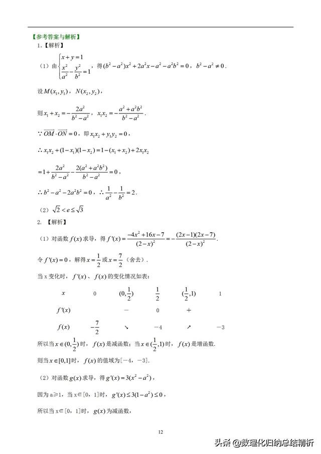
本文节选自高考数学总复习归纳总结精析
【高考展望】
1.数学解答题是高考数学试卷中的一类重要题型,这些题涵盖了中学数学的主要内容,具有知识容量大、解题方法多、能力要求高、突显数学思想方法的运用以及要求考生具有一定的创新意识和创新能力等特点。
2.解答题综合考查学生的运算能力、逻辑思维能力、空间想象能力和分析问题、题解决问题的能力,分值占试卷的一半左右,主要分六块:三角函数(或与平面向量交汇)、函数与导数(或与不等式交汇)、概率与统计、解析几何(或与平面向量交汇)、立体几何、数列(或与不等式交汇)。
3.从历年高考题看,这些题型的命制都呈现出显著的特点和解题规律,从阅卷中发现考生“会而得不全分”的现象大有人在。针对以上情况,在高考数学备考中认真分析这些解题特点及时总结出来,这样有针对性的进行复习训练,能达到事半功倍的效果.
【方法点拨】
1.求解解答题的一般技巧
解答题是高考数学试卷的重头戏,占整个试卷分数的半壁江山。在解答解答题时,应注意正确运用解题技巧.
(1)对会做的题目:要解决“会而不对,对而不全”这个老大难的问题,要特别注意表达准确,考虑周密,书写规范,关键步骤清晰,防止分段扣分.解题步骤一定要按教科书要求,避免因“对而不全”失分.
(2)对不会做的题目:对绝大多数考生来说,更为重要的是如何从拿不下来的题目中分段得分.有什么样的解题策略,就有什么样的得分策略.对这些不会做的题目可以采取以下策略:
①缺步解答:如遇到一个不会做的问题,将它们分解为一系列的步骤,或者是一个个小问题,先解决问题的一部分,能解决多少就解决多少,能演算几步就写几步.特别是那些解题层次明显的题目,每一步演算到得分点时都可以得分,最后结论虽然未得出,但分数却可以得到一半以上.
②跳步解答:解题过程卡在某一过渡环节上是常见的.这时我们可以先承认中间结论,往后推,看能否得到结论.若题目有两问,第(1)问想不出来,可把第(1)问的结论当作“已知”,先做第(2)问,跳一步再解答.
③辅助解答:一道题目的完整解答,既有主要的实质性的步骤,也有次要的辅助性的步骤.实质性的步骤未找到之前,找辅助性的步骤是明智之举.如:准确作图,把题目中的条件翻译成数学表达式,根据题目的意思列出要用的公式等.罗列这些小步骤都是有分的,这些全是解题思路的重要体现,切不可以不写,对计算能力要求高的,实行解到哪里算哪里的策略.书写也是辅助解答,“书写要工整,卷面能得分”是说第一印象好会在阅卷老师的心理上产生光环效应.阅卷老师都喜欢“锦上添花”而不喜欢“雪中送炭”。
④逆向解答:对一个问题正面思考发生思维受阻时,用逆向思维的方法去探求新的解题途径,往往能得到突破性的进展.顺向推有困难就逆推,直接证有困难就反证.
2.求解解答题的一般步骤
第一步:(弄清题目的条件是什么,解题目标是什么?)这是解题的开始,一定要全面审视题目的所有条件和答题要求,以求正确、全面理解题意,在整体上把握试题的特点、结构,多方位、多角度地看问题,不能机械地套用模式,而应从各个不同的侧面、角度来识别题目的条件和结论以及图形的几何特征与数学式的数量特征之间的关系,从而利于解题方法的选择和解题步骤的设计.
第二步:(探究问题已知与未知、条件与目标之间的联系,构思解题过程.)根据审题从各个不同的侧面、不同的角度得到的信息,全面地确定解题的思路和方法.要注意“熟题找差异,生题找联系”。
第三步:(形成书面的解题程序,书写规范的解题过程.)解题过程其实是考查学生的逻辑推理以及运算转化等能力.评分标准是按步给分,也就是说考生写到哪步,分数就给到哪步,所以卷面上讲究规范书写.
第四步:(反思解题思维过程的入手点、关键点、易错点,用到的数学思想方法,以及考查的知识、技能、基本活动经验等.)(1)回头检验——即直接检查已经写好的解答过程,一般来讲解答题到最后得到结果时有一种感觉,若觉得运算挺顺利则好,若觉得解答别扭则十有八九错了,这就要认真查看演算过程.(2)特殊检验——即取特殊情形验证,如最值问题总是在特殊状态下取得的,于是可以计算特殊情形的数据,看与答案是否吻合.
视频加载中...
















更多精彩内容

