本文分享自华为云社区《房贷计算器-从原理、计算到提前还款和可视化-云社区-华为云》,作者: 蜉蝣与海 。
摘要:最近各地楼市震荡不断,不少银行纷纷降息,随后更是引发了一波提前还款的大潮。通过楼市小程序上*款贷**计算器等工具人们可以很容易的了解每期还款本金、不同还款方式的利息差异、提前还款节省利息等问题。了解这些工具的计算原理,可以做到心中有数,临危不慌。本文已发布至华为云生态社区AI Gallery,文中涉及所有代码可以直接通过页面进入云上Code Lab运行,欢迎开发者前往体验。
前言
最近各地楼市震荡不断,2022年12月份以来不少银行纷纷降息,随后更是引发了一波提前还款的大潮。不少地区楼市相关的微信小程序也自带了*款贷**计算器、提前还款计算器等工具,通过这些工具人们可以很容易的了解每期还款本金、等额本金/本息的利息差异、提前还款节省利息的问题。
了解这些计算工具的相关原理,可以做到心中有数,临危不慌。
注:
- 本文对应代码和脚本发布至华为云生态社区AI Gallery:*款贷**计算器-从原理、公式到提前还款和可视化→AI Gallery_Notebook详情_开发者_华为云,欢迎开发者前往体验,文中涉及所有代码可以直接通过页面进入Model Arts Code Lab运行。使用该脚本稍加修改后即可尝试开发一个适合自身地区政策的*款贷**计算&提前还款小程序。
- 本文只是研究*款贷**生成、提前还贷方面的相关计算原理,不构成任何投资理财方面的建议。
先来看个使用工具计算提前还款的效果
先来看个使用工具计算提前还款的效果,再来探讨相关原理。
*款贷**87.5万,利率4.9%还20年,使用等额本息的方式,在第13个月提前还10万,使用月供不变年限缩短方式,在CodeLab中运行下述程序后可以计算提前还款节省利息,和微信上提前还款小程序计算结果一致:
a, b, c, d, e = extraPaidWithFixedPaid(12 * 20, 875000, 0.049, False, [(13, 100000)])
drawDiagramExtraPaid(12 * 20, a, b, d, e)
drawTableExtraPaid(12 * 20, a, b, c, d, e)[10:20]



