此文属于工具类文章(8000字+),内容比较长,建议先收藏
PS:此文由格菲研究四师兄Jeffrey(头条号:我爱估值)整理,属于教科书性质,了解具体案例应用可以粉我们哦~~~

估值方法
公司估值方法是上市公司基本面分析的重要利器,在“基本面决定价值,价值决定价格” 基本逻辑下,通过比较公司估值方法得出的公司理论股票价格与市场价格的差异, 从而指导投资者具体投资行为。
公司估值方法比较
一类为相对估值法,特点是主要采用乘数方法,较为简便,如PE估值法、PB估值法、PEG估值法、EV/EBITDA估值法。
另一类为绝对估值法,特点是主要采用折现方法,较为复杂,如现金流量折现方法、期权定价方法等。
1、公司估值
如何为你的公司估值 虽然无论多么详细的全面估价都不能决定你公司的实际市场价值,这只能由买卖双方来商定。
但是,你应该清楚你的公司到底值多少钱。这将让你在谈判过程中胸有成竹得心应手。
当你决定出售你辛苦打拼出来的公司时,以什么样的价格出售就成为一个焦点。
在这个过程中,开过高的价格会吓跑买家,价格太优惠又对不起自己。只有一个合理的价格才能尽力缩短买、卖双方的议价时间。
虽然给公司估值是件困难的事情,但是,这仍然是每个待售企业必须做的事情。
2、IPO估值
将公司价值予以量化的过程即为公司定价。
在完全市场化的条件下,IPO定价通常是在利用模型或数量分析确定公司价值的基础上再通过发售机制来确定影响价格的因素(如市场需求情况)以最终确定价格。
其中,公司价值评估是IPO定价的基础,即采取定量分析的方法,运用估值模型计算得出公司股票的内在价值,以此作为发行定价的理论依据。
西方经过多年实践及理论研究,形成了较为成熟的估价方法及估价模型,较为常用的是现金流贴现模型、可比公司模型与期权定价模型。
3、DCF模型现金流量贴现法
现金流量贴现法就是把企业未来特定期间内的预期现金流量还原为当前现值。
由于企业价值的真髓还是它未来盈利的能力,只有当企业具备这种能力,它的价值才会被市场认同,因此理论界通常把现金流量贴现法作为企业价值评估的首选方法,在评估实践中也得到了大量的应用,并且已经日趋完善和成熟。
公式:

4、CAPM模型资本资产定价模型
CAPM是诺贝尔经济学奖获得者威廉·夏普(William Sharpe) 于1970年在他的著作《投资组合理论与资本市场》中提出的。他指出在这个模型中,个人投资者面临着两种风险:
系统性风险(Systematic Risk)
非系统性风险(Unsystematic Risk)
资本资产定价模型的目的是在协助投资人决定资本资产的价格,即在市场均衡时,证券要求报酬率与证券的市场风险(系统性风险)间的线性关系。
市场风险系数是用β值来衡量.资本资产(资本资产)指股票,债券等有价证券。
CAPM所考虑的是不可分散的风险(市场风险)对证券要求报酬率之影响,其已假定投资人可作完全多角化的投资来分散可分散的风险(公司特有风险),故此时只有无法分散的风险,才是投资人所关心的风险,因此也只有这些风险,可以获得风险贴水。
公式:

