植物功效成分-三萜及其苷类
一、概述
三萜类(triterpenoids)化合物是一类基本母核由30个碳原子组成的萜类化合物,根据“异戊二烯法则",其结构被认为是由6个异戊二烯单位缩合而成。
三萜类化合以游离态和结合态两种形式在自然界中广泛分布。游离三萜主要分布于菊科、豆科、大戟科、卫矛科、茜草科、橄榄科、唇形科等植物;三萜苷类则分布于豆科、五加科、葫芦科、毛茛科、石竹科、伞形科、鼠李科、报春花科等植物中;一些常用植物如人参、黄芪、甘草、三七、桔梗、远志、柴胡、茯苓、甘遂和泽泻等都含有三萜类化合物。 此外,某些苦味素成分也属于三萜类。
由于三萜苷类化合物多数可溶于水,水溶液振摇后产生似肥皂样泡沫,故被称为三萜皂苷(triterpenoid saponins),该类皂苷多具有羧基,所以有时又称其为酸性皂苷。
三萜皂苷是由三萜皂苷元和糖组成,常见的苷元为四环三萜和五环三萜。 组成皂苷的糖常见的有D-葡萄糖、D-半乳糖、D-木糖、L-阿拉伯糖、L-鼠李糖、D-葡萄糖醛酸和D-半乳糖醛酸,另外还有L-岩藻糖、D-鸡纳糖、D-芹糖、 乙酰基糖和乙酰氨基糖等,这些糖多以低聚糖形式与苷元成苷,多数为吡喃型糖苷,但也有呋喃型糖苷。根据皂苷分子中糖链的多少,可分为单糖链皂苷、双糖链皂苷和叁糖链皂苷等。原生苷由于水解或酶解,部分糖被降解所生成的苷叫次生苷, 其苷元称为原皂苷元(prosapogenins)。
三萜皂苷类化合物具有多种重要的生理活性和广泛的药理作用,如抗癌、抗炎、抗过敏、抗病毒、降血糖、防治心脑血管疾病等。从葫芦科植物盒子草Actinostemma Lobatum中得到的lobatoside B等四种三萜皂苷具有很好抗癌活性。从桔梗Platycodongrandijlorum根中得到的三个新三萜皂苷platycosides Gl ~G3具有抗病毒活性,能有效抑制庖疹病毒(HSV-1)、呼吸道合胞病毒(RSV)和流感病毒(Flu A)。辽东楤木Araliaelata总皂苷可明显降低四氧嘧啶糖尿病兔的血糖值,且随给药时间延长降糖作用日趋明显。西洋参总皂苷不仅能降低血糖,还能降低总胆固醇、三酰甘油、低密度脂蛋白,对冠心病和血脂异常有治疗作用等。然而,由于三萜类化合物的毒性、溶血性和抑制细胞生长等系列的生理特性,又使得其在具备治疗作用的同时产生一系列的副作用。因此,研究、制备低毒高效的三萜衍生物已成为目前研究的热点。
已发现的三萜类化合物结构类型很多,目前约有200种不同类型的三萜类化合物骨架,多数为四环三萜和五环三萜,也有少数为链状、单环、双环和三环三萜。近年来,又发现许多由于三萜类化合物氧化、甲基转位、重排及降解等生成结构复杂、高度氧化的新骨架类型三萜类化合物。
从生源途径来看,它们的生物合成是由鲨烯(squalene)、氧化鲨烯(oxidosqualene)或双氧化鲨烯(bisoxidosqualene)形成的,而鲨烯是由焦磷酸金*欢合**酯(farnesyl pyrophosphate, FPP)尾尾缩合生成。

二、三萜类化合物的结构与分类
根据三萜类化合物在植物体(生物体)内的存在形式、结构和性质,可分为三萜皂苷及其苷元和其他三萜类(包括树脂、苦味素、三萜生物碱及三萜醇等)两大类,但一般是根据三萜类化合物碳环的有无和多少进行分类。
1、无环三萜及简单三萜
从苦木科植物Eurycoma longiolin分离得到的化合物logilene peroxide ,是含有8个手性碳和3个呋喃环的鲨烯类链状三萜化合物。

从植物Lansium domesticum的果皮中分离得到的lansiosideA、B和C,是具有新三环骨架的三萜苷类化合物。LansiosideA是从植物中得到的一种非常罕见的乙酰氨基葡萄糖苷,其在2.4ppm的浓度下能有效地抑制白三烯D4诱导的豚鼠回肠收缩。

2、四环三萜
四环三萜(tetracyclictriterpenoids)大部分具有环戊烷骈多氢菲的基本母核,17位上有由8个碳原子组成的侧链,在母核上一般有5个甲基,即4位有偕二甲基,10位和14位各有一个甲基,另一个甲基常连接在13位或8位上。存在于天然界的四环三萜或其皂苷元主要有以下类型。
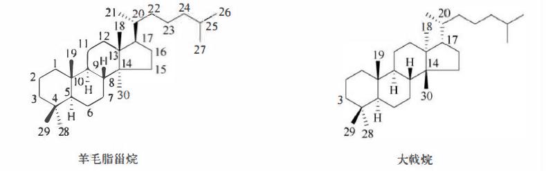
(1)羊毛脂甾烷型与大戟烷型
羊毛脂甾烷(lanostane)也叫羊毛脂烷,是由环氧鲨烯经椅-船-椅构象式环合而成,其结构特点是A/B、B/C、C/D环均为反式稠合,C-20为R构型,其10、13和14位分别连有β-、β-、α-CH3, 17位侧链为β-构型。
大戟烷(euphane)是羊毛脂甾烷的立体异构体,基本碳架相同,只是13、14和17位上的取代基构型不同,即是13α、14β、17α-羊毛脂甾烷。