如图,缩短了40个月(3年4个月)账期,次月还款额以及节省利息等都与小程序计算一致。

如何计算利息
背景:等额本金和等额本息的共同点
了解过*款贷**的小伙伴都知道,*款贷**有等额本金和等额本息这两种方式,前者每月还款的本金相同,利息逐月递减;后者每月还款额相同,刚开始还款时利息还的多,后面本金还的逐渐增多。参考网上讨论利息计算的诸多文章,两个模型理论上,都有下列共同特点:
- 利息按月利率计算,一月一期
- 按期还款情况下当月应还利息只由未还完的本金决定
- 每月还款额除了未还本金产生的全部利息外,剩下的金额应该全部用于偿还本金
像最近部分银行提出的先息后本(先还利息若干年,最后一次性偿还本金)则不符合这个条件。
还款额的计算
知乎文章为什么买房*款贷**,最好选择等额本金?中提到了一个例子:
前阵子,院长有位朋友在惠州买了套120平米的房,总价125万左右,大约贷了87.5万。办房贷的时候,他听从销售的建议,选了【等额本息】的还款方式。每个月固定还5726.39元。这个还款额度在他的承受范围之内,因此就选了。那假如选择等额本金呢?第一个月要还的金额为7218.75元,此后每个月少还14.89元,直至20年后还完。
通过描述可知,*款贷**87.5万,贷20年,等额本息每月还款5726.39元,等额本金首月还款7218.75元。假设文中的*款贷**未使用公积金,计算时利率为固定利率,根据网上的*款贷**计算器可知此时的*款贷**年利率为4.9%。
以这个例子为例,简单说明等额本金和等额本息的计算方法:
首先贷20年,按月分期,*款贷**为
20∗12=240期。
年利率4.9%,月利率为
0.049÷12=0.004983 即0.4083%。
等额本金 情况下:
每月应还本金=总本金÷期数
每月应还利息=剩余本金×月利率
每月还款额=每月应还本金+每月应还利息
在这个例子中:
- 每月应还本金为875000÷240=3645.83元
- 首月应还利息为875000×0.4083元
- 首月应还:3645.83+3572.92=7218.75元。
- 第2月剩余本金为875000−3645.83=871354.17元。
- 第2月应还利息为871354.17×0.4083元。
- 第2月应还:3645.83+3558.03=7203.86元。
将这段逻辑抽象为代码有:
import matplotlib.pyplot as plt
import numpy as np
def averageCapital(months, principal, rate):
month_rate = rate / 12
monthly_capital = principal / months
interests = [0] * months
capitals = [0] * months
left_principal = [0] * months
left_principal[0] = principal
total_payment = [0] * months
for i in range(0, months):
interests[i] = left_principal[i] * month_rate
capitals[i] = monthly_capital
total_payment[i] = monthly_capital + interests[i]
if i + 1 < months:
left_principal[i + 1] = left_principal[i] - monthly_capital
return capitals, interests, total_payment
为了便于查看再封装一个打印成表格的函数:
import pandas as pd
def drawTable(months, fn, *args, **kwargs):
capitals, interests, total_payment = fn(months, *args, **kwargs)
paid_capital = [0] * months
paid_interests = [0] * months
paid_capital[0] = capitals[0]
paid_interests[0] = interests[0]
for x in range(1, months):
paid_capital[x] = paid_capital[x - 1] + capitals[x]
paid_interests[x] = paid_interests[x - 1] + interests[x]
origin = pd.DataFrame([total_payment, capitals, interests, paid_capital, paid_interests])
return pd.DataFrame(origin.values.T, columns=['还款额','还款本金','还款利息','已还本金','已还利息'], index=np.arange(1, months + 1))
我们运行一下知乎上的例子,看看头几年还款的本金、利息等:
pd.options.display.float_format = '{:.2f}'.format
drawTable(12 * 20, averageCapital, 875000, 0.049)[0:10]

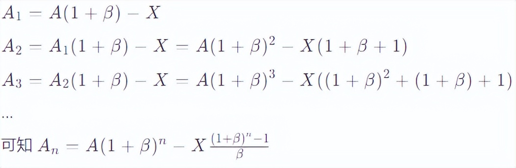
可以看到和文中描述一致,使用微信房小团小程序,也可以打印出一致的结果。 等额本息 的计算方法有些复杂,参考用Python深度解读房贷利率文中的解法,设A为本金,第i个月月末所欠银行本金为Ai,每月所还*款贷**总额为X,月利率为β, 则有:

由于最后一期时剩余本金为0,可反解得:

这里m为总期数(在刚刚的例子中,m=240)。而后就可以使用与等额本金计算中类似的逻辑,从第一期所还利息开始,反推每期的利息与本金。具体代码如下:
def averageCapitalPlusInterest(months, principal, rate):
month_rate = rate / 12
monthly_payment = principal * month_rate * (1 + month_rate) ** months / ((1 + month_rate) ** months - 1)
interests = [0] * months
capitals = [0] * months
left_principal = [0] * months
left_principal[0] = principal
total_payment = [0] * months
for i in range(0, months):
total_payment[i] = monthly_payment
interests[i] = left_principal[i] * month_rate
capitals[i] = total_payment[i] - interests[i]
if i + 1 < months:
left_principal[i + 1] = left_principal[i] - capitals[i]
return capitals, interests, total_payment
我们运行一下知乎上的例子,看看等额本息模式下第8年附近,到底还了多少利息和本金:
drawTable(12 * 20, averageCapitalPlusInterest, 875000, 0.049)[90:100]