5、FCF模型绝对估值法
自由现金流量等于企业的税后净经营利润(Net Operating Profit less Adjusted Tax, NOPAT,)
即将公司不包括利息费用的经营利润总额扣除实付所得税税金之后的数额)加上折旧及摊销等非现金支出,再减去营运资本的追加和物业厂房设备及其他资产方面的投资。
其经济意义是:公司自由现金流是可供股东与债权人分配的最大现金额。
公式:
公司自由现金流量(FCFF) =(税后净利润 + 利息费用 + 非现金支出)- 营运资本追加 - 资本性支出
6、电影版权评估
基于电影版权的标准指标
基于电影版权市场化的调整指标
基于电影版权持有人的安全性指标
7、贴现现金流
贴现现金流是用来评估一个投资机会的吸引力的方法。
指将未来某年的现金收支折算为目前的价值。
未来现金流的现值必须通过重新计算(折算)来确定。如此,一个公司或计划项目才能够被准确估值。
贴现现金流的方法可分为净现值法(Net Present Value)与内部报酬率法(Internal Rate of Return)两种:
- 净现值法是通过资本的边际成本求出的折现率,将未来的现金收支折现成当期现金。
- 内部报酬率法则将存续间可能产生的现金流入,依某一贴现率折成现金,使现金收入等于当时的投资成本,则此求出的贴现率即为报酬率。
8、不变增长模型
在大多数理财学和投资学方面的教材中,戈登模型是一个被广泛接受和运用的股票估价模型,该模型通过计算公司预期未来支付给股东的股利现值,来确定股票的内在价值,它相当于未来股利的永续流入。戈登股利增长模型是股息贴现模型的第二种特殊形式,
分两种情况:一是不变的增长率;另一个是不变的增长值。
不变增长模型有三个假定条件:
- 股息的支付在时间上是永久性的。
- 股息的增长速度是一个常数。
- 模型中的贴现率大于股息增长率。
公式:

9、企业价值评估
企业价值的评估在企业经营决策中极其重要。
企业财务管理的目标是企业价值最大化,企业的各项经营决策是否可行,必须看这一决策是否有利于增加企业价值。
在现实经济生活中,往往出现把企业作为一个整体进行转让、合并等情况,如企业兼并、购买、出售、重组联营、股份经营、合资合作经营、担保等等,都涉及到企业整体价值的评估问题。
公式
企业价值=企业所有单项资产的公允评估价值之和-企业确认负债额的现值+商誉价值。
企业价值也可表现为:企业价值=目前净资产的市场价值+以后可能经营年限之内每年所有可能回报的现值之和。
10、股利折现模型
股息贴现模型是股票估值的一种模型,是收入资本化法运用于普通股价值分析中的模型。
以适当的贴现率将股票未来预计将派发的股息折算为现值,以评估股票的价值。
DDM与将未来利息和本金的偿还折算为现值的债券估值模型相似。
公式

其中,V代表普通股的内在价值,Dt是普通股第t期预计支付的股息和红利,y是贴现率,又称资本化率 (the capitalization rate)。
11、股票估价
股票估价是通过一个特定技术指标与数学模型,估算出股票在未来一段时期的相对价格,也叫股票预期价格。
第一种是根据市盈率估值.比如钢铁业世界上发达国家股市里一般是8-13倍的市盈率。所以通过这种估值方法可以得出一般钢铁企业的估值=业绩*此行业的一般市盈率.
第二种是根据市净率估值.比如一个资源类企业的每股净资产是4块,那么我们就可以看这类企业在资本市场中一般市净率是多少,其估价=净资产*此行业一般市净率。这种估价方法适合于制造业这类主要靠生产资料生产的企业.。IT业这类企业就明显不合适用此方法估值了。
公式

R——投资者要求的必要收益率
Dt——第t期的预计股利
n——预计股票的持有期数
12、盈利性指数
盈利性指数由项目预期现金流的现值除以初始资金投入所得
公式:

盈利性指数仅与项目的现值有关。
如果项目的净现值为正,那么PI将大于1,则接受该项目;如果净现值为负,那么PI将小于1,则拒绝该项目。
13、收益现值法
收益现值法又称收益还原法、收益资本金化法,是指通过估算被评估资产的未来预期收益并折算成现值,借以确定被评估资产价值的一种资产评估方法。
从资产购买者的角度出发,购买一项资产所付的代价不应高于该项资产或具有相似风险因素的同类资产未来收益的现值。
收益现值法对企业资产进行评估的实质:
将资产未来收益转换成资产现值,而将其现值作为待评估资产的重估价值。
收益现值法的基本理*公论**式可表述为:
资产的重估价值=该资产预期各年收益折成现值之和。
14、APT模型 套利定价理论
套利定价理论APT(Arbitrage Pricing Theory) 是CAPM的拓广,,由APT给出的定价模型与CAPM一样,都是均衡状态下的模型,不同的是APT的基础是因素模型。
套利定价理论认为,套利行为是现代有效率市场(即市场均衡价格)形成的一个决定因素。
如果市场未达到均衡状态的话,市场上就会存在无风险套利机会。
并且用多个因素来解释风险资产收益,并根据无套利原则,得到风险资产均衡收益与多个因素之间存在(近似的)线性关系。
而前面的CAPM模型预测所有证券的收益率都与唯一的公共因子(市场证券组合)的收益率存在着线性关系。
15、现值
现值是现在和将来(或过去)的一笔支付或支付流在今天的价值。
在现值计量下,资产按照预计从其持续使用和最终处置中所产生的未来净现金流入量的折现金额计量。
负债按照预计期限内需要偿还的未来净现金流出量的折现金额计量。
例如:
在确定固定资产、无形资产等可收回金额时,通常需要计算资产预计未来现金流量的现值;
对于持有至到期投资、*款贷**等以摊余成本计量的金融资产,通常需要使用实际利率法将这些资产在预期存续期间或适用的更短期间内的未来现金流量折现,再通过相应的调整确定其摊余成本。
16、剩余收益模型
所谓剩余收益是指公司的净利润与股东所要求的报酬之差。
剩余收益的基本观点认为企业只有赚取了超过股东要求的报酬的净利润,才算是获得了正的剩余收益;如果只能获得相当于股东要求的报酬的利润,仅仅是实现了正常收益。
即RIt + 1 = NIt + 1 − rBVt,
其中RIt + 1代表 t+1 期的剩余收益,
NIt + 1代表 t+1 期的企业净收益,
BVt是 t期企业权益的帐面价值,
r 是投资者要求的必要报酬率。
剩余收益需要进行资本成本的调整从而反映会计上未加确认但事实上存在的权益资本的机会成本。

