一、定义
设函数y=f(x)在点x0的某个邻域内有定义,当自变量x在x0处有增量Δx,(x0+Δx)也在该邻域内时,相应地函数取得增量Δy=f(x0+Δx)-f(x0);如果Δy与Δx之比当Δx→0时极限存在,则称函数y=f(x)在点x0处可导,并称这个极限为函数y=f(x)在点x0处的导数记作f'(x0)或df(x0)/dx。
利用定义法求导步骤:
1.求增量Δy。
2.算比值Δy/Δx。
3.Δx→0,Δy/Δx→常数。

二、几何意义
函数y=f(x)在x0点的导数f'(x0)的几何意义:表示曲线在点P(x0,f(x0))处的切线的斜率(导数的几何意义是该函数曲线在这一点上的切线斜率)。
曲线y=f(x)在点P(x0,f(x0))处的切线斜率是f'(x0),切线方程为y-y0=f'(x0)(x-x0)。

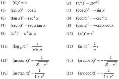
三、常见函数的导数

四、导数的四则运算
两个函数的和(或差)的导数,等于这两个函数的导数的和(或差)。即:(u±v)'=u'±v'。
两个函数积的导数,等于第一个函数的导数乘以第二个函数,加上第一个函数乘以第二个函数的导数。即:(uv)'=u'v+uv'。
两个函数商的导数,等于分子的导数与分母的积,减去分母的导数与分子的积,再除以分母的平方。即(u/v)'=(u'v-uv')/v^2。

五、复合函数求导方法
设u=g(x),则f(u)求导得:f'(x)=f'(u)·g'(x).

六、函数的单调性判别
函数在某区间内可导,若导数大于零,则单调递增;若导数小于零,则单调递减。
已知函数为递增函数,则导数大于等于零;已知函数为递减函数,则导数小于等于零。
可导函数的单调性,可按如下步骤确定:
1.确定函数的定义域;
2.求函数的导数,令导数值等于零,求出分界点;
3.根据分界点将定义域分成若干开区间;
4.判断函数的导数在各个开区间内的符号,即可判定函数的单调性。

七、函数的极值与最值
函数的极值的定义:若函数f(x)在x0的一个邻域D有定义,且对D中除x0的所有点,都有f(x)<f(x0),则称f(x0)是函数f(x)的一个极大值。
同理,若对D的所有点,都有f(x)>f(x0),则称f(x0)是函数f(x)的一个极小值。
函数的最值:最小值即定义域中函数值的最小值,最大值即定义域中函数值的最大值。
①函数的最值点必在函数的极值点或者区间的端点处取得。
②函数的极值可以有多个,但最值只有一个。

八、导数的综合运用
1.利用导数证明不等式

2.根与零点问题


3.导数应用题
