在施工过程中,部分工程技术人员对于GB/T50107—2010《混凝土强度检验评定标准》相关规定掌握不够细致,同一检验批有部分混凝土试件强度低于强度设计值标准值,认为不能评定为合格;或同一检验批混凝土试件强度部分很高,认为该检验批混凝土强度一定能评定为合格。通过下面的分析可解开疑团。
混凝土是将水泥、砂、石子及外加剂加水拌和均匀后经养护硬化而成的非均质建筑材料。尽管施工时混凝土拌合物被搅拌得尽量均匀,但均匀性与钢材相比较差,因此抗压强度及其他物理力学性能差异仍很大。即使试件由质量较高的同盘混凝土组成,其强度仍会在一定范围内波动,即所谓的混凝土强度具有一定的离散性,因此混凝土强度实为一定的强度范围,而非固定值。
GB/T50107—2010《混凝土强度检验评定标准》中关于检验评定混凝土强度有如下规定:
(1)小批量或零星生产混凝土的强度应按标准中规定的非统计方法进行评定;
(2)大批量、连续生产混凝土的强度应按标准中规定的统计方法评定,具体如下。
一、非统计方法评定
案例1,某工地现场浇筑一批钢筋混凝土柱,混凝土强度等级为C20,共成型6组试件,经过28d标准养护,各组试件抗压强度见表1。

根据标准规定:当评定方法中的样本容量小于10组时,可采用非统计方法对混凝土强度进行评定。按非统计方法评定混凝土强度时,其强度应同时满足以下要求:
mfcu≥λ3·fcu,k(1)
fcu,min≥λ4·fcu,k(2)
式中:λ3,,λ4为合格判定系数,按表2取用。

该检验批(例1)混凝土强度的平均值mfcu=147.7/6=24.6N/mm2,其最小值fcu,min=19.2N/mm2,平均强度的评定验收界限值[mfcu]=λ3·fcu,k=1.15×20=23N/mm2,最低强度的评定验收界限值[fcu,min]=λ4·fcu,k=0.95×20=19N/mm2,通过以上计算可知mfcu=24.6N/mm2>[mfcu]=23N/mm2,满足要求。fcu,min=19.2N/mm2>[fcu,min]=19N/mm2,满足要求。能同时满足以上2个要求,故该检验批混凝土抗压强度符合要求,评定为合格。
二、统计方法评定
1.案例2
某工地现场浇筑一批钢筋混凝土柱,混凝土的强度等级为C40,共成型14组试件,经28d标准养护后,各组试件抗压强度见表3。

根据标准规定:当评定中的样本容量大于10组时,其强度应同时满足以下要求:
mfcu≥fcu,k+λ1·sfcu(1)
fcu,min≥λ2·fcu,k(2)
式中:sfcu为同一检验批混凝土立方
体抗压强度的标准差(N/mm2),精确到0.01N/mm2,当sfcu计算值小于2.5N/mm2时,应取2.5N/mm2;λ1,λ2为合格判定系数,按表4取用。

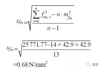
该检验批(案例2)混凝土强度的平均值mfcu=600.3/14=42.9N/mm2,该检验批混凝土强度标准差:

因sfcu计算值小于2.5N/mm2时,故取2.5N/mm2。平均强度的评定验收界限值[mfcu]=fcu,k+λ1·sfcu=40+1.15×2.5=42.9N/mm2。最低强度的评定验收界限值[fcu,min]=λ2·fcu,k=36N/mm2。通过以上计算可知mfcu=42.9N/mm2=[mfcu]=42.9N/mm2,满足要求;fcu,min=39.5N/mm2>[fcu,min]=36N/mm2,满足要求。同时满足以上2个要求,故该检验批混凝土抗压强度符合要求,评定为合格。
2.案例3
如果在上例中14组试件的基础上再增加1组,且该组试件的强度值较高,为57N/mm2,该检验批混凝土强度评定计算过程如下。
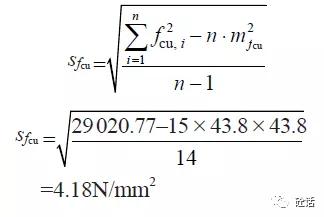
该检验批(案例3)混凝土强度的平均值mfcu=657.3/15=43.8N/mm2,该检验批混凝土强度标准差:

平均强度的评定验收界限值[mfcu]=fcu,k+λ1·sfcu=40+1.05×4.18=44.4N/mm2。
最低强度的评定验收界限值[fcu,min]=λ2·fcu,k=34N/mm2。通过以上计算可知mfcu=43.8N/mm2<[mfcu]=44.4N/mm2,不满足要求;fcu,min=39.5N/mm2>[fcu,min]=34N/mm2,满足要求。由于不能同时满足以上2个要求,故该检验批混凝土抗压强度不符合要求,评定为不合格。
3.案例4
如果上例中第15组试件的强度不高,且该组试件的强度为39N/mm2,该检验批混凝土强度评定计算过程如下。
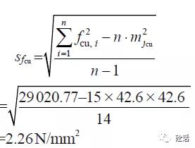
该检验批(案例4)混凝土强度的平均值mfcu=639.3/15=42.6N/mm2,该检验批强度标准差:

因计算值小于2.5N/mm2时,故取2.5N/mm2。平均强度的评定验收界限值[mfcu]=fcu,k+λ1·sfcu=40+1.05×2.5=42.6N/mm2。最低强度的评定验收界限值[fcu,min]=λ2·fcu,k=34N/mm2。通过以上计算可知mfcu=42.6N/mm2=[mfcu]=42.6N/mm2,满足要求。fcu,min=39.5N/mm2>[fcu,min]=34N/mm2,满足要求。同时满足以上2个要求,故该检验批混凝土抗压强度符合要求,评定为合格。
通过以上实例计算可看出,统计方法中,案例3比案例2中多了1组试件,其设计要求的混凝土强度标准值高很多,反而案例3被评为不合格;案例4是将案例3中的1组高强度试件换成强度低很多的试件,但相对比较接近混凝土强度平均值,其强度反而被评定为合格。
通过上述的结论证明,混凝土的强度不可能完全一样,其强度值高低不一,主要是由于在原材料的质量、配合比、计量、搅拌、成型、振捣、养护及试验误差等各种因素的综合影响下,混凝土的强度随机波动,导致混凝土质量不仅表现为强度的高低,更表现在强度的波动。平均强度是体现混凝土质量高低的重要指标,其是评定混凝土质量不可或缺但并非唯一的指标。平均强度相等的2批混凝土的强度分布可能完全不同,一批强度可能较集中,另一批可能分散,平均强度无法表现这种强度波动的离散性。因此表示混凝土强度波动分散程度的离散性也是混凝土质量的重要指标。
混凝土强度等级规范中规定混凝土强度等级标准值为强度总体分布平均值减去1.645倍标准差,fcu,k具有不低于95%的保证率,因此案例1检验批中存在低于设计强度标准值的试件也能评定为合格。而在案例3检验批中由于有1组远高出设计强度标准值的试件,使得该检验批的混凝土强度离散性增大,计算结果显示标准差sfcu偏大,该检验批混凝土强度被评定为不合格。