可以看到第96期(第8年年终)时,本金还了25万,但利息已经还了近30万了,和之前文中例子的数据是可以对得上的。
还款可视化
刚刚我们已经将还款的各项数据以表格的形式打印。此外我们还可以借助python的能力,打印还款的柱状图。
import numpy as np
def printStatistics(capitals, interests, total_payment, months):
print("总本金:" + str(np.sum(capitals)))
print("总利息:" + str(np.sum(interests)))
print("总利息/总本金" + str(np.sum(interests)/np.sum(capitals)))
print("首月还款 %.2f 末月还款: %.2f" % (total_payment[0], total_payment[months - 1]))
def drawDiagram(months, fn, *args, **kwargs):
capitals, interests, total_payment = fn(months, *args, **kwargs)
printStatistics(capitals, interests, total_payment, months)
month_array = np.arange(1, months + 1, 1)
height = interests
plt.bar(month_array, capitals, width=0.2, align='center', color='red')
plt.bar(month_array, interests, width=0.2, align='center', color='blue', bottom=capitals)
plt.show()
再跑一下知乎的例子,绘制等额本金和等额本息的还款柱状图:
drawDiagram(12 * 20, averageCapital, 875000, 0.049)

如图,蓝色是所还利息,红色是所还本金。可以看出本金每月不变,利息逐月递减的特征。
等额本息情况下:
drawDiagram(12 * 20, averageCapitalPlusInterest, 875000, 0.049)

也能看出所绘图形和等额本息的含义基本一致。
另外部分城市可以公积金*款贷**,以杭州为例,目前杭州公积金充足情况下可贷50w-60w,这里考虑一下公积金的情况:
def averageCapitalWithPublicFund(months, principal1, rate1, principal2, rate2):
a, b, c = averageCapital(months, principal1, rate1)
a1, b1, c1 = averageCapital(months, principal2, rate2)
return np.sum([a,a1],axis=0).tolist(), np.sum([b,b1],axis=0).tolist(), np.sum([c,c1],axis=0).tolist()
drawTable(12 * 20, averageCapitalWithPublicFund, 700000, 0.041, 300000, 0.031)[0:10]

这里算了下商贷70w(利率4.1%),公积金贷30w(利率3.1%)下组合*款贷**的情况,和微信小程序房小团的计算是一致的。
提前还款相关原理
再来讨论下提前还款。如果知乎文中买房的那位,在*款贷**1年后提前还款10w会怎样呢?了解一点背景知识的朋友,都知晓提前还款分两种情况:
- 年限不变,月供减少
- 年限缩短,月供不变
现在分情况讨论,并给出计算函数。
注:notebook中所有计算结果均在微信房小团小程序上得到互相验证。
年限不变,月供减少
这种情况下,相当于在提前还款月之后重新做了一次*款贷**。我们首先对刚刚的计算函数进行一定的简化,抽象一下公共的部分。
def normalPaid(months, principal, rate, capitalAveraged):
month_rate = rate / 12
monthly_capital = principal / months
monthly_payment = principal * month_rate * (1 + month_rate) ** months / ((1 + month_rate) ** months - 1)
interests = [0] * months
capitals = [0] * months
left_principal = [0] * months
left_principal[0] = principal
total_payment = [0] * months
for i in range(0, months):
interests[i] = left_principal[i] * month_rate
if capitalAveraged:
capitals[i] = monthly_capital
total_payment[i] = monthly_capital + interests[i]
else:
total_payment[i] = monthly_payment
capitals[i] = total_payment[i] - interests[i]
if i + 1 < months:
left_principal[i + 1] = left_principal[i] - capitals[i]
return capitals, interests, total_payment
drawTable(12 * 20, normalPaid, 875000, 0.049, False)[10:14]

drawTable(12 * 20, normalPaid, 875000, 0.049, True)[10:14]