羊毛甾醇是羊毛脂的主要成分,也存在于大戟属植物Euphorbiabalsamifera的乳液中。
茯苓Poriacocos中的三萜类成分具有抗肿瘤、抗炎、免疫调节等作用。茯苓酸(pachymic acid) 和块芩酸(tumulosic acid)等具有利尿、渗湿、健脾、安神功效。 这类化合物的特征是多数在C-24上有一个额外的碳原子,即属于含31个碳原子的三萜酸。

灵芝为补中益气、滋补强壮、扶正固本、延年益寿的名贵中药材,从中分离出的四环三萜化合物已达100余个,属于羊毛脂甾烷高度氧化的衍生物。根据这些三萜分子中所含碳原子的数目,可分为C30、C27和 C24三种基本骨架, lucidenic acid A和lucidone A为灵芝酸(ganoderic acid C)的降解产物 。

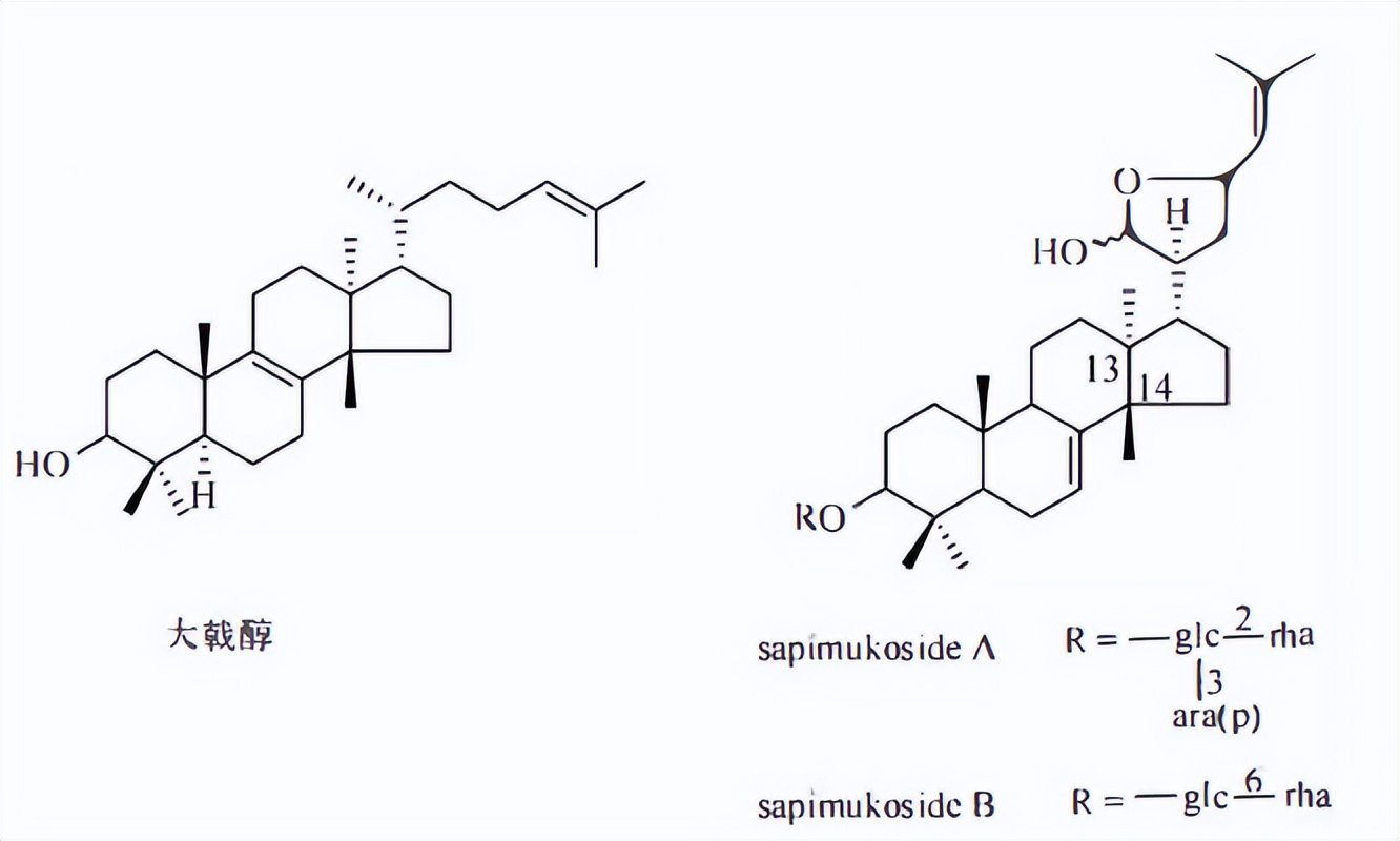
大戟醇(euphol)存在于许多大戟属植物乳液中,在甘遂、狼毒和千金子中均有大量存在。
从无患子科植物无患子Sapindusmukorossi根中分离得到的sapimukoside A和sapimukoside B为两个新的大戟烷型三萜皂苷,其结构特点是13位为α-CH3,而14位为β-CH3。

