
随着全站仪在工程测量中应用的逐渐普及,采用导线作为测量的平面控制越来越广泛,导线一般多布设成单一导线。应用全站仪观测导线,可以通过机内的微处理器,直接得到地面点的平面近似坐标,因此在成果处理时可以应用这些近似坐标直接按坐标平差(即间接平差)法进行平差。这将优于过去导线计算过程中先进行边、角平差后,再求取坐标的方法。本文主要针对采用全站仪观测导线的近似平差和严密平差方法进行探讨。

导线测量用于图根控制等低精度测量中,往往采用近似平差即可。由于全站仪直接测定各导线点的近似坐标值,平差计算就不用像传统的导线近似平差计算那样,先进行角度闭合差计算和调整,然后推算方位角,再进行坐标增量闭合差的计算和调整,最后根据平差后的坐标增量计算导线点的坐标。全站仪观测导线直接按坐标平差计算,将更为简便。直接按坐标平差法计算步骤如下:



采用坐标法进行导线近似平差,直接在已经测得导线点的坐标上进行改正,方法简单,易于掌握,避免了传统近似平差法的方位角的推算和改正,以及坐标增量的计算和改正,能大大提高工作效率,而且不易出错。同时可以看出传统附和导线测量需要两条已知边,作为方位角的检核条件,而直接坐标法,只需要一条已知边和一个已知点即可,使导线的布网更加灵活。

高等级平面控制测量对精度的要求较高,需要严密平差。全站仪观测的导线采用严密坐标平差法较为适宜。严密坐标平差取待定点的坐标平差值作为未知数,通过平差计算可直接得到各待定点的坐标。但过去影响应用坐标平差(间接平差)法的主要原因是辅助计算量大,尤其是在列立误差方程之前,需要按近似平差方法将全部导线点的近似坐标推算出来;采用全站仪观测导线,在测量中可直接得到待定点的近似坐标,因此不必再解算待定点的近似坐标。另一方面坐标平差法误差方程式的列立简单且有规律性,便于编制程序。坐标平差法虽然法方程的阶数较高,但利用编制的程序输入计算机中解算,仍是快捷迅速的,这是传统条件平差无可比拟的,因此采用坐标平差法平差全站仪导线是比较适宜的。
3.1 坐标平差中边、角观测值权的确定
坐标平差已是一种成型的平差方法,有关其原理、计算公式和计算步骤等在各种平差文献中都有较细的推导和叙述,这里只就应用该法平差全站仪观测导线过程中,有关边、角权的确定方法谈一点体会。
3.1.1 边、角观测误差方程式
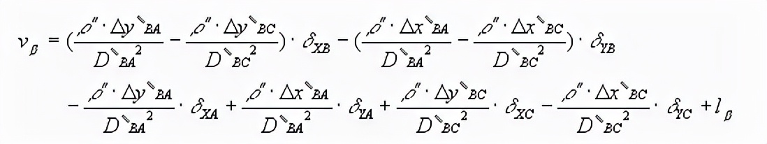
坐标平差法计算,首先是列立误差方程式。导线平差有角度和边长两种类型误差方程式,在图2中,β为观测角度,略去推导过程,其误差方程为:



应用上述两类误差方程式组成法方程式时,因边、角的观测精度不等,则其权不等。即使边之间或角度之间若非等精度观测,其权数也是不等的。因此就要合理地确定其权数,观测值的权是组成法方程的重要元素,权确定的合理与否,直接影响到计算结果。
3.1.2 单位权中误差和权的确定
应用全站仪观测的导线,测距精度较高,通常边、角同时测得,据此笔者认为按如下方法确定其权较为合理。
(1)导线所有的转折角因测量的测回数相等,按等权对待,并设角度观测中误差为单位权中误差,即μ0=mβ。
(2)导线边的观测,因各边距离不等,则各边的距离观测精度不等,可以根据全站仪的标称测距精度求出每条边的测距中误差,再按权的定义公式

,确定每一条边的权值。
例如:用拓普康GTS-701全站仪观测了一条导线,现就其单位权中误差的确定方法和权的计算方法加以说明:
该仪器的测角标称精度为±2″,若对导线所有转折角进行一测回观测,则角度的观测中误差mβ=±2″,距离观测标称精度为±(3+2×10-6·D)mm,其中D为观测边的距离,以公里为单位。
因此可以根据观测边的距离计算出每条边的中误差。例如某条边的观测距离为1325.375m,则该边的距离观测中误差为mD为mD=±(3+2×1.325375)mm=±5.65mm
权的确定可取角度观测中误差为单位权中误差,即μ0=mβ=2″,则角度观测值的权Pβ为:


综上所述,在导线平面控制测量中,应用全站仪观测,因为待定点的近似坐标在观测时可同时得到。针对该情况,在此分别提出了近似和严密的坐标平差方法,供读者在实际应用中参考。一般低等级控制测量采用近似坐标平差就可满足精度要求,高等级控制测量应采用严密平差的方法进行解算,可根据平面控制测量设计的等级和精度要求而选用相应的平差方法。
更多干货教程请关注公众号【CORS测绘服务商】