人工冰场的使用要求及设计条件:
1.冰场尺寸
比赛用人工冰场的尺寸和面积由体育竞赛标准确定。娱乐性冰场的尺寸可任意确定。

2.冰面温度
不同冰上运动项目冰面温度的推荐值:

3.冰面风速
冰面风速直接影响冰场负荷大小。下表给出了不同冰上运动项目冰面风速的推荐值,可供参考。

4.冰层厚度:
比赛、训练性冰场,冰面厚度一般取30~40mm。娱乐性冰场冰面厚度一般取50mm。间接供冷的人工冰场,冰层最好不超过40mm。
5.娱乐性的冰场的滑冰人数
一般按每个滑冰者占1.5~2.8m冰面来估计人数。进行花样滑冰时,每个滑冰者将需要直径为4.9m的场地。
6.室内冰场馆内温度:一般夏季室内温度取24~28℃,相对湿度不宜过高。冬季一般取16℃。
7.载冷剂供回水温差:载冷剂供、回水温度可取为-10℃和-9℃,在负荷增加时,可取为-13℃和-11℃。载冷剂供回水温差控制在1~2℃为宜。
室内人工冰场负荷计算:
人工冰场负荷分为初冻负荷和维持负荷。一般是根据经验和实测数据为基础确定。负荷计算方法有经验数据法、图表法、分项计算法等。
一、工冰场负荷概算指标:
1.ASHRAE指标。
2.室外冰场负荷指标。
3.国内外已建冰场指标。
例:重庆建飞真冰滑冰场的冰场面积376m2,维持负荷207.3KW,单位面积维持负荷551.3W/m2。初冻负荷约为340KW,单位面积初冻负荷约为900W/m2。
二、图表法
三、分项计算
⒈对流放热负荷qc
qc=αc(ta-ti ) (w/m2)
式中:
ta—空气温度,℃,室外冰场,安全点可取冰场使用期间最高月的平均干球温度;
ti—冰面温度,℃;
αc—冰面与空气间的对流换热系数,它与风速有关,或按下式计算:
αc=2.583v 0.871 (W/ m.℃)
式中:v—风速,(m/s)
⒉对流传质负荷qm
qm=ϭ (da-di)×10-3r (w/m)
式中:
ad—冰场内空气含湿量,g/kg,di—冰温下饱和空气含湿量,g/kg;
r—水蒸汽的凝结和凝固潜热,J/kg;当冰温为-4℃时,r=2836×103J/kg;
ϭ—传质系数,kg/(m.s),传质系数与对流换热系数αc有以下关系:

式中:
cp—空气定压比热,J/(kg.k);
Le—刘易斯准则,它与温度有关,在冰场设计的温度范围内,Le≈0.86,因此有ϭ =αa /920。
3.冰面与围护结构内表面辐射传热负荷qr:

式中:
ta、ti—同前;εi—冰面的黑度,可近似取水的黑度εi =0.96;
εm—冰场顶棚和墙面平均黑度,查《传热学》;
cb—黑体的辐射系数,cb=5.67 (W/m2.k4)。
4.太阳辐射负荷qsr:qsr=AJh (W/m2)
式中:Jh—水平面太阳辐射强度,(W/m),可从当地气象台站原始观测值统计确定;
A—对太阳辐射的吸收系数,冰层吸收系数与冰场面层的颜色,冰的颜色和粗糙度有关。目前国内的取值范围为A=0.3~0.5。从实测负荷分析,推荐取A=0.45~0.55。
对于露天冰场周围绿化或地面覆盖不良,或风沙严重地区的冰场,冰面为沙尘污染,应取大值。室内冰场无此负荷,可认为A=0。
5.地下传热负荷qg:

式中:
tg—地温,℃;可参照冷库地坪传热确定;
tp—排管的表面温度,℃;当采用制冷剂直接蒸发冷却时,可近似取蒸发温度;当采用载冷剂冷却时,可近似取载冷剂供回水平均温度;
K—地下层传热系数,(W/m2.k):

