在弄清螺栓拧紧之前要掌握影响螺栓拧紧的因素。高强度螺栓广泛应用于工程领域,其连接的效用取决于最初螺栓的拧紧程度。预紧力越大,连接越可靠;但过高的预紧力会导致连接面被压溃或螺栓被损坏。因此,准确的控制预紧力是尤为重要的。但是,在实际的工程应用中,很难直接控制预紧力,大部分情况都是通过控制拧紧力矩,来间接的控制预紧力。而两者之间的桥梁就是扭矩系数。

扭矩系数是由摩擦系数和螺纹常数共同决定。其中,螺纹常数主要取决于螺纹副的几何形状,螺栓的型号规格一旦确定,螺纹常数基本上是一个定值;而摩擦系数的影响因素较多。本文首先从理论上分析了扭矩系数与摩擦系数、摩擦系数与强度等级的关系,并利用德国Schatz公司研制的多功能螺栓紧固分析系统进行了实验。实验过程中改变螺栓的强度等级,设定相应的屈服扭矩,测量出螺栓拧紧过程中的夹紧力、螺纹副上的扭矩,相应的摩擦系数和扭矩系数。通过对实验结果的分析,得出了螺栓的强度等级对摩擦系数和扭矩系数的影响规律。
下面从两个角度进行理论分析:
1.摩擦系数对扭矩系数的影响
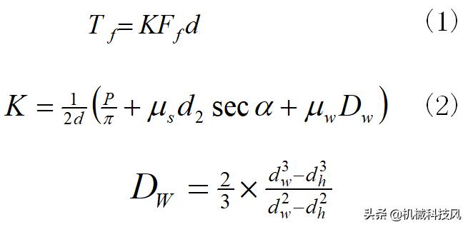
国家标准GB/T 16823.2-1997《螺纹紧固件紧固通则》中明确指出,扭矩的计算公式为:


从式子(1)中得出:扭矩系数K值的大小决定了拧紧力矩转化为预紧力的多少。因此,扭矩系数K对螺栓拧紧过程中准确控制轴向力Ff是相当重要的。
从式子(2)中可以看出,扭矩系数K的影响因数有很多,主要包括:螺栓的几何尺寸、摩擦系数(螺旋副之间的摩擦系数和螺母头部与连接件之间的摩擦系数)以及连接孔的直径。但对标准的高强度螺栓而言,当选定好规格后,其直径、螺距、螺纹升角等都是定值;此情况下,只有摩擦系数对螺栓拧紧过程中的预紧力产生较大的影响。从图1可以清楚地发现,当施加相同的拧紧力矩时,而对于不同的摩擦系数,拧紧力矩转化成的轴向夹紧力大小是相差很大的。

图1 预紧力-扭矩关系图
因此,结合式子(1)(2)可得:摩擦系数是影响高强度螺栓扭矩系数的一个重要因素。当其它条件固定时,扭矩系数是摩擦系数的增函数,在常用的范围内,扭矩系数与摩擦系数呈同增减的趋势。
2 强度等级对摩擦系数的影响
2.1 强度等级对螺栓性能的影响
螺栓的强度等级是影响螺栓性能的一个重要的参数,其主要的性能如表1所示

表1 不同强度等级下的螺栓性能
从上表可以看出,随着强度等级的提高,螺栓的抗拉强度极限、屈服极限和布氏硬度都相应的增大。
2.2螺栓性能对摩擦系数的影响
在考虑螺栓性能对摩擦系数的影响之前,首先了解摩擦力的组成。机械加工后的表面,即使经过抛光处理,在显微镜下,固体表面由许多的波峰和波谷组成(见图2),其中凸起的单峰叫凸体,它的分布、尺寸和形状,对两表面的实际接触面积和之间的摩擦有重要影响。正是由于这种表面状态的限制,无论是螺纹副之间的摩擦力还是端面摩擦力,都是由两部分组成:分子部分和机械部分。

图2表面形貌图形
分子部分:对于固体表面分子,其内部是固体分子,外部是空气分子,两者对表面分子的作用力不对称,使得表面分子处于受力不平衡状态。当两个表面相互接触时,两个表面活跃的分子为达到平衡,彼此会产生一种吸附力,而这种吸附力与实际的接触面积有关;机械部分:由于加工过程中某些不确定因素的变化,两个表面上的凸体在尺寸、形状和分布上是不相同的。在压力作用下,两表面之间的部分凸体会彼此的压入或压平,这种现象不但发生在硬度和弹性模量不同的表面,即使硬度和弹性模量相同的两表面也是不可避免的。当两表面相互滑动时,会在接触面犁削出条形细槽,从而产生机械犁削力,而这个力的大小与条形深度有关。
经过上述分析可知,摩擦力是由克服其分子吸附力和机械犁削力组成的。当螺栓性能中抗拉强度极限和屈服极限的提高时,螺栓拧紧过程中夹紧力矩的设定通常依据其屈服强度,随屈服强度的增加而增加,因此,其对应的轴向夹紧力变大,分子间的吸附力和机械犁削力都相应增加,从而使摩擦力增加,进而改变了其摩擦系数。
下一章节将进行试验验证。。。。