导读:无论你的工作内容是什么,掌握一定的数据分析能力,都可以帮你更好的认识世界,更好的提升工作效率。数据分析除了包含传统意义上的统计分析之外,也包含寻找有效特征、进行机器学习建模的过程,以及探索数据价值、找寻数据本根的过程。
作者:马海平 于俊 吕昕 向海
本文摘编自《Spark机器学习进阶实战》,如需转载请联系我们
01 数据分析流程
数据分析可以帮助我们从数据中发现有用信息,找出有建设性的结论,并基于分析结论辅助决策。如图1所示,数据分析流程主要包括业务调研、明确目标、数据准备、特征处理、模型训练与评估、输出结论等六个关键环节。

▲图1 数据分析流程
数据分析能力并非一朝一夕养成的,需要长期扎根业务进行积累,需要长期根据数据分析流程一步一个脚印分析问题,培养自己对数据的敏感度,从而养成用数据分析、用数据说话的习惯。当你可以基于一些数据,根据自己的经验做出初步的判断和预测,你就基本拥有数据思维了。
02 数据分析基本方法
数据分析是以目标为导向的,通过目标实现选择数据分析的方法,常用的分析方法是统计分析,数据挖掘则需要使用机器学习构建模型。接下来介绍一些简单的数据分析方法。
1. 汇总统计
统计是指用单个数或者数的小集合捕获很大值集的特征,通过少量数值来了解大量数据中的主要信息,常见统计指标包括:
- 分布度量:概率分布表、频率表、直方图
- 频率度量:众数
- 位置度量:均值、中位数
- 散度度量:极差、方差、标准差
- 多元比较:相关系数
- 模型评估:准确率、召回率
汇总统计对一个弹性分布式数据集RDD进行概括统计,它通过调用Statistics的colStats方法实现。colStats方法可以返回RDD的最大值、最小值、均值、方差等,代码实现如下:
import org.apache.spark.MLlib.linalg.Vector
import org.apache.spark.MLlib.stat.{MultivariateStatisticalSummary, Statistics}
// 向量[Vector]数据集
val data: RDD[Vector] = ...
// 汇总统计信息
val summary: statisticalSummary = Statistics.colStats(data)
// 平均值和方差
println(summary.mean)
println(summary.variance)
2. 相关性分析
相关性分析是指通过分析寻找不用商品或不同行为之间的关系,发现用户的习惯,计算两个数据集的相关性是统计中的常用操作。
在MLlib中提供了计算多个数据集两两相关的方法。目前支持的相关性方法有皮尔逊(Pearson)相关和斯皮尔曼(Spearman)相关。一般对于符合正态分布的数据使用皮尔逊相关系数,对于不符合正态分布的数据使用斯皮尔曼相关系数。
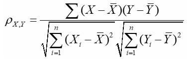
皮尔逊相关系数是用来反映两个变量相似程度的统计量,它常用于计算两个向量的相似度,皮尔逊相关系数计算公式如下:

