成果简介
随着柔性电子技术的发展,对于高效解决热管理问题的环保、安全、低成本和可大规模生产的电热材料的需求不断增长。本文,武汉大学Jun Qian、Xin Wang等研究人员在《ACS Appl. Electron. Mater.》期刊发表名为“Large-Scale Production of Electrothermal Films with GNSs/CNTs/CB Three-Dimensional Structure Ink by Screen Printing”的论文,研究采用分散研磨法制备低成本的水性碳系列电热油墨,通过丝网印刷可大规模制备各种面积的电热薄膜。同时,通过球磨分散工艺制备三维(3D)导电网络结构石墨烯纳米片(GNSs)/多壁碳纳米管(MWCNTs)/炭黑(CB)。由于GNSs/CNTs/CB形成的低渗流阈值网络,制备的油墨具有优异的导电性,方阻(Rsq)达到4.3Ωsq –1,厚度为25μm。此外,丝网印刷电热膜(4cm×4cm)的饱和温度(Ts)在输入电压为10V时可以达到165 °C,并且具有极低的功耗(444.75 cm 2 W –1)。电热膜在115000次的弯曲试验中也能保持相对稳定的电性能。当加热装置(9cm×31cm)应用于膨胀聚丙烯(EPP)盒时,食品温度可保持在60℃左右,风味得以很好的保存。
图文导读

图1. 电热油墨和电热薄膜的制备过程。

图2、电热油墨的形态和成分表征

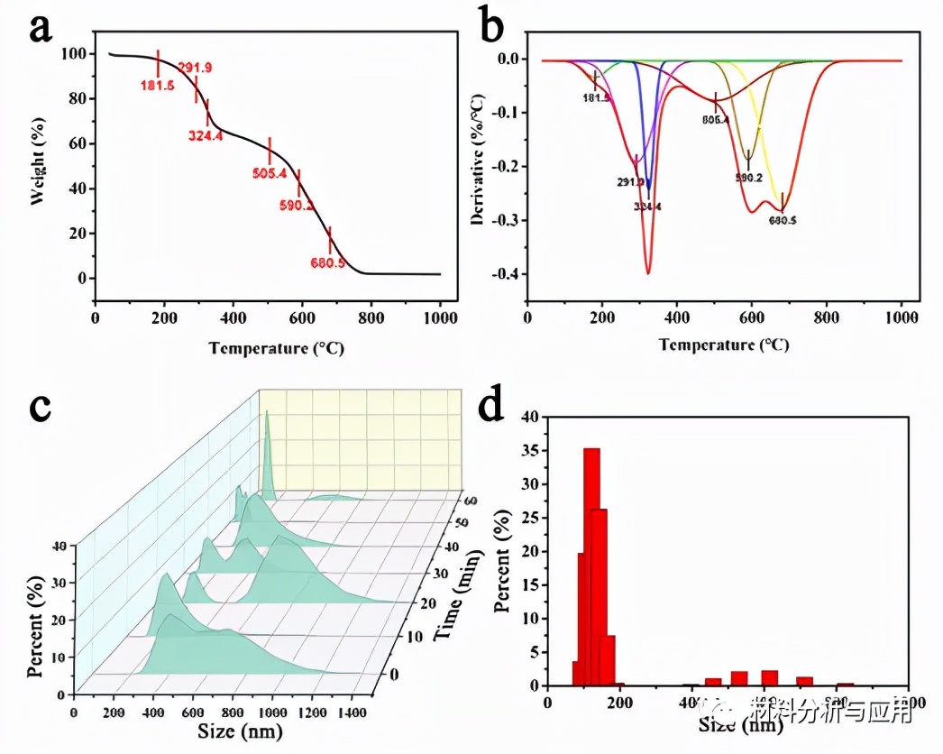
图3. (a) GNSs/MWCNTs/CB复合电热油墨的 TGA。(b) GNSs/MWCNTs/CB 复合电热油墨的 DTG。(c) 粒径与研磨时间的关系。(d) 研磨60分钟后复合材料中的粒度分布。

图4. (a) 方形电热膜 (4cm×4cm) 在不同输入电压下随时间变化的温度。(b) 电压不断变化的方形薄膜的电热性能。(c) 方形薄膜在10V外加电压下的红外 (IR) 图像。(d) 矩形电热薄膜 (9cm×31cm) 在不同电压下的时间相关温度。(e)(1)矩形电热膜(9cm× 31cm)在12 V加热前后的物理照片。(2)矩形薄膜在12V外加电压下的IR图像。

图5. (a) 12V温度控制箱内空间温度与时间的关系。(b) 1小时存储过程的时间相关空间温度(每10分钟打开一次盖子)。(c) 杯子存放前后的温度变化。
文献:
https://doi.org/10.1021/acsaelm.1c01172
