以前解析试卷老是这么说:“这套高考数学试卷,大气平稳,稳中有变,体现了北京卷的特点,体现了对于基础知识和通性通法的考察。”
说人话:这次北京卷理科,最后三道大题比去年难,个别题目有小创新,整体难度变化不大。平均分应该比去年降一点,估计能下降5分左右。
废话不多说,上逐题解析。
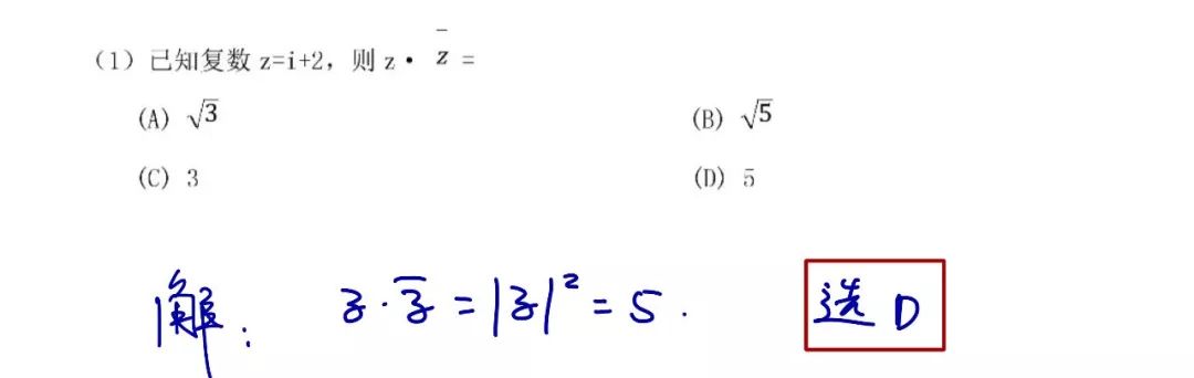
今年第1题,终于不是万年考集合了,考复数了。

你以为集合没有考吗?不是的。请注意第17题概率的第一问,里面本质上是用到了集合里面的韦恩图来帮助同学们计算。
这个内容每年一轮复习都讲,但是同学们不重视。总觉得那个似乎从来没考过,今年来了,居然是放到了大题里面,就看平时谁复习的比较扎实。
第2,3,4题,普普通通的题吧。第2题算法要说再见了,以后的北京卷把这部分知识删了以后就不考了。
(其实关于这部分题,也是可以分类的,我分成三类:先判断,再计算;先计算,再判断;判断在计算中间的。这个题目是第三类,倒是不难其实,但还真是个易错点。)


第5题,终于考了一个带有绝对值的线性规划,是x的绝对值,年年复习,年年说,今年终于来了。这个题目难度不大。也是最后一次考了,以后这个模块北京卷就没了。

第6题,与其说考的是对数,不如说考的是读题,应用题,谁减谁。这是最重要的。

第7题,以充分条件的问法,终于考察了垂直的引申这个条件。而且,其实本质上这个题考了两次。还有一次是第18题第二问,考了直径圆。这个内容很常见,一轮复习和椭圆大题中条件转化的部分都强调过,得分没有任何问题。就看考场上能不能想起来。

第8题,我估计官方肯定要说,这题目体现了数学之美。哈哈哈。同学们肯定说这个题目体现了数学之难。这种题在近两年的模拟考中很少,但是
这种题目在北京五年内的模拟考试题中都是比较常规的题目啦。