式中:
δi —冰场场地构造中i 层材料厚度,m;
λi—冰场场地构造中i 层材料的导热系数,W/m.K。
6.修理冰面负荷qir:
式中:
b—每次浇冰厚度,m;与冰面损坏程度和休整周期有关,可取为0.0012~0.002m;
ρi—冰的密度,kg/m;Δt—每次浇水冻结时间,s;
Δh—水冷却并结冰释放的热量,J/kg,每kg水由80℃冷却结冰并冷却到-4℃冰温所释放出的热量,Δh =678X103 J/kg。
7.灯具与灯面个辐射热量qe。近似按qe=10 W/m计算。
8.冰上人员活动放热量qp。娱乐性冰场建议近似按qp=60~130W/ m计算。
9.单位面积的维持负荷:
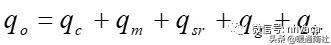
⑴室外训练、比赛用人工冰场单位面积维持负荷q0。

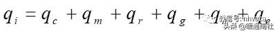
⑵室内训练、比赛用人工冰场单位面积维持负荷qi。

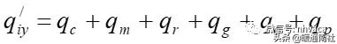
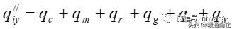
⑶室内娱乐性人工冰场单位面积维持负荷。
①营业期间:

②非营业期间:

(W/m2)
室内人工冰场的场地构造及场地排管:
一、场地构造:场地构造应满足以下要求:
1.能承受冰面的负载;
2.能解决场地由于温度变化所产生的温度应力;
3.尽量减少冷损失;
4.场地要有良好的排水;
5.满足场地的使用要求。
基层部分构造分别具有防水、滑动、保温和导水的功能。面层的功能是满足场地使用要求。

重庆建飞真冰滑冰场场地构造作法。见图:

1.面层厚度:
混凝土面层推荐厚度为140~150mm,管顶混凝土厚度为20~40mm;
砂质面层,推荐厚度为32~45mm,管顶砂厚为0~25mm。
2.砂质面层的砂子应采用不含垃圾或者粘土的优质河砂。
3.滑动层:
滑动层的作用是当面层热膨胀冷收缩时,相对于基层中的保温层能有一个微小的滑动,以避免损坏隔汽防潮层和保温层。常用的两种做法是采用干砂层或滑动块。
4.保温层的合理厚度:

5.场地防冻胀问题
措施:①场地加热。②架空式场地。
二、场地排管
⒈场地排管的布置方式
⑴排管沿冰场长度方向布置,制冷剂供液管和回气管,或载冷剂供液管和回液管同侧布置。
⑵排管沿冰场长度方向布置,制冷剂供液管和回气管,或载冷剂供液管和回液管异侧布置。
⑶排管沿冰场长度方向布置,制冷剂供液管和回气管,或载冷剂供液管和回液管中间布置。
⑷排管沿冰场宽度方向布置,制冷剂供液管和回气管,或载冷剂供液管和回液管布置在同侧。
⑸排管沿冰场宽度方向布置,制冷剂供液管和回气管,或载冷剂供液管和回液管布置在异侧。
2.排管的管径与管中心距
⑴美国ASHRAE手册建议:小冰场,DN20;大冰场,DN25,间距88.9mm(或DN32,间距≯101.6mm) 。

