
尽管在本文中没有提到组合问题,但本章的大部分内容都属于组合分析的范畴。 本文的另一个主要主题是围绕各种类型的系列扩展。 但是,本文中最深入,最有趣的结果是Entry 10,它分隔了两个主要主题,但与前者有一些联系。 条目10为大型幂级数提供了一种非常通用且可能非常有用的渐近展开。与第2章一样,Ramanujan非常简要地概述了他的一些发现的证据,包括Entry 10。
本文的某些结果可以追溯到Lambert,Lagrange,Euler,Rothe,Abel等。 另一方面,其他未意识到拉马努金在本文中的工作又被其他人重新发现。 例如,单变量Bell多项式首先由J.Touchard在1933年和ET Bell在1934年进行了全面检查,但是Ramanujan在第3章中已经发现了这些多项式的许多性质。此外,还重新发现了许多其他结果,并且相当可观 在1950年代末和1960年代初普遍化。
本文的前9个部分总共包含45个公式。 这些结果大部分涉及Bell数和单变量Bell多项式的性质,并不是很难建立。
条目10非常有趣,并且肯定是本章中最难证明的结果。 Ramanujan提出了一系列幂级数的渐近展开,并提供了他的证明的草图。 但是,他的论点是形式上的,在数学上并不严格。 然后,他给出了该定理的三个非常有趣的应用。 不幸的是,因为这些应用都没有满足他的形式论证中所隐含的假设。 我们以比他的论点所隐含的假设弱得多的假设来建立拉马努詹的渐近公式。 拉曼努扬的三个例子被认为是我们定理的特例。 可以预见,我们的攻击方法与拉马努詹的攻击方法有很大不同,但是由于他的论点很有趣,因此我们将对其进行概述。
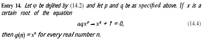
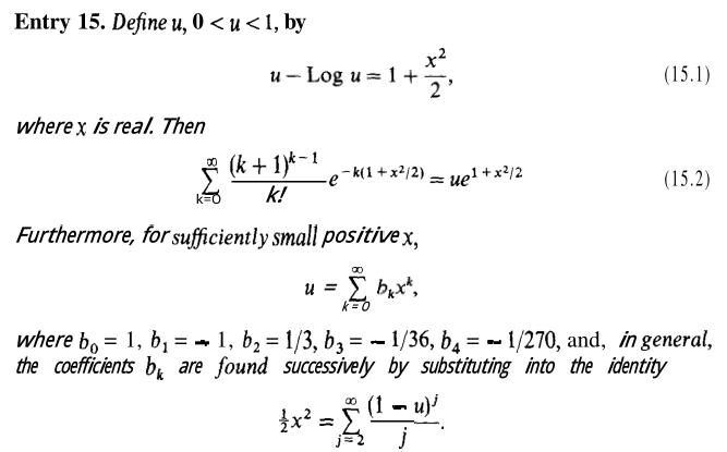
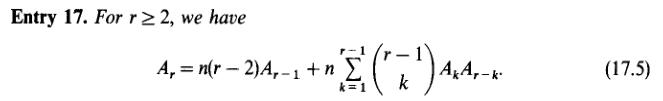
第11至17节的内容与第1至9节无关。 但是,证明有些强大。关键问题是要按一定级数表达x的幂,其中x是特定方程式的根。这个主题似乎始于Lambert,Lagrange和Euler的作品,并且历史悠久。这些扩展可通过拉格朗日反演定理得出。这个定理可以在卡尔的书中找到,而拉马努詹的季报也证明了他对拉格朗日定理非常熟悉。但是,正如季度报告进一步指出的那样,拉马努扬拥有另一种技术,确实是一种非常巧妙,新颖的技术,可以用来进行这些扩展。条目13是拉马努詹理论的核心,也是几项理论的基础。续集中的变化。条目15的示例1是一个非常有趣的结果。文献中似乎没有对条目16和17进行扩展,它们似乎是进一步开展富有成果的研究的基础。
条目1:

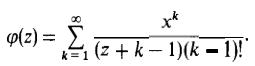
条目2:
有复数x和z,定义一个式子:

然后有:

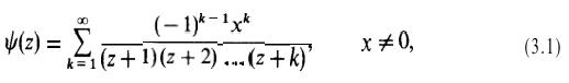
条目3:
有一个方程是

是一个亚纯函数,有无穷大点。
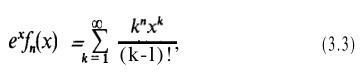
条目4:a和x为任一复数得:

其中:

条目5:每一个非负整数n,

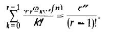
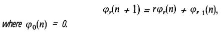
条目6:n为非负整数,r为整数,r<=n+1,然后有:

条目7:整数n和r,满足1<= r <=n+1,然后有:

推论:

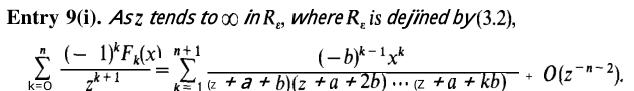
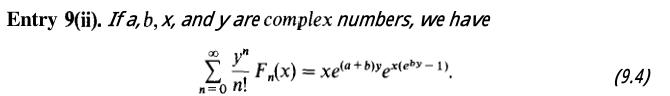
条目9:






条目10:


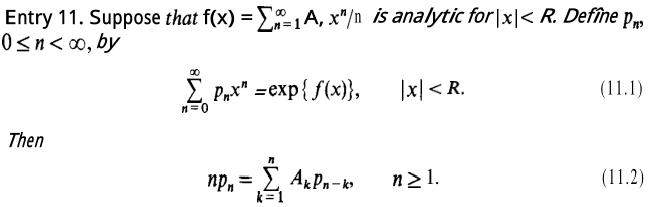
条目11:

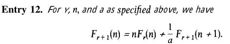
条目12:

条目14:

条目15:

条目16:


条目17:
