7月29日晚间,深交所紧急下发关注函,要求暴风集团说明实控人被抓原因、子公司暴风智能股权转让是否涉及关联交易等...
同样是7月29日晚间,东方金钰发布公告称,公司及全资子公司被债权人申请合并破产重整....
7月28日晚间,欢瑞世纪披露收到中国证监会重庆监管局下发的行政处罚事先告知书,公告显示,为顺利完成借壳上市,从2013年开始连续四年,欢瑞世纪通过虚增营收、虚构收回应收款项等手段给利润数据大肆注水,同时公司也存在连续多年违规资金占用情况...
最近A股市场天雷滚滚,单单这几天就有这么多雷,不禁想让人发问:炒股到底是在炒什么?其实,价值投资传入中国已久,大家众说纷纭,甚至连公司股票存不存在价值都有怀疑。的确,股票的价格可以很容易在市场里看到,但是股票的价值却是看不见摸不着。

股票的价值判断有主观的因素,一百个投资者对于同一只股票的价值判断可能有一百种,立足于短期角度和立足于长期角度对同一只股票的价值判断也不一样。但是,股票的价值确实可以通过对比得出,可以通过一些方法计算得出,它会大概率地落在某一价格区间,它和公司的长期业绩表现紧密相关,这些又证明股票价值是客观存在的。
证券分析鼻祖格雷厄姆认为,股票的价值“是指一种有事实――比如资产、收益、股息、明确的前景作为根据的价值,它有别于受到人为操纵和心理因素干扰的市场价格”,今天小麦请来了一位老股民,列举几个小故事来帮助大家理解公司股票的价值。
假设小白要开甜品店,他花了 100 元买了一处房地产当店铺,又花了20 元装修和采购设备。干了一年,他觉得太辛苦,决定不干了,准备整个店铺转让给你。请问你愿意多少钱买?
情景 1:
你会花 130 元吗?很难,如果你也开饮品店,你自己再去市场上买同样的房地产和设备就 120 元,而且是全新,没道理花 130 元买小白的店。对于小白来说,就算装修和设备没人要,房地产也值 100元啊,这 100 元就是小白店铺的清算价值。

情景 2:
如果接手的人也会继续开甜品店,愿意接手店铺的装修和设备, 但是因为已经旧了,价值需要打折扣,会计上称为折旧,20 元装修和设备假设折旧 10 元,还剩 10 元,加上房地产 100 元,110 元就是小白的店铺的账面价值。
情景 3:
假设房地产一年之后已经升值了,店铺只卖 110 元小白不干了, 他买房地产的时候是花了 100 元,但是现在房地产涨价到 150 元,加上装修和设备,要 160 元,这 160 元就是小白店铺的重置价值。
情景 4:
小白的甜品店开了 10 年,甜品店收益很稳定,因为有独门秘方,类似可口可乐那种,形成了一批超级忠实顾客,每年确信可以赚20 元并一直延续下去,小白老了干不动了,想把店铺和秘方卖给你,你愿意出多少钱?还出 110 元?小白不干,很多人争着买,因为 110元买入后,每年赚 20 元,每年回报率是 18%,而大家一般能找到的投资项目回报率只有 10%(社会平均回报率或者股票长期回报率都集中在10%左右),那大家肯定愿意出更高的价格抢啊!会不会到 1000 元?很难,因为出 1000 元,每年回报率是 2%,大家有回报更好的项目,为什么要出那么高的价格买小白店铺。

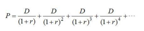
如果以要求达到 10%的年回报率推算价格,那么 20/10%=200 元,在已知情况下,小白的店铺卖 200元左右比较合适,经济形势好时,大家预期每年赚的钱多于 20 元,那么出价会高于 200 元,经济形势不好时,那么出价就会低于 200。200元就是小白店铺的盈利价值。当然,有可能某天顾客突然不再喜欢小白甜品,又可能竞争对手研发出更好喝的甜品,小白店铺业绩一落千丈,这样小白的店铺又沦落回前面三种价值。大部分情况下,公司价值等于未来现金流的折现。如果公司未来每一年的利润是不变的,那么把未来每一年的利润折现回现在加总就是公司的盈利价值。写成数学公式如下:

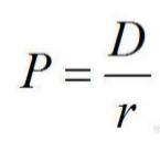
其中:D 为各期公司现金流,r 为贴现率或者称为要求回报率,根据股票长期的历史收益率水平,一般回报在 10%左右,所以股权的贴现率应该为 10%左右。D 假设是永远一样,通过数学上的等比数列推导,该又可写成:

情景 5:
现实是复杂的,企业会不断变化。小白通过开第一店培养出了一个职业经理人团队,盈利模式成熟了,准备进行复制扩展,开出更多的店。这时他卖给你的店铺就不仅仅是一个店铺了,还包括一个可以扩展的团队。你准备出多少钱买?肯定大于200元啊!开更多的店可以赚更多钱,400元或许都是合理的,这400元包含的是盈利不断增长的预期,因而被称为增长价值。有没有可能出到 1000 元,这就考验投资者对团队的信心,对行业前景判断等诸多因素了,包含着主观因素。
情景 6:
小白的店铺之前卖 1000 元的天价被认为不可思议。如果小白的店铺要被*迁拆**了呢?它刚好在规划的路中央,如果绕道修要多花费10000 元,施工方主动提出 1000 元买下小白店铺。或者是另外一个故事,A 巨型连锁休闲食品公司看好小白的甜品,认为和它的产品一块卖会更加吸引顾客,于是出 2000 元收购小白的甜品店及秘方。对于不同的所有人,小白甜品店有不同的价值,这就是不同所有者不同价值。前三种价值可以被认为是静态价值,利用更多的是公司过去和现在的信息,主观影响因素较小,相对客观。后三种价值则是动态价值,利用更多的是公司现在和未来的信息,考验人们对企业未来的发展的主观判断。

在股票市场上,普通投资者能获得的价值一般是盈利和增长的价值,因为这两种价值上市公司能够和投资者分享(通过股价上涨或者现金股息)。而清算价值、账面价值、重置价值及不同所有者不同价值可能可以被投资者看见,但却摸不着,他们没有足够大的资本去收购和控制整个上市公司,去命令管理层清算公司释放价值,或者协同创造价值,因此这些价值普通投资者无法获得。
看完这6个场景,你知道如何看价值了吗?一起评论区热聊一下吧!