(2)达玛烷型
达玛烷(dammarane)型四环三萜的结构特点是A/B、B/C、C/D环亦均为反式稠合,8和10位有β-构型的角甲基,而13位连有β-H,17位侧链为β-构型,C-20构型为R或S。
五加科植物人参Panax ginseng、三七P. notoginseng和西洋参P. quinquefolium等植物的根、茎、叶、花和果实中均含有多种人参皂苷 (gensenosides),其苷元绝大多数属于达玛烷型四环三萜。
酸枣仁是鼠李科植物酸枣Ziziphus jujuba成熟种子,具有养肝、宁心、安神的功效。从酸枣仁中分离出多种皂苷,其中有酸枣仁皂苷A和B(jujuboside A、B),酸枣仁皂苷A经酶解后失去一分子葡萄糖后转变为酸枣仁皂苷背B。它们的苷元酸枣仁皂苷元(jujubogenin)属于达玛烷型四环三萜。

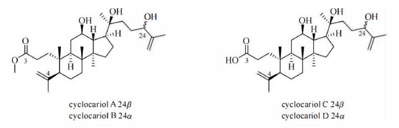
胡桃科青钱柳属植物青钱柳Cyclocarya paliurus叶具有养阴益肝、健脾化浊、调节血糖和血脂、改善糖尿病的功效,从该植物中发现了3,4-裂环达玛烷型三萜类化合物cyclocariols A~ D。

(3)葫芦素烷型
葫芦素烷(cucurbitanes)型三萜与羊毛脂甾烷型相似,但C-19甲基从C-10位迁移至C-9位,母核的A/B、B/C、C/D环分别呈反、顺、反式稠合,5-H、8-H、9-CH3为β取向,10-H为α取向。
葫芦素烷型三萜主要分布于葫芦科植物中,在十字花科、玄参科、秋海棠科、杜英科、四数木科等高等植物及一些大型真菌中也有发现。许多来源于葫芦科植物,如甜瓜蒂、丝瓜子、苦瓜、喷瓜等均含有此类成分,总称为葫芦素类(cucurbitacins)。
葫芦科植物罗汉果(Siraitia grosvenori)果实中的三萜皂苷的主要成分是罗汉果甜素V(mogroside V),具有清热润肺镇咳、润肠通便的功效,其味甜而不苦。它的0.02%水溶液比庶糖甜约256倍,可用作为一种低热量甜味剂用于食品工业。

(4)环菠萝蜜烷型
环菠萝蜜烷型又称环阿屯烷(cycloartane)型,其基本碳架与羊毛脂甾烷相似,差别在于10位上的甲基与9位脱氢形成三元环,且母核的A/B 、B /C、C/D环分别呈反、顺、反式稠合。
从中药黄芪(RadixAstragali)中分离的皂苷元绝大多数为环菠萝蜜烷型三萜,环黄芪醇(cycloastragenol)为其主要苷元。环黄芪醇在黄芪中以与糖结合成单糖链、双糖链或三糖链皂苷的形式存在,如黄芪皂苷Ⅰ-Ⅶ[ (astragalosidesⅠ-Ⅶ),其中黄苠皂苷Ⅳ又称黄芪甲苷(astragaloside Ⅳ),是黄芪的主要药效成分。

(5)原萜烷型
原萜烷(protostane)型三萜与达玛烷型相似,其结构特点是10和14位上有β-CH3,但8位上为α-CH3, C-20为S构型。
从泽泻Alisma orientale中分得的泽泻萜醇A和B(alisolA、B )属于原萜烷型三萜,可降低血清总胆固醇,用于治疗高脂血症。

(6)楝烷型
楝烷(meliacane)型三萜由26个碳构成,存在于楝科植物的果实及树皮中,具苦味,总称为楝苦素类成分。
川楝素(toosendanin)和异川楝素(isotoosendanin)是川楝Melia toosendan果实和树皮所含成分。川楝子和苦楝皮为驱蛔药,川楝素和异川楝素均有驱蛔作用,但川楝素的毒性远比异川楝素大。川楝子和苦楝皮在煎煮时,川楝素会部分地转化成异川楝素,而使毒性降低。

3、五环三萜
五环三萜(pentacyclictriterpenoids)类成分在植物中较为常见,主要的结构类型有以下几种。
(1)齐墩果烷型
齐墩果烷(oleanane)型又称β-香树脂烷(β-amyrane)型,在植物界分布广泛,主要分布在豆科、五加科、桔梗科、远志科、桑寄生科、木通科植物中。有的呈游离状态,有的以酯或苷的结合状态存在。其基本碳架是多氢蒎的五环母核,环的构型为A/B、B/C、C/D环均为反式稠合,而D/E环为顺式稠合。母核上有8个甲基,其中C-10 、C-8、C-17上的甲基均为β型,而C-14上的甲基为α型,C-4位和C-20位各有2个甲基。分子中还可能有其他取代基存在,如羟基、羧基、羰基和双键等。一般在C-3位有羟基,且多为β型,也有α型,如α-乳香酸(α-boswellic acid);若有双键,则多在C-11位或C-12位 ;若有羰基则多在C-11位;若有羧基则多在C-24、C-28、C-30位上。
齐墩果酸(oleanolic acid)最早是由木犀科植物木犀榄Olea europaea(习称齐墩果)的叶子中分离得到。该化合物是植物界广泛存在的一种三萜皂苷元,在有些植物中以游离形式存在,如青叶胆、女贞子、白花蛇舌草、柿蒂、连翘等,但大多数以苷的形式存在,如人参、三七、紫苑、柴胡、八月札、木通、牛膝、楤木等。其中,剌五加Acanthopanax senticosus、辽东楤木Aralia elata是很好的资源植物 ,从其中提取的齐墩果酸得率超过10%,纯度在95%以上。 齐墩果酸经动物实验证明有降转氨酶作用,对四氯化碳引起的大鼠急性肝损伤有明显的保护作用,能促进肝细胞再生,防止肝硬变,已用作治疗急性黄疽型肝炎和迁延型慢性肝炎的有效药物 。

