鸡兔同笼问题是小学阶段非常经典的数学问题,可以这么说,所有的小学生都学习过或见识过鸡兔同笼问题,而且有不少学生还为此吃尽了苦头。为什么鸡兔同笼问题在中国这么“流行”呢?因为这个问题本身就是我们中国人提出来的。
友情提示,本篇文章约6000字,全文阅读约12分钟。建议收藏起来,这篇文章读后,孩子一定能搞定基础的鸡兔同笼问题。
我翻阅了一下中国古代的数学书籍《孙子算经》,里面就有关于鸡兔同笼问题的描述,在《孙子算经》里,鸡兔同笼问题被叫做雉兔同笼问题,原文是:今有雉、兔同笼,上有三十五头,下有九十四足。问:雉、兔各几何?翻译一下就是:鸡、兔在同一个笼子里,上面有35个头,下面有94只脚。问:鸡、兔各多少只?

为什么这道题这么经典,竟然被收录到《孙子算经》里面,就是因为这里面涉及到两种动物,两种动物的脚数不相同,需要通过假设、利用想象来进行求解,非常有利于训练学生的思维能力。
实际上,鸡兔同笼的解决方法非常多,我自己就总结了十几种,当然,大家不需要记住每种做法,事实上,有的做法也不见得是非常适合,只是用于拓展一下大家的思路,给出另类的解决方案,供大家学习参考。
下面我就把这些解法一一列出,快去找寻适合你的那种解题方法吧!
经典解法一:先易后难列表法
先介绍一种最最基础的做法,这种做法看起来比较“笨”,但是却有它的优点,具体的解决办法就是一个一个的数,一个一个地试。
首先列一个表格,在表格中可以看到,鸡和兔子的脚数不同,所以,对于不同只数的鸡和兔子,虽然它们的总数相等(都等于35只),但是脚数是变化的,我们将不同组合下的鸡和兔子的脚数分别列出来,以表格的形式展示如下:
|
鸡 |
35 |
34 |
33 |
32 |
31 |
30 |
…… |
23 |
|
兔 |
0 |
1 |
2 |
3 |
4 |
5 |
…… |
12 |
|
总脚数 |
70 |
72 |
74 |
76 |
78 |
80 |
94 |
列表的时候,我们先假设鸡有35只,那么兔子就只能是0只,这样就算出了总的脚数,然后将鸡的只数递减,兔子的只数递增,依次计算出总的脚数,最终能够计算出当鸡有23只,兔子有12只时,总脚数等于94只,符合题目中的条件,进而得到最终的结果。
实际上,在填写表格的时候,也不需要完全把所有的结果都计算出来,只需要填写几个空格,细心的同学通过观察数字的变化规律,就可以很轻松的判断出鸡和兔子的只数了。
很多学生和家长对这种方法不屑一顾,觉得这种方法既笨拙又麻烦,我并不这么认为,其实,对于小学低年级的学生而言,这种方法我倒是认为是最值得推荐的方法,因为在制作表格的过程中,学生需要 自主地去探索鸡、兔在数量变化的时候,总脚数的变化特点 ,通过动手绘制以及用眼观察,分析比较得出,由于兔子的脚比鸡多两只,所以当鸡数少1只,兔数多1只的时候,总脚数会增加2只的 规律性认识 。而这正是培养学生探索精神,提升学生数学思维的重要途径。
经典解法二:灵机一动假设法
鸡兔同笼的解法中,我个人 最喜欢的同时也是最推荐学生使用的就是假设法 ,因为假设法几乎能够解决所有类型的鸡兔同笼问题,即使题目进行了很大的改编和变形,假设法都能有效的对题目进行解析,当然,对于一些变形的鸡兔同笼问题,用假设法会比较烧脑。在实际应用中,假设法几乎是最经典,最有效率的一种方法,学生运用假设,将不同的情形(鸡和兔子的脚数不同)转化成相同的情形,有利于简化问题,理清思路 。
鸡兔同笼问题的难点就在于每只鸡和每只兔子的脚数是不同的,这是问题的难点,但也是解决问题的关键点或者说是突破口,假设鸡和兔子的脚数相同,那么,题目就会大大简化,将 复杂问题简单化 ,是解决数学问题的常见思路。
假设一: 所有兔子都站起来,藏起2只脚。这样的话,每只鸡和每只兔子的脚数就相等了,都是2只,在这种情况下,一共有35个头,也就是说一共有35只动物,每个动物有2只脚,那么总的脚数=35×2=70只,这比题目给出的94只脚少了24只,想一想为什么少了?因为每只兔子都站了起来,收起了2只脚,一只兔子少2只脚,一共少了24只脚,所以一共有24÷2=12只兔子,再用35-12=23就是鸡的数量。