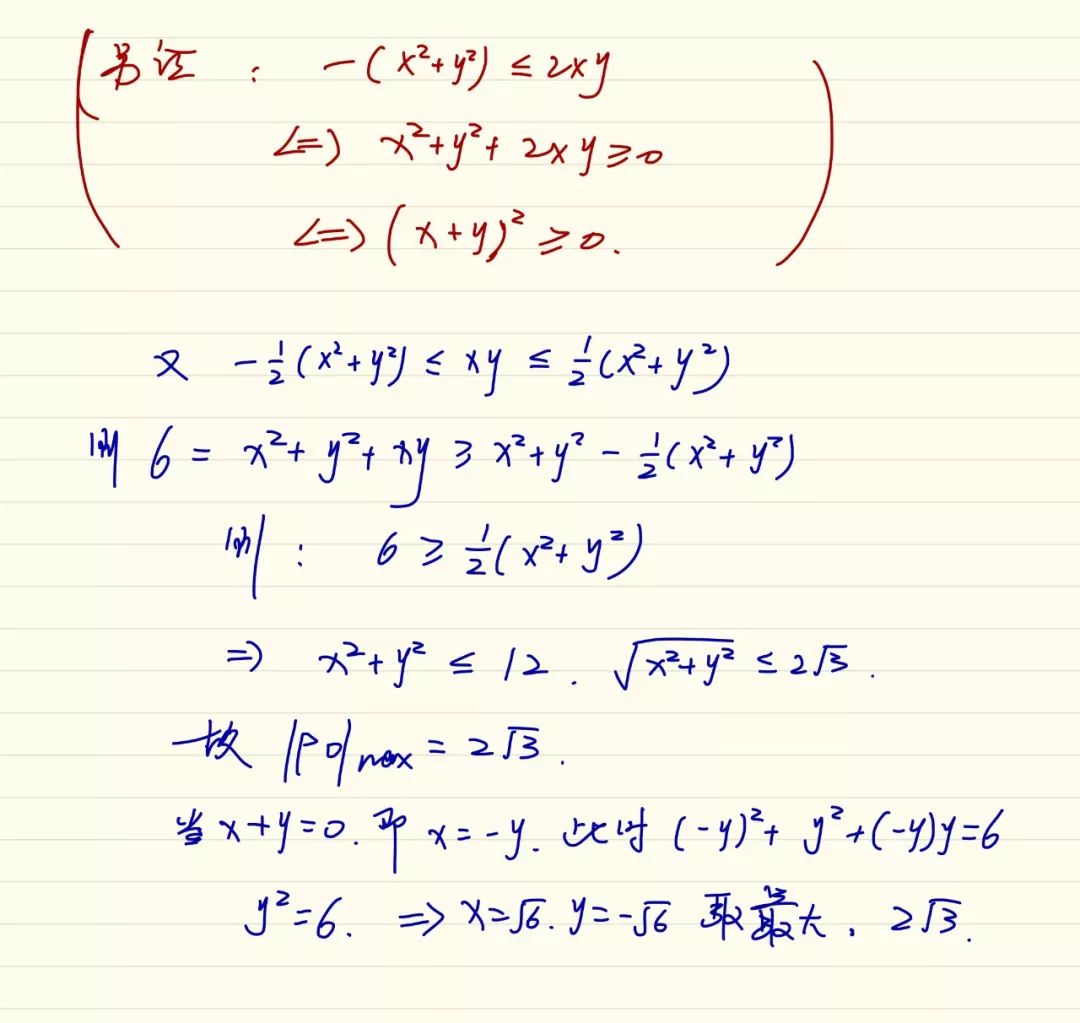
此题目中,比较难的是第2个选项的判断,需要用一些均值不等式的方法,此方法在这种问题中的使用是一种典型考法。我在高三一轮的复习中其实已经讲过。涉及的常考问题有特殊点,距离最值,面积比大小,对称性判断等。其中,距离最值由于涉及均值不等式难度较大,我在高三一轮复习中专门强调过。以下是上课笔记的片段。


第9,10,11题

这三个题目其实本身也不难,第10题是最简单的等差数列的最值,我们讲过更复杂的,第11题是切割的方法,这个几何体本身也不难。这应该是三视图最后一次在北京高考中出现啦。
第12,13题,常规问题。

其实13题是有一个非常小的创新点,就是最后那个e的2x次方,涉及到了简单的指数函数的范围,或者说是和渐近线有一点点的关系。最后只要注意答案中,是小于等于0,一定注意包含等于0就可以。
第14题,这几年的14题实在是越来越简单。偏向于应用题,读懂题就ok

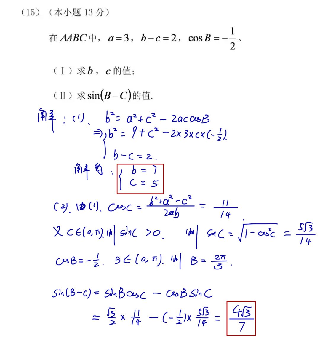
第15题。今年三角考的是三角形。没啥说的,就算吧,算对了都是分儿

第16题,有些小创新点,F点和*点G**的位置都是三等分点,而且用向量的方法能够很好的解出坐标来。相信今年过后,线段上几等分点的表示应该是大家必会的内容啦。第三问坚持最近几年的问法,空间向量在立体几何中的应用。2020年高考复习的时候,应该继续把空间向量在常规立体几何中的应用继续强调,尤其是用向量判断点线面位置关系的所有方法弄熟练。

第17题,概率题。题目不难,其实第二问不好好读题特别容易错,其实计算思路非常简单,简单到稍好的文科生也能搞定第二问中概率计算的部分。最大创新点来自于第三问,终于不考方差和期望了。这次考了一个对统计的理解,我觉得这个题目是比较好的,确实是考到了深度理解层面。但是并不难回答,甚至初中生可以一试。

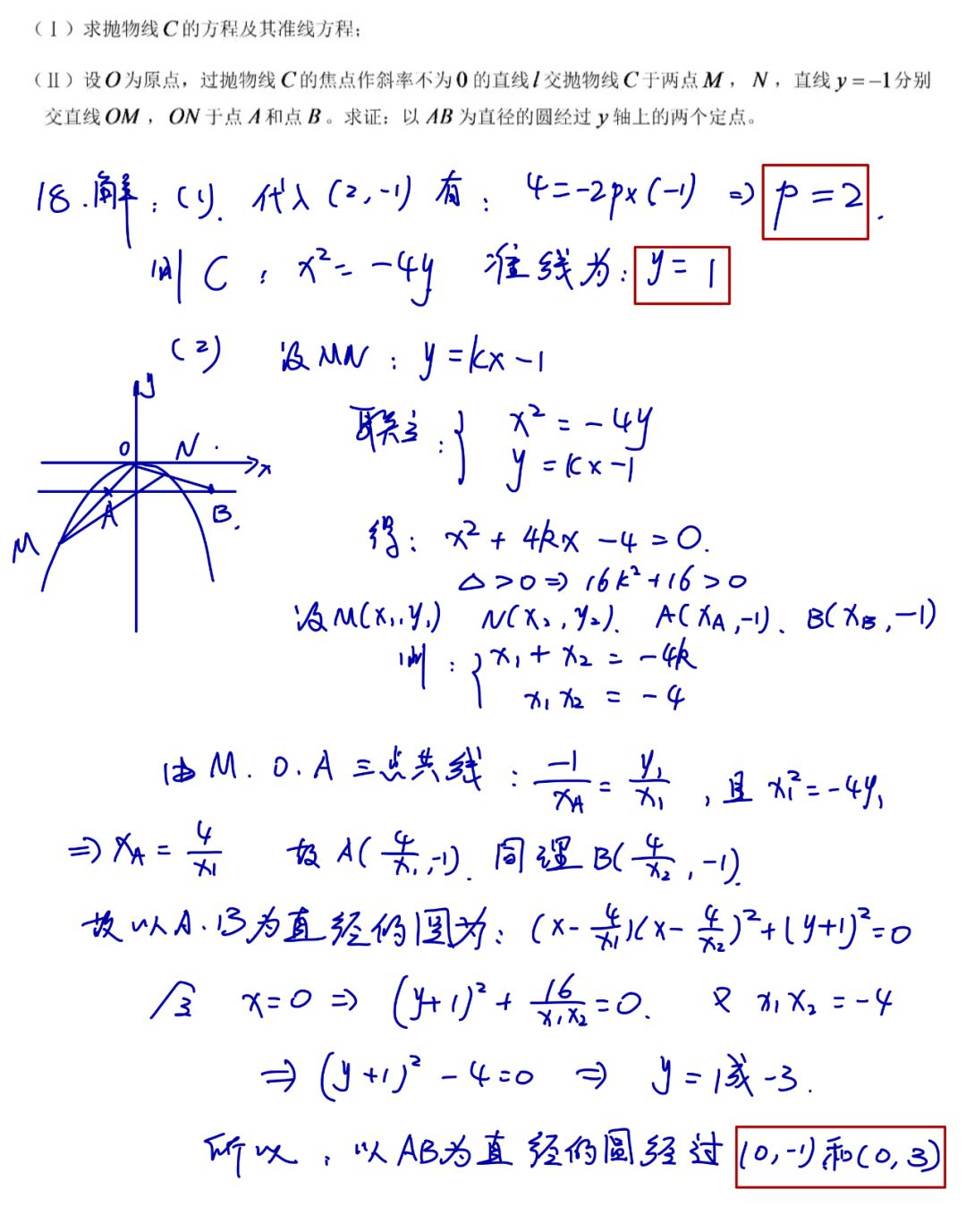
第18题,解析几何大题。考了个抛物线

这是最让人快乐的。完全符合之前预测的规律,三年一个周期,在这个解析几何题目上印证的非常完美。从2010年新课标开始,2010年算原年,2011--2013椭圆韦达型
2014--2016椭圆单动点型
2017--2019抛物线韦达型
当然,2019年我们备考的时候,依然雷打不动的把常规椭圆韦达型全部搞定,抛物线的典型情景全部都练了一遍。这道题,本身难度不大,唯一对同学们可能有困扰的是最后,那个圆恒过定点,但是在题目中明确的说了是经过y轴,而且是两个定点,这样的话,这个题目的思维困扰已经降到最低了。我看官方给的答案中出现了垂直情景,嘻嘻,这个情景强调无数遍。这个题和我曾经讲过的一个题目非常像,但是这个题本身做了一点改动。以下是一轮复习的教材实拍,大家注意看第一道题。

这个题目最早的来源应该是2011年的丰台二模理科。有兴趣的同学或者家长可以做一下这个题目的最后一问。(高考题为了回避抄袭,改动了两点,第一把准线变成了准线的对称直线;第二是把提问方式稍微改了一点)

总而言之,言而总之,日光之下,并无新题。所谓新题,都是老题改的。
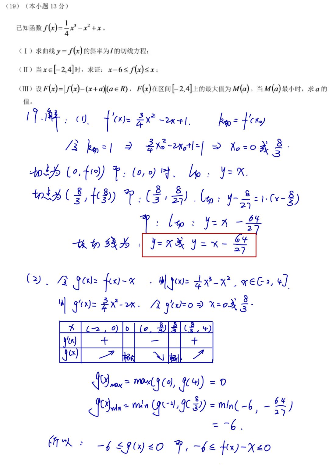
第19题,题目和解答在这里。


这个题前两问对于大部分同学而言是没问题的,但是,计算量稍微大了一点。第三问考了一次最值问题,这个题目需要进行分类讨论,当然,其实有更简单的方法,我在上面的解答中给出的是一个接近于大部分同学们的一个处理手法,期中涉及到了一个max函数的处理的手法,这个也是讲到的,甚至在考前猜题卷中也给出了这种情况下函数的处理。
