2022高二上学期阶段测试卷数学 (高二数学阶段测试卷答案)

#教育听我说#

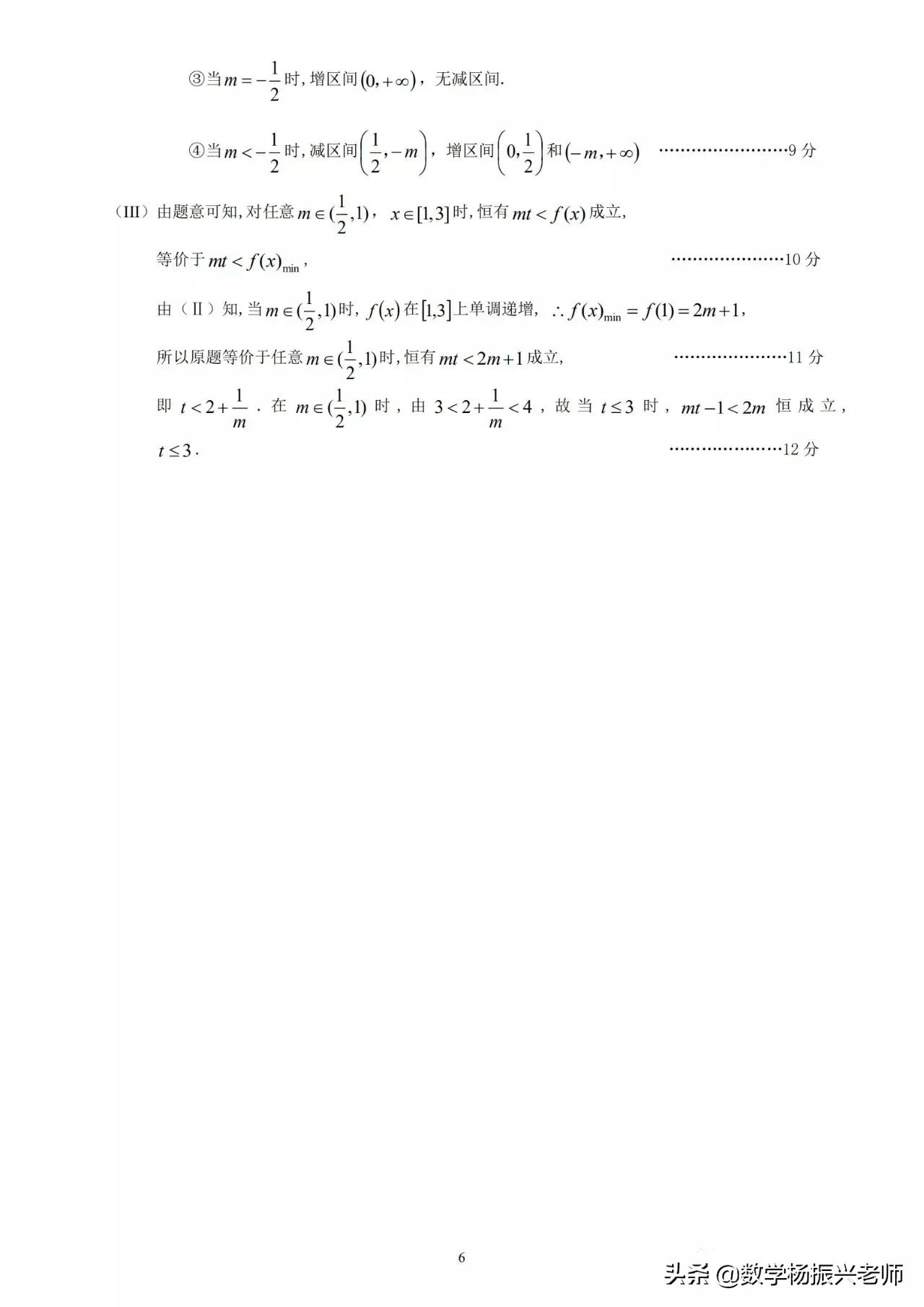
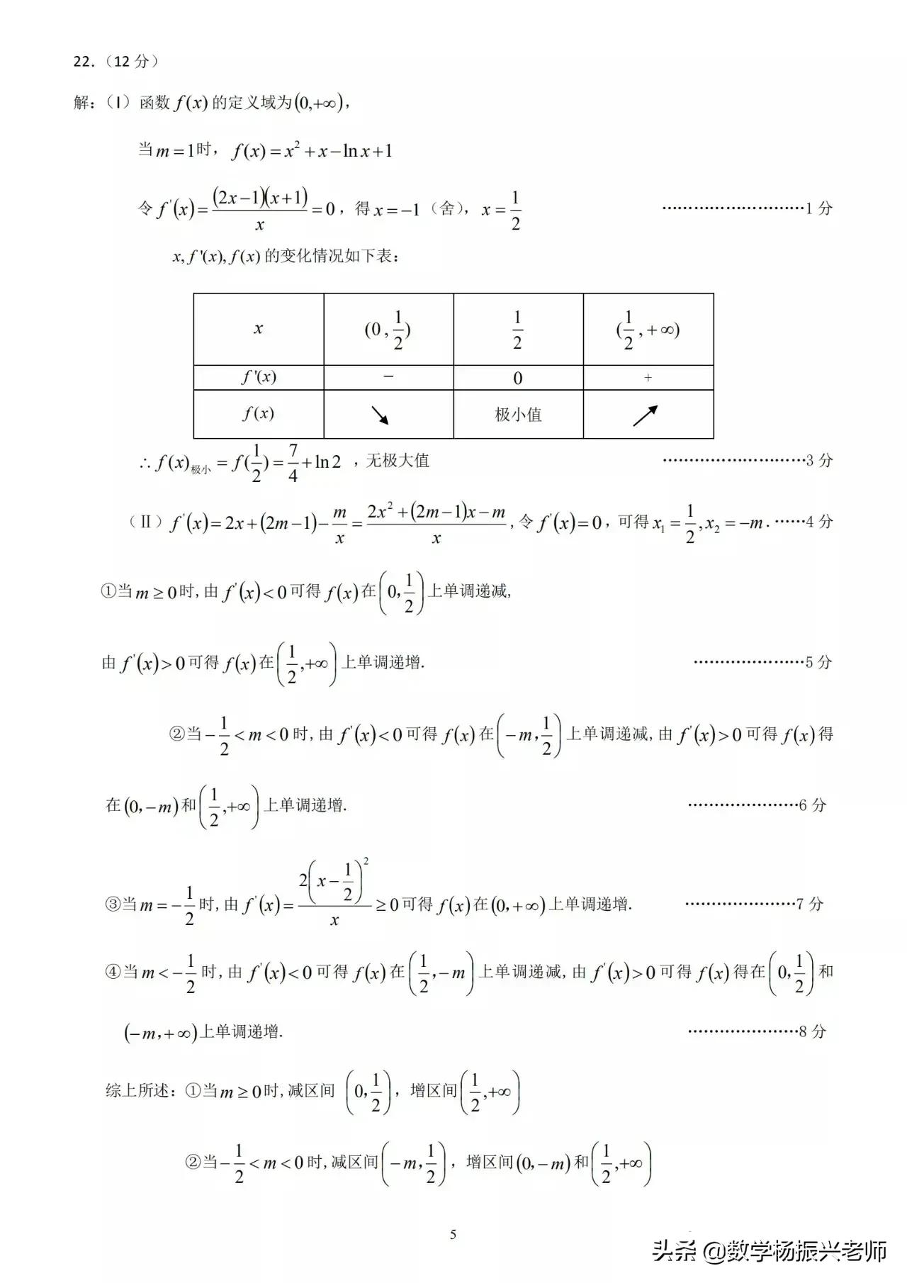
2022年高二数学期中考试试卷,2021年初二数学期中测试卷答案

2022年高二数学期中考试试卷,2021年初二数学期中测试卷答案

2022年高二数学期中考试试卷,2021年初二数学期中测试卷答案

2022年高二数学期中考试试卷,2021年初二数学期中测试卷答案

2022年高二数学期中考试试卷,2021年初二数学期中测试卷答案

2022年高二数学期中考试试卷,2021年初二数学期中测试卷答案

2022年高二数学期中考试试卷,2021年初二数学期中测试卷答案

2022年高二数学期中考试试卷,2021年初二数学期中测试卷答案

2022年高二数学期中考试试卷,2021年初二数学期中测试卷答案

2022年高二数学期中考试试卷,2021年初二数学期中测试卷答案

高二数学同步练

¥44.6

购买