假设二: 我们也可以把鸡假设成兔子,此时,所有鸡增加2只脚。这样的话,每只鸡和每只兔子的脚数就相等了,(都是4只),在这种情况下,一共有35个头,也就是说一共有35只动物,每个动物有4只脚,那么总的脚数=35×4=140只,这比题目给出的94只脚多了46只,想一想为什么这次脚又多了呢?因为每只鸡都多了2只脚,一只鸡多2只脚,一共多了46只脚,所以一共有46÷2=23只鸡,再用35-23=12就是兔子的数量。
实际上,假设法不仅能做出经典的鸡兔同笼问题,对于一些鸡兔同笼变形题,包括分组法解决的鸡兔同笼问题,都能很好地解决,大家要不断地用假设法去尝试解决这类问题。
经典解法三:公平交换代换法
实际上,我们还可以用一二年级时学到的变量代换的方法求解鸡兔同笼问题。用红圆圈代表鸡,用蓝圆圈代表兔子。根据题意,我们可以列出下面的算式:

这种方法也是我非常推荐的,因为这种方法虽然只是用到了一二年级的知识,但实质上却是 方程思想 的初步应用,是设未知数求解问题的雏形,在这道题中,我们分别用红圈和蓝圈代表鸡和兔子,本质上就是一种数学抽象,对提升学生的分析归纳问题能力有非常好的作用和效果。
当然,这种做法对四年级以下的学生来说,听是能听懂的,但让他们再做一次恐怕有些难度,因为这种做法的实质是方程解法,只不过用符号代替了x、y,对低年级的学生来说是有一定难度的。
我比较建议家长用这种方法尝试给孩子讲一下,看看孩子的反应,也看看孩子在今后遇到鸡兔同笼问题时,会采用哪一种方法,可以据此做一个对孩子理解力的初步判断,如果他仍然愿意并能够使用这种方法解决鸡兔同笼问题,那我觉得是可以提前给他讲讲方程的。
经典解法四:一目了然图形法
鸡兔同笼问题当然还可以采用图形的方法来解决,比如,下面我先用线段表示鸡和兔,蓝色的线段代表鸡的只数,红色线段代表兔的只数。

我们知道,一只鸡2只脚,一只兔子4只脚,我们在上图的基础上,向外拓展一下,形成下面的图形。

可见,蓝色区域的面积等于鸡×2,即鸡的脚数,红色区域的面积等于兔×4,即兔子的脚数。
这里边有一个条件我们不要忽略了,那就是鸡和兔子的数量一共是35只。这样我们就可以构建出下面的图形。