商陆科植物商陆Phytolacca acinosa根中含有大量皂苷,药理实验表明,商陆皂苷能显著促进小鼠白细胞的吞噬功能,能对抗由抗癌药羟基脲引起的DNA转化率下降,并能诱生γ干扰素,其中商陆皂苷A~D( esculentosides A~D)的苷元均为商陆酸(esculentic acid)。

从菊科植物舌状紫苑Aster lingulatus中分离得到两个新的齐墩果烷型三萜皂苷,分别为舌状紫苑节A和B(asterlingulatoside A, B),这两个皂苷均有抗肿瘤活性,体外可抑制人类白血病HL-60细胞的DNA合成。

山茶科植物茶Camelliasinensis花的正丁醇提取物具有抑制小鼠血清三酰甘油升高的生物活性,从中发现三个酰化的齐墩果烷型三萜皂苷floratheasaponinsA~C的苷元如下图。

灯盏花科榄仁树属落叶乔木阿江榄仁Terminalia arjuna树皮能降压、降脂,显著提高肌力,保护心肌缺血性损伤。从该植物的树皮中发现了一系列的18,19 裂环齐墩果烷型三萜皂苷ariunasides A-E。

(2)乌苏烷型
乌苏烷(ursane)型又称α-香树脂烷(α-amyrane)型或熊果烷型。其分子结构与齐墩果烷不同之处是E环上2个甲基分别位于C-19位和C-20位。
此类化合物大多是乌苏酸的衍生物。乌苏酸(ursolic acid)又称熊果酸,是乌苏烷型的代表性化合物,在植物界分布较广,如在熊果叶、枙子果实、女贞叶、车前草、白花蛇舌草、石榴的叶和果实等中均有存在。该成分在体外对革兰阳性菌、阴性菌及酵母菌有抑制活性,能明显降低大鼠的正常体温,并有安定作用。 据报道,乌苏酸及其衍生物对P388白血病细胞、淋巴细胞白血病细胞Ll210、人肺癌细胞有显著的抑制活性。

伞形科植物积雪草Centella asiatica中含多种α-香树脂醇型的三萜成分,对小鼠、大鼠有镇静和安定作用。 从积雪草中提取的积雪草苷具有抑制瘢痕形成、促进创伤愈合、抗肿瘤、神经保护、抗焦虑、免疫调节等作用。

蔷薇科植物地榆Sanguisorba officinalis的根和根茎具有凉血止血、解毒敛疮的功效,除含有大最鞣质,还含有多种皂苷,其中地榆皂苷B和E(sanguisoubin B、E)是以乌苏酸为皂苷元的皂苷。

(3)羽扇豆烷型
羽扇豆烷(lupane)型与齐墩果烷型不同点是E环为五元碳环,且在E环19位有α-构型的异丙基取代,同时D/E环的构型为反式,并有双键。如存在于羽扇豆种皮中的羽扇豆醇 (lupeol)、酸枣仁中的白桦脂醇(betulin)、白桦脂酸(betulinic acid)等,桦树皮、石榴树皮、天门冬等植物中也含有白桦脂酸。

从忍冬科植物西南忍冬藤Lonicera bournei中得到两个新的羽扇豆烷型皂苷,分别为忍冬皂苷A和B。

桦木酸由于具有抗肿瘤活性近来引起重视。从藓类植物Adelanthus lindenbergianus中分离得到开链羽扇豆烷型桦木酸三萜A和B属于此类三萜。

(4)木栓烷型
木栓烷(friedelane)型在生源上是由齐墩果烯甲基移位演变而来,其结构特点是A/B、B/C、C/D环均为反式稠和,D/E环为顺式稠和,C-4、C-5、C-9、C-14位各有一个β-CH3取代;C-17位多为β-CH3,也有是-CHO、-COOH或-CHOH取代;C-13位有一个α-CH3;C-2、C-3位常有羰基取代。
卫矛科植物雷公藤Tripterygium wilfordii对类风湿病有独特疗效,从中已分离得到多种三萜类化合物,其中一类为木栓烷型,如雷公藤酮(triptergone)是由雷公藤去皮根中分离出的三萜化合物,是失去25位甲基的木栓烷型衍生物。
中药紫苑为菊科植物紫苑Aster tataricus的干燥根及根茎 ,具润肺下气、消痰止咳的功效。从中分离鉴定出三种木栓烷型三萜类化合物,其中紫苑酮(shionone)为主要有效成分。

(5)羊齿烷型
羊齿烷(fernane)型三萜可认为是羽扇豆烷型的异构体,E环上的异丙基从C-19位转移至C-2位上,而C-8位上的角甲基转到C-13位上。根据C-13、C-14位的构型的不同,又分为羊齿烷和异羊齿烷(isofernane)两种类型。前者13位的甲基为α取向,14位甲基为β取向,而后者13 位的甲基为β取向,14位甲基为α取向。
从禾本科植物白茅Imperatacylindrica的根茎中分得多种羊齿烷型和异羊齿烷型三萜成分,如芦竹素Carundoin)、羊齿烯醇(femenol)和 白茅素Ccylindrin)等。前两者为羊齿烷型,后者为异羊齿烷型。

(6)何帕烷
何帕烷(hopane)型三萜为羊齿烷型的异构体。两者的区别在于何帕烷型的C-8位有一甲基,而羊齿烷型C-8位甲基移至C-13位。该类三前者根据C-22位异丙基构型的不同,以及Me-28的位置又分为何帕烷型、异何帕烷(isohopane)型和新何帕烷(neohopane)型。何帕烷型C-22位异丙基为α取向,异何帕烷型C-22位异丙基为β取向,而新何帕烷型Me-28迁移到C-17位。