其中X, Y表示两组变量,X', Y'表示两个变量的平均值,皮尔逊相关系数可以理解为对两个向量进行归一化以后,计算其余弦距离(即使用余弦函数cos计算相似度,用向量空间中两个向量的夹角的余弦值来衡量两个文本间的相似度),皮尔逊相关大于0表示两个变量正相关,小于0表示两个变量负相关,皮尔逊相关系数为0时,表示两个变量没有相关性。
调用MLlib计算两个RDD皮尔逊相关性的代码如下,输入的数据可以是RDD[Double]也可以是RDD[Vector],输出是一个Double值或者相关性矩阵。
import org.apache.spark.SparkContext
import org.apache.spark.MLlib.linalg._
import org.apache.spark.MLlib.stat.Statistics
// 创建应用入口
val sc: SparkContext = ...
// X变量
val seriesX: RDD[Double] = ...
// Y变量,分区和基数同seriesX
val seriesY: RDD[Double] = ...
// 使用Pearson方法计算相关性,斯皮尔曼的方法输入“spearman”
val correlation: Double = Statistics.corr(seriesX, seriesY, "pearson")
// 向量数据集
val data: RDD[Vector] = ...
val correlMatrix: Matrix = Statistics.corr(data, "pearson")
皮尔逊相关系数在机器学习的效果评估中经常使用,如使用皮尔逊相关系数衡量推荐系统推荐结果的效果。
3. 分层抽样
分层抽样先将数据分为若干层,然后再从每一层内进行随机抽样组成一个样本。MLlib提供了对数据的抽样操作,分层抽样常用的函数是sampleByKey和sampleByKeyExact,这两个函数是在key-value对的RDD上操作,用key来进行分层。
其中,sampleByKey方法通过掷硬币的方式进行抽样,它需要指定需要的数据大小;sampleByKeyExact抽取fkey·nkey个样本,fkey表示期望获取键为key的样本比例,nkey表示键为key的键值对的数量。sampleByKeyExact能够获取更准确的抽样结果,可以选择重复抽样和不重复抽样,当withReplacement为true时是重复抽样,false时为不重复抽样。重复抽样使用泊松抽样器,不重复抽样使用伯努利抽样器。
分层抽样的代码如下:
import org.apache.spark.SparkContext
import org.apache.spark.SparkContext._
import org.apache.spark.rdd.PairRDDFunctions
val sc: SparkContext = ...
// RDD[(K, V)]形式的键值对
val data = ...
//指定每个键所需的份数
val fractions: Map[K, Double] = ...
//从每个层次获取确切的样本
val approxSample = data.sampleByKey(withReplacement = false, fractions)
val exactSample = data.sampleByKeyExact(withReplacement = false, fractions)
通过用户特征、用户行为对用户进行分类分层,形成精细化运营、精准化业务推荐,进一步提升运营效率和转化率。
4. 假设检验
假设检验是统计中常用的工具,它用于判断一个结果是否在统计上是显著的、这个结果是否有机会发生。通过数据分析发现异常情况,找到解决异常问题的方法。
MLlib目前支持皮尔森卡方检验,对应的函数是Statistics类的chiSqTest,chiSqTest支持多种输入数据类型,对不同的输入数据类型进行不同的处理,对于Vector进行拟合优度检验,对于Matrix进行独立性检验,对于RDD用于特征选择,使用chiSqTest方法进行假设检验的代码如下:
import org.apache.spark.SparkContext
import org.apache.spark.MLlib.linalg._
import org.apache.spark.MLlib.regression.LabeledPoint
import org.apache.spark.MLlib.stat.Statistics._
val sc: SparkContext = ...
// 定义一个由事件频率组成的向量
val vec: Vector = ...
// 作皮尔森拟合优度检验
val goodnessOfFitTestResult = Statistics.chiSqTest(vec)
println(goodnessOfFitTestResult)
// 定义一个检验矩阵
val mat: Matrix = ...
// 作皮尔森独立性检测
val independenceTestResult = Statistics.chiSqTest(mat)
// 检验总结:包括假定值(p-value)、自由度(degrees of freedom)
println(independenceTestResult)
// pairs(feature, label).
val obs: RDD[LabeledPoint] = ...
// 独立性检测用于特征选择
val featureTestResults: Array[ChiSqTestResult] = Statistics.chiSqTest(obs)
var i = 1
featureTestResults.foreach { result =>
println(s"Column $i:\n$result")
i += 1
}
03 简单的数据分析实践
为了更清楚的说明简单的数据分析实现,搭建Spark开发环境,并使用gowalla数据集进行简单的数据分析,该数据集较小,可在Spark本地模式下,快速运行实践。
实践步骤如下:
1)环境准备:准备开发环境并加载项目代码;
2)数据准备:数据预处理及one-hot编码;
3)数据分析:使用均值、方差、皮尔逊相关性计算等进行数据分析。
简单数据分析实践的详细代码参考:ch02\GowallaDatasetExploration.scala,本地测试参数和值如表1所示。

