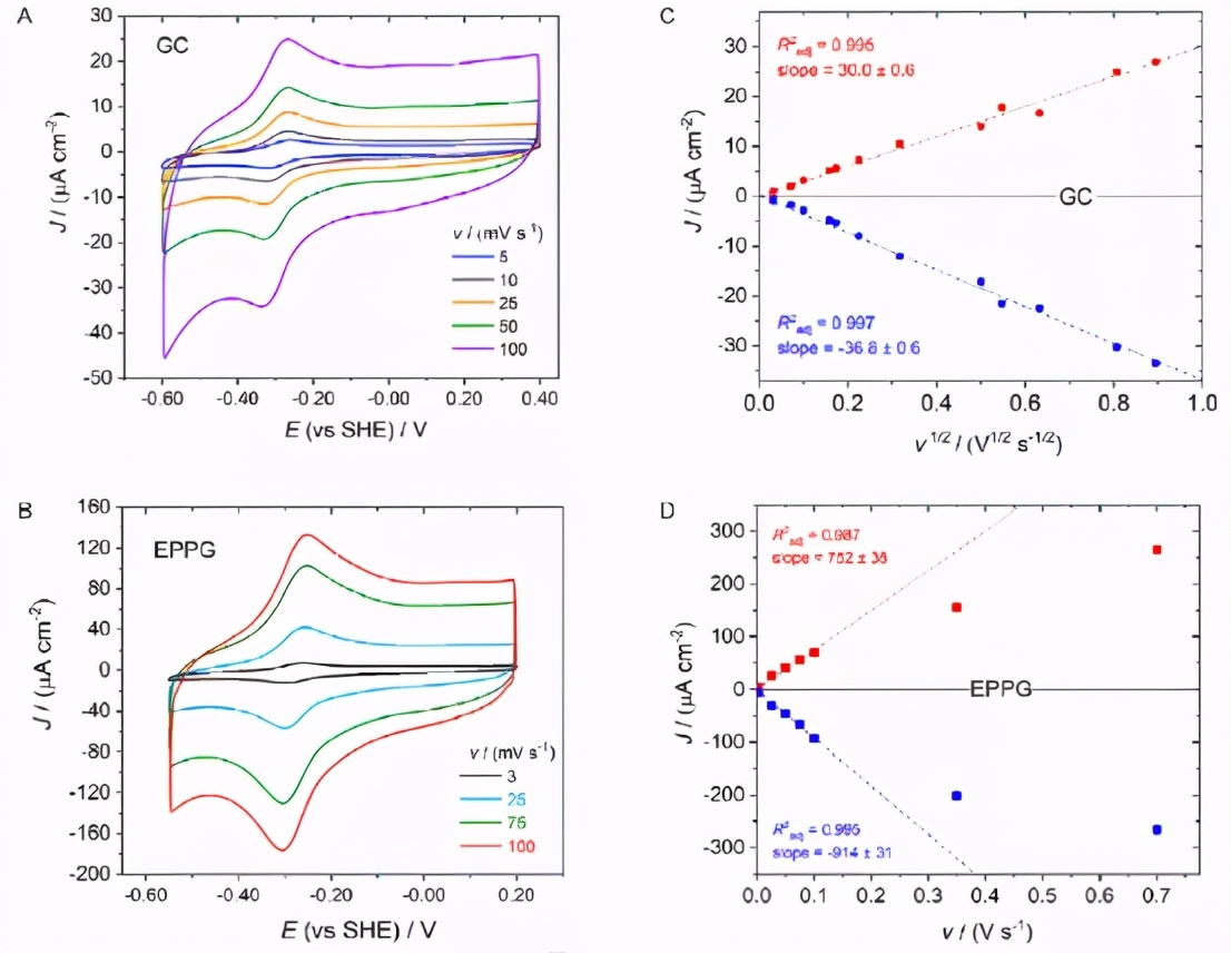
图5. GC和EPPG电极上的p(BMV-HETPFD)水凝胶膜的循环伏安图(a,b)以及阴极和阳极电流对扫描速率(c,d)的依赖性。减去背景电容电流,并迫使线性回归函数的截距穿过原点。扫描速率为0.35 V s-1和0.70 V s-1时的电流密度,但未从曲线(d)中的线性回归计算中得出。条件:2 µL滴涂,支持电解质TrisHCl 20 mM(GC)或50 mM(EPPG)/NaCl 50 mM,pH 7.6。

图6. (A)单层电活性p(BMV-HETPFD)和(B)单层和(C)双层p(BMV-HETPFD)/DbH- [NiFeSe]生物电催化水凝胶薄膜的形貌 在玻璃幻灯片上。所有图形的垂直比例都相同,但是以任意单位表示,而x轴和y轴的单位为µm。

图7. 修饰的GC(a)和EPPG(b)电极在静止条件下的循环伏安图(扫描速率为10 mV s-1)。
参考文献 :doi.org/10.1002/anie.202101700
版权声明:「 高分子材料科学 」是由专业博士(后)创办的公众号,旨在分享学习交流高分子聚合物材料学等领域的研究进展。上述仅代表作者个人观点。如有侵权或引文不当请联系作者修正。商业转载或投稿请后台联系编辑。感谢各位关注!