(7)其他类型
也有C环为七元环的三萜类化合物,如石松科植物东北石松Lycopodiumclavatum中的石松素(lycoclavanin)和石松醇(lycoclavanol)。

三、三萜类化合物的理化性质
1、物理性质
(1)性状
游离三萜类化合物多为无色或白色结晶,而三萜皂苷类化合物由于糖分子的引入,极性增大,不易结晶,多为无色或白色无定形粉末,仅少数为晶体,如常春藤皂苷为针状结晶。
皂苷多数具有苦而辛辣味,其粉末对人体黏膜有强烈刺激性,尤其鼻内黏膜最为灵敏,吸入鼻内能引起喷嚏。皂苷大多具有吸湿性。
(2)熔点与旋光度
游离三萜类化合物多有固定的熔点,有羧者熔点较高。 皂苷的熔点都较高,部分皂苷在熔融前就分解,因此无明显熔点,一般测得的大多是分解点。三萜类化合物均有旋光性。
(3)溶解性
大多数皂苷极性较大,可溶于水,易溶于热水、烯醇、热甲醇和热乙醇中,难溶于苯、*醚乙**、*酮丙**等极性较小的有机溶剂,皂苷在含水丁醇或戊醇中溶解度较好,因此实验室中常用含水正丁醇作为提取皂苷的溶剂。次级苷在水中溶解度降低,易溶于低级醇、*酮丙**、乙酸乙酯中。皂苷元极性较小,不溶于水而易溶于石油醚、苯、三氯甲烷、*醚乙**等极性小的溶剂中。皂苷具有助溶性,可促进其他成分在水中的溶解。
(4)发泡性
由于皂苷可降低水溶液表面张力,皂苷的水溶液经强烈振摇能产生持久性的泡沫,且不因加热而消失,可与其他物质产生的泡沫进行区别。有些皂苷可作为清洁剂和乳化剂应用。皂苷的表面活性与其分子内部亲水性和亲脂性结构的比例相关,只有当两者比例适当,才能较好发挥出这种特性。某些皂苷由于亲水性强于亲脂性或亲脂性强于亲水性,就不呈现这种活性或只有微弱的泡沫反应。
2、化学性质
(1)颜色反应
三萜类化合物在无水条件下,与强酸(硫酸、磷酸、高氯酸)、中等强酸(三氯乙酸)或Lewis酸(氯化锌、三氯化铝、三氯化梯)作用,产生颜色变化或荧光。具体作用原理还不清楚,可能是分子中的羟基脱水、脱羧、氧化、缩合、双键移位等反应生成共轭双烯系统,在酸的继续作用下形成阳碳离子而呈色。因此,饱和的、3位无羟基或羰基基的化合物多呈阴性反应。具有共轭双键的化合物呈色快,孤立双键的呈色较慢。
乙酸酐-浓硫酸(Liebermann-Burchard)反应:将样品溶于三氯甲烷或乙酸中,加浓硫酸-乙酸酐(1 : 20)数滴,呈黄-红-紫-蓝等颜色变化,最后褪色。
五氯化锑(Kahlenberg)反应:将样品三氯甲烷或醇溶液滴在滤纸上,喷20%五氯化锑的氯仿溶液(或三氯化锑的饱和三氯甲烷溶液),干燥后60~70°C加热,显蓝色、灰蓝色、灰紫色等多种颜色。
三氯乙酸(Rosen-Heimer)反应:将样品溶液滴在滤纸上,喷25%三氯乙酸溶液,加热至100°C,显红色渐变为紫色。
三氯甲烷—浓硫酸(Salkowski)反应:将样品溶于三氯甲烷中,加入浓硫酸后,硫酸层呈红色或蓝色,氯仿层有绿色荧光。
冰乙酸-乙酰氯(Tschugaeff)反应:将样品溶于冰乙酸中,加乙酰氯数滴及氯化锌结晶数粒,稍加热,显淡红色或紫红色。
(2)沉淀反应
皂苷的水溶液可以和一些金属盐类如铅盐、钡盐、铜盐等产生沉淀。
(3)皂苷的水解
皂苷可采用酸水解、酶水解、乙酰解、Smith降解等方法进行水解。选择合适的水解方法或通过控制水解的具体条件,可以使皂苷完全水解,也可使皂苷部分水解。
酸水解:皂苷酸水解的速度与苷元和糖的结构有关,对于含有2个以上糖单元的皂苷,由于各个苷键对酸的稳定性不同,因而可通过改变酸的浓度或水解反应的温度和时间得到不同的次级皂苷。有些三萜皂苷在酸水解时,易引起皂苷元发生变化而得不到原始苷元,此时可采用两相酸水解、酶水解或Smith降解等方法以获得原苷元,如人参皂苷、黄芪皂苷的水解。
酶水解:某些皂苷对酸碱均不稳定,用Smith降解也易被破坏,可采用酶水解。
乙酰解:将化合物的全乙酰化物在BF3催化下用乙酸酐使苷键裂解,得到全乙酰化糖和全乙酰化苷元。
Smith降解:Smith降解条件很温和,许多在酸水解条件下不稳定的皂苷元都可以用Smith降解获得真正的苷元,如人参苷节的水解。
糖醛酸苷键的裂解:对难水解的糖醛酸苷除常规方法外,需采用一些特殊的方法,如光解法、四乙酸铅-乙酸酐法、微生物转化法等。
酣苷键的水解:含有酯苷键的皂苷,可用碱水解方法选择性地断裂酯苷键,而不影响醇苷键。皂苷的酯苷键一般可在NaOH/H2O中回流一定时间使其水解,但在此条件下,水解得到的糖常伴有分解反应,因此一些较容易水解的酯苷键可以用5mol/L的*水氨**水解。
3、溶血作用
皂苷的水溶液大多能破坏红细胞而有溶血作用,若将其水溶液注射进入静脉中,毒性极大,低浓度水溶液就能产生溶血作用,因此皂苷通常又称为皂毒类(sapotoxins)。皂苷的水溶液肌内注射易引起组织坏死,口服则无溶血作用,可能与其在肠胃不被吸收有关。各类皂苷的溶血作用强弱不同,可用溶血指数表示。 溶血指数是指在一定条件(等渗、缓冲及恒温)下使同一动物来源的血液中红细胞完全溶血的最低浓度,如甘草皂苷的溶血指数为1 : 4000,薯预皂苷的溶血指数为1 : 400000。
皂苷的溶血作用是因为多数皂苷能与胆甾醇(cholesterol)结合生成不溶性分子复合物所致。
当皂苷水溶液与红细胞接触时,红细胞上的胆甾醇与皂苷结合,生成不溶于水的复合物沉淀,破坏了红细胞的正常渗透压,使细胞内渗透压增加发生崩解,从而导致溶血现象。但并不是所有的皂苷都具有溶血作用,如人参总皂苷没有溶血现象,但经分离后,以原人参三醇及齐墩果酸为苷元的人参皂苷具有显著的溶血作用,而以原人参二醇为苷元的人参皂苷则有抗溶血作用。
此外,植物提取液中一些其他成分也有溶血作用,如某些植物的树脂、脂肪酸、挥发油等可产生溶血作用,鞣质则能凝集血细胞而抑制溶血。要判断是否是由皂苷引起的溶血,除进一步提纯后再试验外,还可以结合胆甾醇沉淀法,如沉淀后的滤液无溶血现象,而沉淀分解后有溶血活性,则表示确系由皂苷引起的溶血作用。
四、三萜类化合物的提取与分离
通常可根据三萜类化合物的溶解度不同而采用极性不同的溶剂进行提取。 例如,游离三萜类化合物可用极性小的溶剂如氯仿、*醚乙**等提取,而三萜皂苷则用极性较大的溶剂如甲醇、乙醇等进行提取,三萜酸类可用碱溶酸沉法提取等。
三萜类化合物可采用沉淀法进行分离,如分段沉淀法、胆甾醇沉淀法等,但目前应用最多且分离效果较好的仍是色谱法。
1、三萜类化合物的提取
(1)醇类溶剂提取法
三萜皂苷常用醇类溶剂提取。若皂苷含有羟基、羧基等极性基团较多,亲水性强,用烯醇提取效果较好。该法为目前提取皂苷的常用方法,其提取流程如下。