可以看到抽象出公共结构后,前后的计算结果并没有发生变化。
考虑年限不变提前还款的情况,这里将每次提前还款的时间和金额组成python的元组,若干个(账期,还款金额)元组组成一个list输入函数。函数首先计算正常情况下的还款信息,而后根据提前还款信息,修改提前还款日的剩余本金,并从各个提前还款日重新计算剩余还款。
def extraPaidWithFixedPeriod(months, principal, rate, capitalAveraged, extraPaidList :list):
capitals, interests, total_payment = normalPaid(months, principal, rate, capitalAveraged)
extraPaidList.sort(key=lambda x:x[0])
originCapital, originInterests, originTotal = capitals.copy(), interests.copy(), total_payment.copy()
left_principal = [0] * months
left_principal[0] = principal
for x in range(0,months):
if x < months - 1:
left_principal[x + 1] = left_principal[x] - capitals[x]
def normalPaidOffset(left_months, principal, rate, capitalAveraged, offset):
month_rate = rate / 12
monthly_capital = left_principal[offset] / left_months
monthly_payment = left_principal[offset] * month_rate * (1 + month_rate) ** left_months / ((1 + month_rate) ** left_months - 1)
for i in range(0, left_months):
interests[offset + i] = left_principal[offset + i] * month_rate
if capitalAveraged:
capitals[offset + i] = monthly_capital
total_payment[offset + i] = monthly_capital + interests[offset + i]
else:
total_payment[offset + i] = monthly_payment
capitals[offset + i] = total_payment[offset + i] - interests[offset + i]
if i == 0:
print("次月还款 %.2f" % total_payment[offset + i])
if offset + i + 1 < months:
left_principal[offset + i + 1] = left_principal[offset + i] - capitals[offset + i]
return
for x,y in extraPaidList:
capitals[x] = capitals[x] + y
left_principal[x + 1] = left_principal[x] - capitals[x]
total_payment[x] = capitals[x] + interests[x]
print("当月需还 %.f 剩余本金 %.f" %(total_payment[x], left_principal[x + 1]))
normalPaidOffset(months - x - 1, left_principal[x + 1], rate, capitalAveraged, x + 1)
printStatistics(originCapital, originInterests, originTotal, months)
print("")
printStatistics(capitals, interests, total_payment, months)
print("节省利息 %.2f" % (np.sum(originInterests) - np.sum(interests)))
return capitals, interests, total_payment, originTotal, originInterests
再定义几个函数对提前还款节省的利息进行可视化。
def drawDiagramExtraPaid(months, capitals, interests, originalTotal, originalInterests, showOriginTotal=True):
month_array = np.arange(1, months + 1, 1)
capital_with_origin_interest = [0] * months
height = interests
for x in range(1, months):
capital_with_origin_interest[x] = capitals[x] + originalInterests[x]
l1 = plt.bar(month_array, originalTotal if showOriginTotal else capital_with_origin_interest, width=0.2, align='center', color='yellow')
l2 = plt.bar(month_array, capitals, width=0.2, align='center', color='red')
l3 = plt.bar(month_array, interests, width=0.2, align='center', color='blue', bottom=capitals)
# plt.legend(handles = [l1, l2,l3], labels = ['每月少还' if showOriginTotal else '节省利息', '本金','利息'], loc = 'best',fontsize=20)
plt.ylim(0, (capitals[0]+interests[0])*1.1)
plt.show()
def drawTableExtraPaid(months, capitals, interests, total_payment, originalTotal, originalInterests):
paid_capital = [0] * months
paid_interests = [0] * months
saved_money = [0] * months
paid_capital[0] = capitals[0]
paid_interests[0] = interests[0]
for x in range(1, months):
paid_capital[x] = paid_capital[x - 1] + capitals[x]
paid_interests[x] = paid_interests[x - 1] + interests[x]
saved_money[x] = saved_money[x - 1] + (originalInterests[x] - interests[x] )
origin = pd.DataFrame([total_payment, capitals, interests, paid_capital, paid_interests,saved_money])
return pd.DataFrame(origin.values.T, columns=['还款额','还款本金','还款利息','已还本金','已还利息','累计节省'], index=np.arange(1, months + 1))
通过参数showOriginTotal的取值,可以分别绘制每月少还的钱与当月节省利息的情况。下面分别绘制了等额本金和等额本息情况下,87.5万贷20年,在第一年还10万后还款和利息的变化情况。
a, b, c, d, e = extraPaidWithFixedPeriod(12 * 20, 875000, 0.049, True, [(13,100000)])
drawDiagramExtraPaid(12 * 20, a, b, d, e)
drawDiagramExtraPaid(12 * 20, a, b, d, e, False)
drawTableExtraPaid(12 * 20, a, b, c, d, e)[10:20]