而净资产报酬率ROE,可以根据杜邦财务分析体系再分解为资产报酬率、销售净利率、权益乘数等,所有这些参数都可以从企业的财务报表中得到,至于投资者要求的必要报酬率,可以根据CAPM模型或者是APT模型进行估算。
剩余收益模型使用公司权益的帐面价值和预期剩余收益的现值来表示股票的内在价值。
在考虑货币时间价值以及投资者所要求的风险报酬情况下,将企业预期剩余收益按照一定的贴现率进行贴现以后加上当期权益价值就是股票的内在价值。
17、绝对估值法
上市公司的绝对估值法与相对估值法相对,主要采用的是现金流贴现和红利贴现的方法,包括公司自由现金流(FCFF)、股权自由现金流(FECE)和股利贴现模型(DDM)。
绝对估值法也是常用的估值方法,主要有两种方法:
一是现金流贴现定价模型估值法;
二是B-S期权定价模型估值法(主要应用于期权定价、权证定价等)。
18、现金流贴现定价模型估值法
贴现现金流模型是运用收入的资本化定价方法来决定普通股票的内在价值。
按照收入的资本化定价方法,任何资产的内在价值都是由拥有这种资产的投资者在未来时期中所接受的现金流所决定的。
由于现金流是未来时期的预期值,因此必须按照一定的贴现率返还成现值,也就是说,一种资产的内在价值等于预期现金流的贴现值。
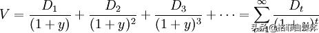
对于股票来说,这种预期的现金流即在未来预期支付的股利,因此,贴现现金流模型的公式为:
V=D1(1+k)1+D2(1+k)2+D3(1+k)3+…=∑∞t=1Dt(1+k)t
Dt为在时间T内与某一特定普通股相联系的预期的现金流,即在未来时期以现金形式表示的每股股票的股利;
k为在一定风险程度下现金流的合适的贴现率;V为股票的内在价值。
在运用上述公式决定一般普通股票的内在价值方面存在着一个困难,即投资者必须预测所有未来时期可能支付的股利。
19、B—S期权定价模型估值法
期权是一种金融衍生证券,它赋予其持有者在未来某一时期或者这一时刻之前以合同规定价格购买或出售特定标的资产的权利。
期权的标的可以是一种实物商品,也可以是公司股票、政府债券等证券资产。
根据不同的分类标准,期权分为不同的种类:
按买卖方向划分,期权可分为看涨期权、看跌期权、双向期权;按执行方式划分,期权可分为美式期权、欧式期权;
按结算方式划分,期权可分为证券结算和现金结算;按复杂性划分,期权可分为标准期权和奇异期权。 B—S模型是Black和Scholes合作完成的。
(1)B—S模型的假设条件。
金融资产收益率服从对数正态分布;
在期权有效期内,无风险利率和金融资产收益变量是恒定的;
市场无摩擦,即不存在税收和交易成本;
金融资产在期权有效期内无红利及其他所得;
该期权是欧式期权。
(2)B—S模型的定价公式。
Black和Scholes在1972年解出了欧式期权的经典定价公式,
如下: 不分红的欧式买权(以C代表不分红的欧式买权的价格)
公式
C=SN(d1)-(Xen)N(d2)
式中d1和d2分别为:
d1=Ln(SX)+(r+12σ2)tσt
d2=d1-σt
N为正态分布变量的筹资概率函数;
S代表股票的当前价格;
X代表期权的实施价格或称执行价格(Exercise Price),即允许期权所有者在该价格水平上购买(或者在卖方期权情况下卖出)股票;
t代表期权的时效,期权的时效越长,期权的持有者就会接受到更多的信息,因而期权也就越有价值;
r代表同期的无风险利率,σ代表股票价格的波动率(Volatility)。
20、优先股成本
优先股是指公司在分派股息和清算公司财产时比普通股享有优先权的股份。
优先股优先于普通股领取股息和分享公司经营股利,并且股息一般是固定的,所以优先股和债券在某些方面比较类似。
公式为:
Kps=Dps/P
Kps表示优先股成本;
Dps表示优先股股利;
P表示优先股的市场价格。
21、净现值
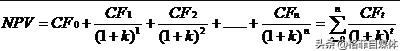
净现值(NPV)是指投资方案所产生的现金净流量以资金成本为贴现率折现之后与原始投资额现值的差额。
净现值法就是按净现值大小来评价方案优劣的一种方法。
净现值大于零则方案可行,且净现值越大,方案越优,投资效益越好。