(2)酸水解有机溶剂萃取法
将植物原料在酸性溶液中加热水解,过滤,药渣水洗后干燥,然后用有机溶剂提取出皂苷元。也可先用醇类溶剂提取出皂苷,然后加酸水解,滤出水解物,再用有机溶剂提取出皂苷元。
(3)碱水提取法
某些皂苷含有羧基,可溶于碱水,因此可用碱溶酸沉法提取。
(4)其他方法
如半仿生提取法、超临界流体萃取法(SFE)、超声循环技术等。
2、三萜类化合物的分离
由于三萜皂苷的极性较大,亲水性较好,不易与杂质分离,且有些皂苷结构比较相似,因此目前普遍采用色谱分离法以获得三萜皂苷类化合物的单体。用色谱法分离三萜类化合物通常采用多种色谱法组合的方法,即一般先通过硅胶柱色谱进行分离,再结合低压或中压柱色谱、薄层制备色谱、制备高效液相色谱或凝胶色谱等方法进一步分离。在进行硅胶柱色谱分离前,多先用大孔树脂柱进行初步分离。对于连接糖链较多的皂苷,多用凝胶柱色谱,如SephadexLH-20等。
此外,还可用分段沉淀法、胆甾醇沉淀法、干柱快速色谱、高速逆流色谱CHSCCC)等方法进行分离。
五、含皂苷的植物实例
1、人参
人参为五加科植物人参Panax ginseng C. A. Mey.的干燥根及根茎,是传统名贵中药,始载于我国现存第一部本草专著《神农本草经》。人参具有大补元气、复脉固脱、补脾益肺、生津安神等功效,是常用的滋补强壮药。人参属植物有13 种,其中人参主要分布在中国东北地区、朝鲜半岛和日本。栽培者称为"园参",野生者称为“山参"。依其炮制加工方法不同,又分为生晒参(白参)、红参、糖人参和冻干参(活性参)。人参含有多种类型的化学成分,如皂苷类、多糖类、多肽类、脂肪酸、氨基酸、聚乙炔醇类等,其主要活性成分为人参皂苷,目前已分离并确定结构的皂苷成分计40余种。
人参叶为人参的干燥叶,化学成分研究表明人参叶中亦含有大量的人参皂苷,具有较好的药效,目前人参叶已被《中国药典》收载。
《中国药典》以人参皂苷为指标成分,对人参和人参叶进行鉴别和含量测定。 要求人参按干燥品计算,含人参皂苷Rg1和人参皂苷Re的总量不得少于0.30%,人参皂苷Rb1不得少于0.20%。人参叶按干燥品计算,含人参皂苷Rb1和人参皂苷Re的总量不得少于2.25%。
(1)人参皂苷的结构类型
人参的主根、须根、芦头、茎、叶、花蕾、果实等部位中都含有多种人参皂苷(ginsenosides)。根据皂苷元的结构分为A、B、C三种类型。
人参二醇型-A型

