大家都喜欢饮茶,多说茶叶香味好、好喝,还有着各种各样的有益健康的成分。那么具体成分有哪些,其含量分别又有多少呢?
今天我们就来分享下:

鲜叶所含物质
鲜叶之中,水分约占75%~78%左右,其他物质占22%~25%左右。
具体水分含量,随着茶叶大小、老嫩程度不同、茶树品种不同、采摘季节不同、采摘时具体天气不同等因素上下波动。
一般来说,细嫩叶片、小叶种茶树叶片含水量较高,春季、夏季茶叶鲜叶含水量较高、雨季采摘含水量较高;粗老叶片、大叶种茶树叶片、秋季、旱季以及晴天采摘鲜叶含水量较低。

干茶所含物质
干茶之中,除水份外,各类物质占比如下:
1.茶多酚类物质
茶多酚是茶叶之中化合物的一个大类总称,下面包含了许多种多酚类物质。
茶多酚类物质在干茶之中占比约为20%~35%左右。
其中,儿茶素约占茶多酚类物质总量的70%左右。
茶多酚类物质是茶叶内主要的有益物质,对于身体健康有一定的益处,是一种天然的抗氧化剂,可以清除身体过多的自由基,提高人体抗氧化能力,延缓衰老,预防多种疾病。
在口感滋味上,茶多酚天然自带苦涩滋味,是茶汤之中苦涩滋味的主要来源之一。

2.蛋白质
茶叶之中含有多种蛋白质,蛋白质在干茶之中的占比约为20%~30%左右。
但是,茶叶之中所含多种蛋白质之中,只有一小部分能够溶于水,被茶汤顺利溶出,然后被我们喝进口中。这一小部分水溶性蛋白质含量极少,约占1%~2%左右。
它是茶汤滋味的主要形成因素之一。

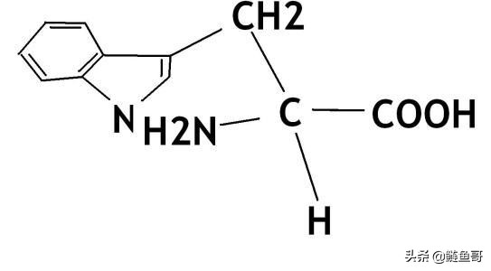
3.氨基酸
茶叶之中含有多种氨基酸成分,氨基酸在干茶之中的占比约为1%~4%左右。
众多氨基酸成分之中,以茶氨酸的含量最高。氨基酸对身体健康也有一定益处,可以提高身体免疫能力等。
在口感滋味上,氨基酸天然自带鲜爽滋味,是茶汤之中鲜味的主要来源之一。

4.生物碱
茶叶之中含有许多生物碱成分,生物碱在干茶之中的占比约为2%~5%左右。
茶叶中的生物碱主要包括咖啡碱、可可碱等。生物碱能够提神醒脑、保护心血管系统、刺激胃酸分泌以及利尿。
在口感滋味上,生物碱天然自带苦涩味,是茶汤之中苦涩滋味的主要来源之一。

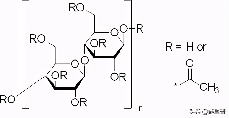
5.糖类
茶叶之中含有多种糖类物质,糖类物质在干茶之中的占比约为20%~25%左右。
茶叶中的糖类物质主要包括单糖、多糖等,其极易溶于水,容易被冲泡溶出。
单糖天然自带来甜味。
多糖自身没有甜味,但是经过身体内的酶的转化,多糖可以转化成二糖,二糖具有明显甜味。比如,茶叶之中所含淀粉一类多糖,在口中被唾液淀粉酶转化分解,合成出麦芽糖,麦芽糖具有甜味。
果胶也是多糖类物质,虽然没有直接直接带来甜味。但是由于其自身特性,可以使得茶汤变得醇厚黏稠,是决定茶汤厚度的关键因素之一。
在口感滋味上,糖类物质所带来(转化来)的甜味,是茶汤之中甜味的主要来源之一。

6.有机酸
茶叶之中含有多种有机酸物质,有机酸物质在干茶之中的占比约为3%左右。
在口感滋味上,有机酸物质天然自带一定的酸味,是茶汤之中酸味的来源之一。并且,还是茶叶茶香的主要成分之一。

7.类脂类物质
茶叶之中含有多种类脂类物质,类脂类物质是天然大分子有机化合物,在干茶之中的占比约为8%左右。
茶叶之中所含类脂类物质,包含脂肪、磷脂、甘油酯等。
其带有一定芳香气味,是茶叶茶香的主要成分之一。

8.色素类
茶叶之中含有多种色素类物质,在干茶之中的占比约为1%左右。
茶叶之中含有的色素类物质,主要分为脂溶性色素和水溶性色素。
叶绿素、叶黄素、胡萝卜素等色素为脂溶性,不溶于水,不易被茶汤冲泡溶出。
黄酮类物质、花青素、茶黄素、、茶褐素、茶红素等色素为水溶性,易溶于水,易被茶汤冲泡溶出。
茶叶之中所含的色素类物质,是决定茶叶本身和茶汤颜色的主要成分之一。

9.芳香类物质
茶叶之中含有多种芳香类物质,在干茶之中的占比约为0.02%左右。
茶叶之中含有的芳香类物质,主要以醇类化合物为主,它是茶叶茶香的主要成分之一。

10.维生素类物质
茶叶之中所含多种维生素类物质,在干茶之中的占比约为0.6%~1%左右。
茶叶之中所含维生素类物质,也分为脂溶性和水溶性两种。
维生素A、D、E、K等为脂溶性。
维生素B1、B2、B3、B5、B11、C、P等以及肌醇为水溶性。
所有维生素之中以维生素C含量最高,是茶叶之中的重要营养成分。

11.无机物
茶叶之中所含无机物,在干茶之中占比约为3.5%~7%左右。
茶叶之中所含无机物,多为烘干之后形成的灰分物质。
无机物主要就是一些无用的物质,类似于灰尘、残渣等物质。是茶汤之中茶尘的主要成分之一,同时也是影响茶叶品种的重要因素之一,含量越少越好。

总结
以上就是茶叶之中所含物质的大体类别和具体含量。
由此可见,决定茶叶色、香、味等重要成分分别为:茶多酚类物质、蛋白质、氨基酸、糖类、生物碱、色素类、有机酸、类脂类、芳香类等物质。
色:色素类物质。(约占干茶总量的0.5%~1%)
香:类脂类物质、芳香类物质。(约占干茶总量的5%~8%)
味:茶多酚类物质、蛋白质、氨基酸、糖类、生物碱、有机酸等物质。(约占干茶总量的64%~90%)
完
茶也醉人?
有茶梗的黑茶,才是好黑茶
黑茶不为人知的小秘密