黑盒测试仅关注输入和输出,将程序看成一个黑盒子。在不遗漏需求的情况下,打开这个黑盒子,从代码实现的角度进行分析,可以更好的理解测试用例,帮助我们完善测试用例设计,更好地提升测试效果。

下面小编从一元多项式的加法和乘法运算程序进行系统阐述思路。
程序功能描述:设计程序分别求两个一元多项式的乘积与和。
(1)Input :输入分2行,每行分别先给出多项式非零项的个数,再以指数递降方式输入一个多项式非零项系数和指数,数字间以空格分隔
(2)Output:输出分2行,分别以指数递降方式输出乘积多项式以及和多项式非零项的系数和指数。零多项式应输出 0,0
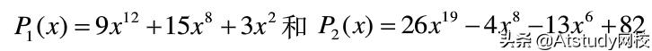
(3)举例:

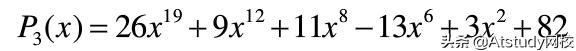
执行加法运算后的结果:

(4)程序输入及预期输出
Input:
3 9 12 15 8 3 2
4 26 19 -4 8 -13 6 82 0
Output:
234 31 390 27 78 21 -36 20 -117 18 -60 16 -195 14 738 12 -12 10 1191 8 246 2
26 19 9 12 11 8 -13 6 3 2 82 0
一、程序框架思考
(1)数据结构使用链表:链表较数组灵活、但较容易出错,因此比较适合在本文举例:

(2)程序架构如下:

i. 通过Creat( ) 函数构建链表,存储数据
ii. 通过multiple( ) 函数执行乘法运算并返回结果
iii. 通过add( ) 函数执行加法运算并返回结果
iv. 通过PrintLink( ) 函数打印结果
结合程序功能,从实现难度来看,multiple( ) 可能更容易出错。各子函数的具体实现在此不表,后面会结合测试点进行详细的阐述。
二、测试验证
1. 临界测试:录入 空多项式 运行程序,可以看到输出数据发生了混乱。

分析:通过排查代码发现,由于没有考虑 空指针场景(头指针的Next指向为NULL),指针指向了未知内存空间,导致数据异常。另外需要说明,空指针也会引发段错误 segmentation fault,这是我们在测试过程中、特别是项目初期较多遇到的情况:指针为空引发程序崩溃。
解决方法:增加头指针的Next为NULL的判定和处理。

2. 等价类测试
I. add( )
对于加法函数,它需要考虑三种基本情况:两个一元多项式进行比较,i.前者系数大于后者 ii.前者系数等于后者 iii.前者系数小于后者。If语句的三个分支对应了三个等价类测试点。

相较 i , iii 两种情况,问题容易出现在 ii 两者系数相等:这里需要考虑一个较特殊的场景,当相加后的系数为0时,相关数据不记录,同时需要通过free( ) 函数释放对应的内存空间。
因此在设计对应的测试用例时,需要考虑系数相加为0的场景,在判定输出的同时,同步关注内存占用情况。

II. multiple( )
乘法函数较加法函数复杂一些,需要通过两层while循环 、 insert() 子函数完成功能实现:

两层while循环模拟 两个一元多项式相乘的步骤,insert( ) 将产生的结果插入到结果链表中。因此需要同步关注insert( )子函数。没有在multiple( )中直接实现insert功能,是程序编写的基本规则:避免代码冗余、增加灵活性。Insert( )部分代码如下:

我们可以看到,这里的测试点类似于add( )函数,也需要考虑三种情况:指数大于、指数小于、指数相等。其中 指数相等的情况,会触发系数相加操作,当结果为0时,需要通过free( )函数进行内存释放。

因此在设计测试用例时,需要进行全面考虑,不要遗漏系数相加为0的场景,同步关注内存占用。
3. 关于循环
分支和循环是程序代码中最常见的两个场景,从灰盒测试角度,分支对应于测试设计中的等价类划分,循环可以对应边界值。
程序可能会在分支或循环处发生异常,比如没有正常退出循环,严重情况会导致程序崩溃,程序进入死循环。
举个例子
描述:执行连接操作,人为使Sender进程异常,Receiver会执行反复重连尝试,点击 连接取消 按钮,但是Receiver仍然继续执行重连。
分析:点击取消按钮后,并没有终止循环,取消操作存在代码缺失,导致循环未正常终止。
三、一点思考
由于测试的入门门槛较低,测试工程师更需要做好自身技能储备,提升竞争力,作者建议从如下几个方面进行提升:
1. 凡事多思考,多考虑为什么?尝试弄清楚背后的原因。
2. 软件版本没有测试出严重故障,并不代表没有严重故障,可能是没有在实验环境暴露或存在测试疏漏。因此还是要多思考、多使用,以期充分暴露产品缺陷。
3. 增加自动化意识:凡是重复的操作都可以尝试通过自动化代替。我们可以从windows bat , Linux sh脚本处一点点做起:积沙成塔。但是要考虑性价比,从长期考虑,如果自动化的时间成本远远大于手动成本,那就维持手动。
4. 从代码层面进行提升,至少熟练掌握一门编程语言(如C++),同时对数据结构有比较深入的理解。在工作之余,培养刷题的习惯:可以在牛客网、PTA、OpenJudge等网站进行编程实操,认真分析Not Accepted原因 及 编程网站的测试用例,反推出自己编程时的漏洞,据此完善自己的逻辑思维能力,强化测试用例编写时的逻辑性和全面性。
请关注+私信回复:“测试”就可以免费拿到软件测试学习资料和面试题库,进群学习交流,快速让自己变强!