这个题其实难度并不是很大,但是考场上有压力的情况下,很多同学应该会懵,很有可能不知所措。其实分类讨论就好了,而且,这个题体现了北京卷经常出现的一个特点:常规方法之后,一旦想透道理,题目会有极简做法,这个题第三问也是如此。这里不多说,但是还是希望同学们重视常规解法,这个题用常规方法足矣。
顺便说一下关于导数的这个题目的预测和分析的角度,首先导数的这个大题难度不小,是大家必须争夺的分数,题型在这里我分五大类:切线,单调性,最值,不等式,零点问题。简称“切单最不零”,就北京卷的理科而言,前四个都考了,甚至还反复考,比如单调区间问题,不等式问题,都是考了不只一次的,但是呢,零点问题在北京的理科试卷中就一直没有出现,你看最近两年的北京模拟考题理科中零点的题有那么多,你就能知道,其实大家都觉得应该考了,但是还是没有考,文科倒是考了,就是理科没有,2020年北京第一年文理不分科,嘻嘻,2020年高考,除了常规复习,遍历题型和方法之外,零点问题依然是导数题目的大热点。但,希望同学和家长注意,这个只是大热点,不是唯一考点。所以,该掌握的还是要掌握,踏踏实实总没错。
第20题,这个是我写的解答。相对还是比较容易理解的,考试的话写精炼一点,三分之一篇幅差不多就够了。





20题难度还是可以的,比去年20题难一点,但是还是基本能做出来的,提前一年时间训练。考场上能留出30分钟,搞定这个题目还是有希望的。
这就是20个题目的解析。
总体上而言,今年北京卷比去年难了一点,整体还是简单的,2020年高考是北京的第一次文理不分科,数学一张卷。题目难度应该会照顾到所有的同学,大家不用慌。题目还是体现北京卷的特点,稳稳当当的,不会出现特别难的情况,大家踏踏实实复习,未来高分还是可期的。