▲表1 本地测试参数和值
1. 环境准备
Spark程常用IntelliJ IDEA工具进行开发,*载下**地址:www.jetbrains.com/idea/,一般选择Community版,当前版本:ideaIC-2017.3.4,支持Windows、Mac OS X、Linux,可以根据自己的情况选择适合的操作系统进行安装。
(1)安装scala-intellij插件
启动IDEA程序,进入“Configure”界面,选择“Plugins”,点击安装界面左下角的“Install JetBrains plugin”选项,进入JetBrains插件选择页面,输入“Scala”来查找Scala插件,点击“Install plugin”按钮进行安装。(如果网络不稳定,可以根据页面提示的地址*载下**,然后选择“Install plugin from disk”本地加载插件),插件安装完毕,重启IDEA。
(2)创建项目开发环境
启动IDEA程序,选择“Create New Project”,进入创建程序界面,选择Scala对应的sbt选项,设置Scala工程名称和本地目录(以book2-master为例),选择SDK、SBT、Scala版本(作者的开发环境:Jdk->1.8.0_162、sbt->1.1.2、scala->2.11.12),点击“Finish”按钮完成工程的创建。
导入Spark开发包,具体步骤为:File->Project Structure->Libraries->+New Project Library(Java),选择spark jars(如:spark-2.3.0-bin-hadoop2.6/jars)和本地libs(如:\book2-master\libs,包括:nak_2.11-1.3、scala-logging-api_2.11-2.1.2、scala-logging-slf4j_2.11-2.1.2)。
(3)拷贝项目代码
拷贝源代码中的2rd_data、libs、output、src覆盖本地开发项目目录,即可完成开发环境搭建。
除此之外,也可以通过Maven方式Import Project。
2. 准备数据
我们提供的数据格式:
用户[user] 签到时间[check-in time] 维度[latitude] 精度[longitude] 位置标识[location id]
数据样例如下:

准备数据的步骤如下。
(1)数据清洗
在数据清洗阶段过滤掉不符合规范的数据,并将数据进行格式转换,保证数据的完整性、唯一性、合法性、一致性,并按照CheckIn类填充数据,具体实现方法如下:
// 定义数据类CheckIn
case class CheckIn(user: String, time: String, latitude: Double, longitude: Double, location: String)
// 实例化应用程序入口
val conf = new SparkConf().setAppName(this.getClass.getSimpleName).setMaster(mode)
val sc = new SparkContext(conf)
val gowalla = sc.textFile(input).map(_.split("\t")).mapPartitions{
case iter =>
val format = DateTimeFormat.forPattern("yyyy-MM-dd\'T\'HH:mm:ss\'Z\'")
iter.map {
// 填充数据类
case terms => CheckIn(terms(0), terms(1).substring(0, 10), terms(2).toDouble, terms(3).toDouble,terms(4))
}
}
(2)数据转换
在数据转化阶段,将数据转换成Vectors的形式,供后面数据分析使用。
// 字段:user, checkins, checkin days, locations
val data = gowalla.map{
case check: CheckIn => (check.user, (1L, Set(check.time), Set(check.location)))
}.reduceByKey {
// 并集 union
case (left, right) =>(left._1 + right._1,left._2.union(right._2),left._3.union(right._3))
}.map {
case (user, (checkins, days:Set[String], locations:Set[String])) =>
Vectors.dense(checkins.toDouble,days.size.toDouble,
locations.size.toDouble)
}
3. 数据分析
通过简单的数据分析流程,实现均值、方差、非零元素的目录的统计,以及皮尔逊相关性计算,来实现对数据分析的流程和方法的理解。
简单的数据分析代码示例如下:
// 统计分析
val summary: MultivariateStatisticalSummary = Statistics.colStats(data)
// 均值、方差、非零元素的目录
println("Mean"+summary.mean)
println("Variance"+summary.variance)
println("NumNonzeros"+summary.numNonzeros)
// 皮尔逊
val correlMatrix: Matrix = Statistics.corr(data, "pearson")
println("correlMatrix"+correlMatrix.toString)
简单数据分析应用运行结果如下:
均值:[60.16221566503564,25.30645613117692,37.17676390393301]
方差:[18547.42981193066,1198.630729157736,7350.7365871949905]
非零元素:[107092.0,107092.0,107092.0]
皮尔逊相关性矩阵:
1.0 0.7329442022276709 0.9324997691135504
0.7329442022276709 1.0 0.5920355112372706
0.9324997691135504 0.5920355112372706 1.0
本文摘编自《Spark机器学习进阶实战》,经出版方授权发布。

延伸阅读《Spark机器学习进阶实战》