22、相对估值
(一)市盈率P/E的含义 1.市盈率(Price/earning ratios,简称P/E ratios)是相对估值中使用频率最高的一个价格乘数
2.市盈率的计算非常简单:
股票的当前市价/公司每股收益(earnings P/Er share,简称EPS)就可以得到
(1)当前市盈率(trailing P/E或current P/E)根据公司在过去四个季度(十二个月)的每股收益计算得出
(2)预期市盈率(leading P/E,forward P/E或pros P/Ective P/E),按照分析师对公司未来十二个月内的收益的估计计算得出。
3.经济含义 反映了每股盈利不变的情况下,派息率为100%、股息没有进行再投资的条件下,经过多少年我们的投资可以以通过股息全部收回;
也是投资者会为1元收益支付的价格
(二)计算当前市盈率要考虑的因素
1.非经常性损益(nonrecurring items) 在计算每股收益时必须将这部分损益剔除
2.周期性的影响 应当计算一般化的每股收益以消除周期性对行业的影响
3.会计政策如折旧政策的不同 要对由于采用会计政策不同而带来的每股收益的差异进行调整
4.可能存在的稀释效应 在公司拥有员工股利期权、可转换
23、经济附加值(EVA)的概念
1.经济附加值是在会计净利润中扣除股权资本成本之后的余额
2.会计上的净利润并没有扣除股权资本成本。
当一个公司的净利润小于权益资本的机会成本时,即使净利润为正,公司实际上并没有增加股东的价值,而用经济附加值的概念可以弥补净利润在业绩评价上的不足
3.经济附加值是一个经济概念,又被称为经济利润、超常收益、剩余收益等,可以真正用来衡量企业是在创造价值还是在毁灭价值
公式:
EVA=NOPAT-WACC*K
NOPAT=税后净营运利润(Net Operating Priofit afr Tax) WACC=平均资本成本(Weighted Average Cost of Capital,为百分比) K=营运总资本(股权资本与债权资本之和)
24、投资回收期
投资回收期是指从项目的投建之日起,用项目所得的净收益偿还原始投资所需要的年限。
投资回收期分为静态投资回收期与动态投资回收期两种.
静态投资回收期
静态投资回收期是在不考虑资金时间价值的条件下,以项目的净收益回收其全部投资所需要的时间。
静态投资回收期可根据现金流量表计算,其具体计算又分以下两种情况:
1)项目建成投产后各年的净收益(即净现金流量)均相同,则静态投资回收期的计算公式如下:P t =K/A
2)项目建成投产后各年的净收益不相同,则静态投资回收期可根据累计净现金流量求得,也就是在现金流量表中累计净现金流量由负值转向正值之间的年份。
其计算公式为:
P t =累计净现金流量开始出现正值的年份数-1+上一年累计净现金流量的绝对值/出现正值年份的净现金流量
将计算出的静态投资回收期(P t )与所确定的基准投资回收期(Pc)进行比较:
l)若P t ≤Pc ,表明项目投资能在规定的时间内收回,则方案可以考虑接受;
2)若P t >Pc,则方案是不可行的。
动态投资回收期
把投资项目各年的净现金流量按基准收益率折成现值之后,再来推算投资回收期,这就是它与静态投资回收期的根本区别。
动态投资回收期就是净现金流量累计现值等于零时的年份。
公式: P't =(累计净现金流量现值出现正值的年数-1)+上一年累计净现金流量现值的绝对值/出现正值年份净现金流量的现值 1)P't ≤Pc(基准投资回收期)时,说明项目(或方案)能在要求的时间内收回投资,是可行的; 2)P't >Pc时,则项目(或方案)不可行,应予拒绝。
按静态分析计算的投资回收期较短,决策者可能认为经济效果尚可以接受。
但若考虑时间因素,用折现法计算出的动态投资回收期,要比用传统方法计算出的静态投资回收期长些,该方案未必能被接受。
25、PE
在PE投资中,企业价值评估是投资方与融资方进行投资谈判的一个最为要害和敏感的问题,它涉及到每股的价格、一定的投资金额下投资方在被投资企业中所占的股权比重,对PE的投资收益构成重大的影响。
在实际工作中,用得最多的估价方法或者说用来进行谈判的依据,是二级市场上一定时期内所有企业或同行业的简朴平均市盈率或从资产评估学的角度来看,价值评估的方法总的来说,有成本法、收益法和市场法。
P/E比率模型
目标企业的价值=可比企业平均市盈率×目标企业净利润;目标企业每股价值=可比企业平均市盈率×目标企业每股净利。
P/B比率模型
股权价值=可比企业平均市净率×目标企业净资产。
P/R比率模型
目标企业股权价值=可比企业平均收入乘数×目标企业销售收入
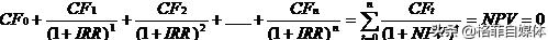
内部收益率
内部收益率又称财务内部收益率(FIRR),是资金流入现值总额与资金流出现值总额相等、净现值等于零时的折现率。
它是一项投资可望达到的报酬率,该指标越大越好。
一般情况下,内部收益率大于等于基准收益率时,该项目是可行的。
投资项目各年现金流量的折现值之和为项目的净现值,净现值为零时的折现率就是项目的内部收益率。 当下,股票、基金、黄金、房产、期货等投资方式已为众多理财者所熟悉和运用。
但投资的成效如何,许多人的理解仅仅限于收益的绝对量上,缺乏科学的判断依据。
对于他们来说,内部收益率(IRR)指标是个不可或缺的工具。
公式