人参三醇型-B型

齐墩果酸型-C型

A 型和 B 型人参皂苷元为达玛烷型四环三帖,在达玛烷骨架的3位和12 位具有羟基取代,C-20为S构型。 A型与B型的区别在于6位碳上是否有羟基取代,6位无羟基者为A型,6位有羟基取代者为B型。C型皂苷的苷元为齐墩果烷型五环三萜。
近年来,从人参中发现的一些新化合物大多是原人参二醇或三醇型侧链的衍生化或糖部分乙酰化或丙二酰化产物。 例如,人参皂苷Rh3为Rh2中C20、C22的脱水产物,由于极性比Rh1、Rh2低,故称为Rh3。
现代药理研究表明,三种不同类型的人参皂苷的生物活性有显著差异。原人参二醇型皂苷类如Rb1和Rb2表现为中枢抑制作用和抗氧化作用;原人参三醇型皂苷类如Rg1表现为中枢兴奋、易化学习记忆,促进蛋白质、DNA和RNA合成,Rh2对肿瘤细胞增殖有抑制作用;齐墩果烷型皂苷类如Ro具有抗炎、解毒、抗血栓作用。
(2)水解反应
A型和B型人参苷节用酸加热水解时,从水解产物中得不到原皂苷元。这是由于这些皂苷元的性质不太稳定,当皂苷用酸水解时,苷元C-20易由S构型转变为R构型,继之发生侧链环合,20-0H上H加到侧链双键含氢较多的碳上,而20-0H上的0加到侧链双键含氢较少的碳上,生成了异构化产物人参二醇和人参三醇。反应过程如下:

因此欲得到原皂苷元,须采用缓和的方法进行水解,如酶水解或Smith降解法等。
(3)人参皂苷的提取分离
人参皂苷一般采用醇溶剂提取,硅胶柱色谱分离,流程如下:

2、甘草
甘草为豆科植物甘草Glycyrrhizauealensis Fisch,胀果甘草G. inflata Bat.或光果甘草G.glabra L.的干燥根及根茎。主产于内蒙古、山西、甘肃、*疆新**等地。甘草具有补脾益气、清热解毒、祛痰止咳、缓急止痛、调和诸药的功效。用于脾胃虚弱,倦怠乏力,心悸,气短,咳嗽痰多,肘肿疮毒,缓解药物毒性等。近年来研究表明,甘草具有较强的抗溃疡、抗炎、抗变态反应作用,临床上用于治疗急慢性病毒性肝炎等。
甘草主要化学成分是具有甜味的皂苷--甘草皂苷(glycyrrhizin),因此又称其为甘草甜素。
甘草皂苷是由皂苷元18-β-甘草次酸及2分子葡萄糖醛酸组成,甘草皂苷又称为甘草酸。甘草皂苷的水溶液有微弱的起泡性及溶血性。甘草皂苷可以钾盐或钙盐形式存在于甘草中,其盐易溶于水,在水溶液中加稀酸即可析出游离的甘草酸,这种沉淀又极易溶于稀*水氨**中,故可作为甘草皂苷的提纯方法。甘草除含有甘草皂苷和甘草次酸外,尚存在其他类型的三萜皂苷类、黄酮类、生物碱类及多糖类成分。
《中国药典》将甘草酸和甘草苷作为甘草的指标成分,分别采用甘草酸铵和甘草苷作为对照品。要求含甘草苷不得少于0.50%,甘草酸不得少于2.0%。
甘草皂苷与5%稀硫酸在加压下,110~120°C进行水解,生成 2分子葡萄糖醛酸及1分子甘草次酸。

药理研究表明,甘草酸和甘草次酸都具有促肾上腺皮质激素(ACTH)样的生物活性,临床用作抗炎药,用于胃溃疡病的治疗,通过药理研究还发现,甘草酸除有抗变态反应外,并有非特异性的免疫加强作用,同时能对抗CCl4对肝脏的急性损伤作用。
甘草皂苷的含量随品种和产地而不同,在5%~11%。
甘草酸单钾盐的提取与精制:甘草酸不易精制,需制成钾盐才能进一步精制。

甘草酸的水解与甘草次酸的制备

3、柴胡
柴胡为伞形科柴胡属植物柴胡的干燥根。具有发表和里、疏肝解郁、止痛升阳的功效,临床上常用于治疗感冒发热、胸胁胀痛、月经不调、脱肛等症。
现代研究表明,柴胡中含有三萜皂苷、木脂素、黄酮挥发油及多糖类化合物。 其中,柴胡皂苷(含量1.6%~3.8%)已被证明有解热、镇痛、镇咳、抗炎等作用,是柴胡的主要有效成分。至今从柴胡属植物中已分离出近100个三萜皂苷,均为齐墩果烷型。这些皂苷根据双键的位置可以分为五种,主要结构类型和代表性化合物的结构如下。


柴胡总皂苷为无定形粉末,具有皂苷的一般性质,能溶于热水,易溶于甲醇、乙醇、正丁醇、吡啶,难溶于苯、三氯甲烷、*醚乙**等有机溶剂。柴胡皂苷(saikosaponin)主要有a、d、c三种,其中柴胡皂节 a、d 含鼠最高,具有明显的抗炎和降血脂功能,代表柴胡主要药理作用,柴胡皂背 c无此作用。
《中国药典》以柴胡皂苷a和柴胡皂苷d为指标成分对柴胡进行鉴别和含量测定,要求柴胡皂苷a和柴胡皂苷d 的总量不得少于0.30%。
柴胡总皂苷一般采用5%吡啶-甲醇提取,浓缩液经正丁醇萃取回收正丁醇后利用*醚乙**沉淀的方法进行初步分离。粗皂苷可用热的乙酸乙酯去除脂溶性成分后用硅胶柱色谱或制备薄层色谱分离。