⑵原苏联建议:管径25~57mm,间距90~110mm。
⑶英国建议:直接供冷,管径13mm,间距300mm;间接供冷,钢管径30mm,间距100mm;塑料管径26~28mm,间距70~100mm。
场地排管采用外径为的无缝钢管占多数,且间接供冷的排管中心间距小于直接供冷。重庆建飞真冰滑冰场的排管为φ38×3,管间距为85mm。
3.场地排管支座。φ38X3的管材配2m间距的支架比较合适。
4.场地排管的伸缩问题。特别是供、回液管异侧布置,应十分注意这一点。
5.其它注意问题。
⑴冰球场界墙处应适当布置排管。
⑵对于间接供冷的场地排管,载冷剂流动阻力损失应控制在41.3~55.2kPa(4.1~5.5mH2O)。载冷剂的流速推荐为0.61~0.91m/s,载冷剂温差为1~2℃。
室内人工冰场的制冷方式及设备选择:
一、人工冰场供冷方式
分为制冷剂泵循环直接供冷和载冷剂间接供冷方式。而间接供冷可分为开式系统和闭式系统两种。
重庆建飞真冰滑冰场设计选用参数为:
1.低温盐水机组蒸发温度-16℃,冷凝温度40℃;
2.乙二醇水溶液供水温度-12℃,,回水温度-10℃;
3.乙二醇水溶液凝固点-17.8℃,乙二醇的质量百分数35%。
二、人工冰场制冷设备的选择
1.负荷的附加系数
直接供冷方式负荷的附加系数取7%。间接供冷系统除了应考虑7%的附加量外,还应考虑载冷剂溶液循环系统的冷量损失,约5%~6%,因此,总的负荷附加系数应为12%~13%。
2.载冷剂溶液进入温度与蒸发温度
设计一般是先定冰面温度,然后定载冷剂溶液温度,载冷剂溶液进出平均温度比冰面温度低5~7℃。制冷剂蒸发温度再比载冷剂溶液的进出平均温度低5~6℃,但制冷剂蒸发温度应高于载冷剂溶液的凝固点温度。
3.膨胀水箱:
系统中载冷剂溶液的膨胀量可由下式计算:

(m)
式中:v1、v2—载冷剂溶液膨胀(温度升高)前后的比容m/kg。乙二醇水溶液的密度可查《冷热源工程》教材的表2.7,给出了不同浓度的乙二醇水溶液在不同温度时的密度,即比容的倒数。
MW—闭式系统中载冷剂溶液的容量,kg。可以通过对系统各部位的容量计算求得,其中低温盐水机组蒸发器内的容量可向生产厂家咨询。
4.制冷剂泵。使用齿轮泵和屏蔽泵。
低温盐水机组:
一、低温螺杆式乙醇/盐水机组
二、使用条件
1.冷却水进水温度:20~32℃;
2.载冷剂溶液出口温度:
氯化钠水溶液适用于0~-15℃;氯化钙水溶液适用于0~-35℃; 乙醇,乙二醇水溶液适用于0~-20℃。
3.载冷剂溶液浓度:应按其凝固点温度比所要求载冷剂溶液的出口温度低7~10℃来确定。
三、型号、技术参数及性能的曲线图。
四、载冷剂溶液流程:

室内人工冰场的空气调节设计:
一、室内滑冰场空调设计应考虑解决的特殊问题
1.夏季室内空调设计干球温度和相对湿度要适中。
2.空调设计应能避免屋顶或顶棚的内表面产生凝结水。
3.当滑冰场兼作其它球类比赛时或训练时,室内滑冰场的空气调节系统设计及气流组织等也应能满足其它功能使用的要求。
4.应充分利用室内冰场散发的冷量。
二、空气调节专业对土建设计的要求
1.在土建构造方面必须具有良好的保温隔热措施。
2.围护结构要选择保温性能好,吸水率低的保温材料,而且要注意隔气层的设置层次。
3.从节能和防止结露考虑,墙面上的窗户应采用铝合金双层充气玻璃窗。
三、空气调节系统设计应考虑的特殊措施
1.防止屋顶或顶棚结露
常用的技术措施:
⑴顶棚的吊顶采用铝金属薄板。
⑵提高顶棚或屋顶内表面温度。
⑶室内设置除湿装置或空调系统。
2.消除冰面雾气:采用以下技术措施消除冰面雾气。
首都体育馆冰场上的温度梯度

⑴减少室内的湿源。
⑵向冰面送风。
⑶室内冰场加装*湿机除**或另设空气调节机组(带制冷机的独立式空调机组),进行除湿,降低室内空气的*点露**温度。
3.重庆建飞真冰滑冰场空调简介:
空调室内设计参数为:夏季:26±2℃,冬季10~16℃,湿度尽可能低,过渡季节温度不要求。

本文来源于互联网,暖通南社整理编辑。