a, b, c, d, e = extraPaidWithFixedPeriod(12 * 20, 875000, 0.049, False, [(13,100000)])
drawDiagramExtraPaid(12 * 20, a, b, d, e)
drawDiagramExtraPaid(12 * 20, a, b, d, e, False)
drawTableExtraPaid(12 * 20, a, b, c, d, e)[10:20]




可以很方便地看出节省利息在每个月还款额中的比重。
月供不变,年限缩短
这种情况下提前还款导致后续每个月产生的利息少了,但是月供没变,相当于后续每个月额外多还了本金。但是在各类提前还款计算器的计算中,月供并不是和之前相同的,经过反复的计算后和网上的*款贷**计算器结果最终一致,发现各类提前还款计算器隐含了下列约束:
- 提前还款相当于用剩余本金新做一个*款贷**。
- “月供”不是真的不变。而是通过缩短年限方式,使得新*款贷**首月月供尽可能和当前月供相当。
- 如果是等额本金模式,新*款贷**首月月供中,偿还本金并未增多,需要略低于上月偿还本金,等额本息模式则无此约束。
想想这个逻辑也有道理,如果真的“月供不变”,那么等额本金模式下提前还款后,后续每个月偿还的本金都会比新做*款贷**的偿还的本金多,相当于后续每个月都在提前还款,后续每个月月供本金就不能称为“等额”了。我们下面先写个求解首月月供的函数,以及通过缩短年限逼近上月月供总额和月供本金的函数。而后计算“月供不变,年限缩短”模式下节省的具体利息。
def getFirstPaid(months, principal, rate, capitalAveraged):
month_rate = rate / 12
monthly_capital = principal / months
monthly_payment = principal * month_rate * (1 + month_rate) ** months / ((1 + month_rate) ** months - 1)
interests1 = principal * month_rate
if capitalAveraged:
return monthly_capital + interests1, monthly_capital
else:
return monthly_payment, monthly_payment - interests1
def getLeftMonths(leftMonthsMax, capitalPaidMax, paidMax, leftPrincipal, rate, capitalAveraged):
lastPaid, lastCapitalPaid, lastMonths = 0, 0, 0
for i in range(leftMonthsMax, 1, -1):
paid, capitalPaid = getFirstPaid(i, leftPrincipal, rate, capitalAveraged)
if paid > paidMax or (capitalAveraged and capitalPaid > capitalPaidMax):
return lastMonths, lastPaid, lastCapitalPaid
else:
lastPaid, lastCapitalPaid, lastMonths = paid, capitalPaid, i
def extraPaidWithFixedPaid(months, principal, rate,
capitalAveraged, extraPaidList: list):
capitals, interests, total_payment = normalPaid(
months, principal, rate, capitalAveraged)
extraPaidList.sort(key=lambda x: x[0])
originCapital, originInterests, originTotal = capitals.copy(), interests.copy(), total_payment.copy()
left_principal = [0] * months
left_principal[0] = principal
for x in range(0, months):
if x < months - 1:
left_principal[x + 1] = left_principal[x] - capitals[x]
def normalPaidOffset(left_months, principal, rate,
capitalAveraged, offset, left_months2):
month_rate = rate / 12
monthly_capital = left_principal[offset] / left_months
monthly_payment = left_principal[offset] * month_rate * (1 + month_rate) ** left_months / ((1 + month_rate) ** left_months - 1)
for i in range(0, left_months):
interests[offset + i] = left_principal[offset + i] * month_rate
if capitalAveraged:
capitals[offset + i] = monthly_capital
total_payment[offset + i] = monthly_capital + interests[offset + i]
else:
total_payment[offset + i] = monthly_payment
capitals[offset + i] = total_payment[offset + i] - interests[offset + i]
if i == 0:
print("次月还款 %.2f" % total_payment[offset + i])
if offset + i + 1 < months:
left_principal[offset + i + 1] = left_principal[offset + i] - capitals[offset + i]
for i in range(left_months, left_months2):
interests[offset + i] = 0
capitals[offset + i] = 0
total_payment[offset + i] = 0
return
realMonth = months
for x, y in extraPaidList:
capitalParam = capitals[x]
capitals[x] = capitals[x] + y
left_principal[x + 1] = left_principal[x] - capitals[x]
total_payment[x] = capitals[x] + interests[x]
maxMonth, maxPaid, maxPaidCapital = getLeftMonths(months - x - 1, capitalParam, total_payment[x - 1], left_principal[x + 1], rate, capitalAveraged)
normalPaidOffset(maxMonth, left_principal[x + 1], rate, capitalAveraged, x + 1, months - x - 1)
realMonth = x + 1 + maxMonth
print("当月需还 %.2f 剩余本金 %.2f 下月需还:%.2f 原本剩余账期:%d,当前剩余账期:%d, 账期缩短:%d" %(total_payment[x], left_principal[x + 1],total_payment[x + 1], months - x - 1,maxMonth, months - x - 1 - maxMonth))
printStatistics(originCapital, originInterests, originTotal, months)
print("")
printStatistics(capitals, interests, total_payment, realMonth)
print("节省利息 %.2f" % (np.sum(originInterests) - np.sum(interests)))
return capitals, interests, total_payment, originTotal, originInterests
a, b, c, d, e = extraPaidWithFixedPaid(12 * 20, 875000, 0.049, True, [(13, 100000)])
drawDiagramExtraPaid(12 * 20, a, b, d, e)
drawTableExtraPaid(12 * 20, a, b, c, d, e)[10:20]



