
2008年考研农学门类联考《化学》真题及详解
一、单项选择题(共30小题,每小题2分,共60分。下列每题给出的四个选项中,只有一个选项是符合题目要求的)
1 反应


时不能正向自发进行,但在1000K时能够正向自发进行,说明该反应( )。
A.

B.

C.

D.

【答案】B查看答案
【解析】高温条件下自发进行,低温条件下不能自发进行,反应吸热,所以

2 以波函数

表示原子轨道时,下列表示正确的是( )。
A.


B.

C.

D.

【答案】C查看答案
【解析】A项,l的取值范围为0~(n-1)的整数;B项,m取值为0,±1,…,±1;D项,l为0时,m只能取0。
3 有a、b、c三种主族元素,若a元素的阴离子与b、c元素的阳离子具有相同的电子结构,且b元素的阳离子半径大于c元素的阳离子半径,则这三种元素的电负性从小到大的顺序是( )。
A.b<c<a
B.a<b<c
C.c<b<a
D.b<a<c
【答案】A查看答案
【解析】由题可知a元素在b、c元素的上一个周期,又b元素的阳离子半径大于c元素的阳离子半径,可知b元素在c元素左侧。元素周期表中,电负性从左到右递增,从上到下递减。
4 由计算器计算(6.626×8.3145)÷(9.11×0.1000)的结果为60.474069,按有效数字运算规则,其结果应表示为( )。
A.60
B.60.5
C.60.47
D.60.474
【答案】B查看答案
【解析】根据有效数字运算规则,乘除法计算中按照有效数字最少的数字保留。
5 反应

的

,则

的

为( )。
A.

B.

C.

D.

【答案】A查看答案
【解析】根据公式

计算得

6 将某聚合物2.5g溶于100.0mL水中,在20℃时测得的渗透压为101.325Pa。已知

该聚合物的摩尔质量是( )。
A.

B.

C.

D.

【答案】C查看答案
【解析】渗透压计算公式为

,由c计算出该聚合物的摩尔质量。
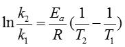
7 某反应在716K时,

;745K时,

,该反应的反应级数和活化能分别为( )。
A.1和-119.7kJ·mol-1
B.1和119.7kJ·mol-1
C.2和-119.7kJ·mol-1
D.2和119.7kJ·mol-1
【答案】D查看答案
【解析】根据克拉贝龙-克劳休斯方程:

可计算出反应级数和活化能。
8 用0.1000mol·L-1NaOH溶液滴定0.10mol·L-1

溶液,应选择的指示剂为( )。
A.溴甲酚绿
B.甲基红
C.酚酞
D.中性红
【答案】C查看答案
【解析】可知滴定产物为

为碱性物质。选项中只有酚酞的显色范围为碱性。
无机及分析化学
第1章 溶液和胶体
考点一、分散系的分类及特点
(1)按分散质和分散剂的集聚状态进行分类,可以把分散系分为固-液、液-液、气-液、固-固、液-固、气-固、固-气、液-气、气-气等九类。
(2)按分散质粒子直径大小进行分类,则可以将分散系分为三类,见表1-1。
表1-1 分散系分类

考点二、溶液浓度的表示方法(见表1-2)
表1-2 溶液浓度的表示方法

考点三、稀溶液的依数性
(1)概念
指溶液中溶剂的蒸汽压、沸点、凝固点和渗透压等只与溶液中溶质的分子数目有关,而与溶质的本身性质无关的性质。
(2)稀溶液的依数性的计算及其应用(见表1-3)
表1-3 稀溶液的依数性的计算及其应用

考点四、胶体溶液

(1)胶体溶液性质(见表1-4)
表1-4 胶体溶液性质

(2)胶团结构式的书写
AgI胶团结构简式:

麻烦大家关注+点赞,谢谢!!
来源:才聪学习网
点击:了解更多,*载下**更多考试资料!
#考研真题#