从上图中可以计算出35×4=140,是整个图形的面积,从上面的分析中可以知道,多出来的阴影部分面积应该等于140-94=46,而这个长方形的宽=4-2=2,那么长就应该等于46÷2=23,也就是鸡的数量,进而我们可以得出兔子的数量是35-23=12只。
这种方法也是我比较推荐的,并不是说它计算得有多么快,多么便捷,而是说这种方法为我们拓宽了求解鸡兔同笼问题的视野,使我们从呆板单一的数字运算中,愉快地过渡到图形的世界之中,对于启发学生的数形结合思想,激发学生的创造力非常有帮助。
说到这里我要提醒一下家长,我用面积的方法来讲,家长们应该能看懂,但实际上,三年级的学生,如果按照课本的知识点讲解进度来说,这种方法可能是他听不懂的,当然,也有部分学生能听懂。
这种方法的表现是数形结合,实质是面积概念中的这个“积”的应用,所谓的积就是两个数相乘,从算式来看,就是35×4,从图形来看,就是长35,宽4的一个长方形的图形面积,显然,我们可以 用图形的面积来代表两个数的乘积 ,这种思路会不会启发学生去解决行程问题,浓度问题,工程问题呢?
经典解法五:简单粗暴设x
设鸡有x只,因为鸡和兔子一共有35只,那么兔子就有35-x只,根据题意,一只鸡2只脚,所以鸡的脚数是2x只,一只兔子4只脚,所以兔子的脚数是4×(35-x),我们知道总脚数是94只,所以可以列出下面的算式:
2x+(35-x)×4=94,解出x=23,即鸡有23只,所以兔子是12只。
对于高年级的学生,我是非常推荐用这种方法解题的,可以这么说, 对于高年级的学生,设未知数的方法是首选的方法 。因为设未知数列方程的方法既是最快的又是最简洁的,长期运用方程思想求解实际问题,对于提升学生的问题抽象能力有非常大的帮助。不过对于低年级的学生,我还是觉得应该慎重地向他们讲述此种方法,因为过早的学习方程解法,一方面对于低年级的学生来说,他们的认知水平有限,会造成他们的认知困扰,就像上面介绍的等量代换的方法一样,孩子能听懂,但自己动手做不出来。另一方面,如果他们能够理解并熟练掌握此种方法,一定会放弃其他的方法,这对于培养他们的探索能力、数形结合能力、分析归纳能力来说,简直就是个灾难!
经典接法六:二元一次方程组
好吧,我承认用二元一次方程组来解鸡兔同笼问题有点儿小题大做了,但这确实也是一种比较好的方法。
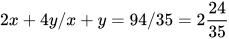
设鸡有x只,兔子有y只,那么根据题意,我们可以列出下面的方程组:
x+y=35 ①
2x+4y=94 ②
把第一个式子左右都乘以2,得到2x+2y=70 ③
再用②-③,得到2y=24,进而求得y=12,即兔子有12只,鸡有35-12=23只。
这种方法确实是简单粗暴,但问题是很多学生掌握不了,确实有他的局限性,对学有余力的学生,理解能力较强的学生,可以尝试讲这种方法。
经典解法七:图解法求解二元一次方程组
刚才提到了可以用二元一次方程组求解这类鸡兔同笼问题,很多同学可能会感到比较陌生,这里,我再介绍一种用作图的方法,解决二元一次方程组,看看同学们是否能够理解。
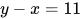
同样还是设鸡有x只,兔子有y只,那么根据题意,我们可以列出下面的方程组:
x+y=35 ①
2x+4y=94 ②
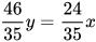
到这一步我们要开始变形了,用②÷①,得到

也就是平均每只动物有

只脚。

从图中课件,矩形ABMP是鸡兔的总脚数94,与矩形ACDE(鸡的脚数)和矩形CBFG(兔的脚数)的和相等,那么,矩形PQDE的面积就应该等于矩形GFMQ的面积。
这样,就有

即

所以

结合

得到

严格上说,这里的

孕育着混合物加权平均的思想!
经典解法八:可爱乖萌的金鸡独立法
一只鸡2只脚,一只兔子4只脚,我们让它们的脚数都减少一半,也就是让鸡单脚着地,来一个金鸡独立,让兔子前肢收齐,两个后腿撑地,像下图那样。


这时,它们总的脚数应该是最初时的一半,即94÷2=47只。我们注意观察一下,此时,一只鸡有1只脚,头脚是一一对应的,一只兔子有2只脚,每只兔子的脚数比头数多1个。现在的情况是一共35个头,46只脚,鸡是头脚一一对应是不多的,那么多出来的脚都是兔子的,所以有兔子47-35=12只,知道了兔子的只数,很容易就算出鸡的只数是23只了。
这种方法从表面上看和假设法十分相似,但如果你仔细分析后就会发现,这种方法的妙处在于通过金鸡独立,鸡的 头数和脚数一一对应 了,一个头对应一只脚,那么多出来的脚就是兔子的了。因此,这种方法告诉我们一种解题思路: 将其中一个动物的头脚数做到一比一 ,这样,总脚数与总头数之差就是另一个动物的脚数与头数之差,在这种情况下,问题得到了简化,直接可以算出另一个动物的只数。
经典解法九:滑稽搞笑的吹哨法
听口令:抬起一只脚!这时,鸡展示了它金鸡独立的功夫,兔子则蹑手蹑脚地抬起了一只脚。


此时,每个动物都少了一只脚,一共有35个动物,就是少了35只脚,现在的总脚数是94-35=59只。听口令:再抬起一只脚!这时,鸡整个蹲了下来,兔子则是两只后腿着地,如图所示:


此时,总脚数=59-35=24,注意观察我们发现,鸡已经没有脚了,也就是说剩下的24只脚都是兔子的,我们看图,现在的兔子有2只脚,一共24只脚,那么兔子就应该有24÷2=12只,那么,鸡就是35-12=23只。
对这种解法,我只能说I服了U。这种解法的妙处就在于通过两次吹哨,把鸡的腿变没了, 彻底把题目简化成兔子的头脚问题 ,这种思路非常值得大家学习,如果孩子对鸡兔同笼问题感兴趣,我倒是建议家长可以尝试给孩子讲讲这种方法,激发他们继续探索解题方法的热情。
这种方法和假设法是有区别的,实际上,和上面提到的金鸡独立法也有区别,请同学们认真思考这三种方法的区别到底在什么地方。
经典解法十:插翅难飞法
一只鸡2只脚,一只兔子4只脚,但是鸡会飞啊,来一个大鹏展翅。

这个时候我们再来看看,一只鸡2脚2翅,也算是凑足了四肢了,这样,35个动物,每个动物都是四肢,一共有35×4=140,比题目中的94只脚多了46,这46就是展开的翅膀,我们知道一只鸡2只翅膀,所以46只翅膀就是46÷2=23只鸡,兔子就是35-23=12只。
这种解法本质上是假设法的一种变形,假设所有的动物都是兔子,都有四只脚(此方法认为是2脚2翅膀),然后运用假设法把题目做出来。不过,这种方法和假设法不同之处,在于运用了图形和想象,这样,有助于学生更好地理解。和上面介绍的吹哨法有异曲同工之妙。
经典解法十一:调转乾坤平均法
出于对求解题目计算的简化,我们把题目稍作修改,鸡兔共有20个头,共有50只脚。我们来看如何用平均法求解。
一只鸡2只脚,一只兔子4只脚,那么它们混合在一起,平均一个动物的脚数应该是大于2小于4的。从题目中我们可以看出,20个头,50只脚,平均下来一个动物2.5只脚(这是什么怪物?!)我们用线来表示如下:

我们把一只鸡2只脚,一只兔子4只脚也标记在线上。

从上图中可以看出,一只兔子的脚数比平均数多了1.5只,一只鸡的脚数比平均数少了0.5只,我们可以这么理解,一只兔子比平均数多出的1.5只脚,需要3只鸡来“拉平”,即一只兔子配3只鸡,可以配出2.5只脚的效果,这样,我们把动物一共分成4份,鸡占了3份,兔子占了1份。鸡就是20×¾=15只,兔子就是20×¼=5只。
对于学有余力的同学,极力推荐用这种方法思考鸡兔同笼问题。 因为这种方法把鸡兔同笼问题和平均数问题联系在一起,对于提高对平均数的理解大有好处。不过这种方法由于涉及到各项占比的情况,所以对题目中数字的要求较高,计算的时候需要格外注意。
这种方法我觉得至少要等到孩子四年级下学期才能讲给孩子听,否则,无论是平均数的理解,还是所谓的占比(比和比例都是五年级下或者六年级的内容了),他听起来都会很吃力,当然,如果孩子很聪明,也有三年级的孩子能够听懂这种方法,甚至习惯于用这样的方法来解题的。
经典解法十二:
其实,这道题还可以这样考虑,既然鸡、兔的总头数是35,如果能求出鸡兔头数之差,把问题转化成和差问题,再利用和差公式就很容易算出两种动物的只数了。
如下图所示,设鸡有x只,有2x只脚(蓝色矩形),兔子有y只,有4y只脚(黄色矩形)。那么,两个蓝色矩形与两个黄色矩形一起,拼成了一个大的正方形ABCD,中间则形成一个中空的矩形PQMN。

矩形ABCD的面积是:

它等于两个蓝色矩形的面积加上两个黄色矩形面积,再加上中间中空的白色矩形PQMN的面积。
因此,有:

则

再利用和差公式,很容易求出

我是优博数学,中科院理学博士,关注我带给你更多学习方法和解题思路方面的干货内容。