a, b, c, d, e = extraPaidWithFixedPaid(12 * 20, 875000, 0.049, False, [(13, 100000)])
drawDiagramExtraPaid(12 * 20, a, b, d, e)
drawTableExtraPaid(12 * 20, a, b, c, d, e)[10:20]



可以看出,虽然缩短年限的本质也是重新做一次*款贷**,但确实可以节省很多利息。
小结
本文初稿写于华为云AI-Gallery*款贷**计算器-从原理、公式到提前还款和可视化,通过页面进入CodeLab可以直接在界面上调整参数进*房行**贷利息、提前还款等相关计算,计算过程原理直观,配合可视化方便理解,欢迎开发者前往体验。
整篇文章带大家了解了不同房贷*款贷**方式的差异,以及对房贷利息计算、提前还款的原理做了较为细致的剖析和数据可视化。后续在面对*款贷**利息计算的问题时,可以直面原理、心中有数、临危不慌。
参考资料
[1]用Python深度解读房贷利率(https://mp.weixin.qq.com/s/hdRb4b7ufYd-hujV1TKHZg)
[2]为什么买房*款贷**,最好选择等额本金?
[3]杭州房小团微信小程序-*款贷**计算
[4]杭州房小团微信小程序-提前还款
点击下方,第一时间了解华为云新鲜技术~
华为云博客_大数据博客_AI博客_云计算博客_开发者中心-华为云
#华为云开发者联盟#