4、黄芪
黄芪为豆科植物蒙古黄芪Astragalus membranaceus (Fisch.) Bge. var. mongholicus (Bge.) Hsiao或膜荚黄芪Astragalus membranaceus (Fisch.) Bge. 的干燥根。其性微温,可入肺经和脾经,具有补气健脾、升阳举陷、益卫固表、利尿消肿等功效。 现代药理研究表明,黄芪具有增强和调节人体免疫功能、抗菌、抗心律失常、调节血糖和血脂、保肝和利尿等作用。黄芪的化学成分复杂,主要含皂苷、黄酮、多糖及氨基酸等成分。目前,已经从黄芪及其同属近缘植物*共中**分离出40余种三萜皂苷,其结构为四环三萜或五环三萜苷类,成苷的糖多为葡萄糖、半乳糖、鼠李糖,一般连接苷元3位和6位。
黄芪甲苷即黄芪皂苷Ⅳ(astragaloside Ⅳ)是Ⅳ中主要生物活性成分,具有抗炎、降压、镇痛、镇静作用,并能促进肝脏DNA再生和调节机体免疫力的作用。 结构上属于环菠萝蜜烷型四环三萜皂苷,其分子式C41H68014,分子量784, mp 295~296°C。其在酸性条件下水解时,除获得皂苷元环黄芪醇外,同时亦获得黄芪醇(astragenol),这是由于环黄芪醇结构中3元环极易在酸水解时开裂,生成具有特色次生产物黄芪醇。因此,为避免环的开裂,一般采用两相酸水解或酶水解。

《中国药典》以黄芪甲苷为指标成分对黄芪进行定性鉴别,以黄芪甲苷和毛蕊异黄酮葡萄糖苷为指标成分对黄芪进行含量测定,要求黄芪甲苷不得少于0.040%,毛蕊异黄酮葡萄糖苷不得少于0.020%。
5、三七
三七为五加科植物三七Panax notoginseng (Burk. ) F. H. Chen的根和根茎。 又名田七、人参三七、田三七、山漆等。三七味甘、微苦,性温,归肝、胃、心、小肠经,具有止血、散瘢、消肿、止痛、补虚、强壮等功效,主治咯血、衄血、外伤出血、跌打肿痛等,近年来用于治疗冠心病、糖尿病、心绞痛及抗血栓等。
三七中主要的生物活性成分是三萜皂苷,含最高达12%,其结构类型绝大多数属于达玛烷型四环三萜皂苷,结构特点是C-8位有角甲基,为β-构型;C-13位有β-H;C-17位有β-侧链,C-20构型是S型。三七皂苷根据其6位碳上是否有羟基分为人参二醇型皂苷和人参三醇型皂苷。人参二醇型皂苷的苷元为20(S)-原人参二醇,人参三醇型皂苷的苷元为20(S)-原人参三醇。三七皂苷R1结构如下。

《中国药典》以人参皂苷Rg1、人参皂苷Rb1及三七皂苷R1为指标成分对三七进行含量测定,要求含人参皂苷Rg1、人参皂苷Rb1及三七皂苷R1的总量不得少于5.0%。 在定性鉴别部分药典又增加人参皂苷Re作为检测指标,保证药材的质量。
6、*欢合**皮
*欢合**皮为豆科植物*欢合**Albizia julibrissin Durazz. 的干燥树皮。 性味甘、平。 具有解郁、和血、宁心、消肿的功效,用于治疗心神不安、忧郁、失眠、肺痈、肘肿、瘰疬、筋骨折伤。
三萜皂苷是*欢合**皮极性部分的主要成分。从*欢合**属植物中分离得到皂苷的结构类型大多为五环三萜类齐墩果烷型衍生物,且大多数具有3、16、21位羟基和28位羧基,特征是21位羟基连有单萜酸酯;其糖苷有单糖链苷、双糖链节和三糖链苷,所接的糖主要有葡萄糖、木糖、阿拉伯糖、鼠李糖、鸡纳糖等。主要母核结构式如下:

《中国药典》以(-)-丁香树脂酚-4-0-β-D-呋喃芹糖基-(l-2)-β-D-吡喃葡萄糖苷为指标成分对*欢合**皮进行含量测定,要求含(-)-丁香树脂酚-4-0-β-D-呋喃芹糖基-(l-2)-β-D-吡喃葡萄糖苷不得少于0.030%。
7、商陆
商陆为商陆科植物商陆Phytolacca acinosa Roxb.或垂序商陆P. americana L. 的干燥根。具有逐水消肿、通利二便的功效,外用可以解毒散结。主治水肿胀满,二便不通及外治厮肿疮毒等。临床上多用其治疗乙型肝炎、银屑病和过敏性紫殿等疾病。
商陆的特征性化学成分是三萜皂苷,还有黄酮、酚酸、甾醇、多糖等成分。 目前,已经从商陆中分离得到21个三萜皂苷元和42种三萜皂苷,且均为齐墩果烷型(分属五种母核类型)。
《中国药典》以商陆皂苷甲为指标成分对商陆进行鉴别和含最测定,要求含商陆皂苷甲不得少于0.15%。