移动平均线对交易者来说,是最为悠久、简洁,也是最有用的一种分析工具。它有助于我们辨明资产价格走势,也有助于我们发现入场交易的价格区间。我们在柱形图上标出移动平均线,图中各点反映的是相关资产最新的平均价格。
那么,移动平均线对市场运行规律从更深层次的角度来说究竟意味着什么呢?它到底要衡量什么呢?
我们知道,金融市场上每出现的一个价格都是市场参与者对相关产品价值的瞬间认知,它就好比是快照。如果你向我展示你朋友的快照,并问我他现在是乐观还是悲观,是处于牛市还是熊市?从一张照片我很难答复你。而如果你把他在10日内同一种状态之下的快照进行排列,同时拿进暗室冲洗,你就会得到一张复合照片。而如果把照片上的10个画面彼此进行深度排版,在其褪色之前,此照片所反映的具有代表性的特征就会显像出来。到目前为止,如果你每一天都重复此工作,你就会得到他的情绪平均线。而如果你把他的这些复合照片排成一串,你朋友现在是高兴还是悲伤就一目了然了。
一条移动平均线就是一张相关金融资产市场的复合影像,它用新的资产价格覆盖一系列过往的价格。一条上升的移动平均线反映的是市场中交易人群的乐观状态,此时为牛市;而一条下降的移动平均线则反映的是市场交易群体的悲观情绪,此时为熊市。
一条移动平均线的形成不仅依靠数据,还要看我们如何去构建它。在勾画移动平均线的问题上,我们要采取一系列的措施使之免受市场噪声的影响。首先,我们要决定什么样的数据值得采信;其次,我们要选择合理的时间跨度,使之足以覆盖长期趋势与短期走势;最后,我们要决定合理的移动平均线的类型。
1、确定移动平均线所需要的数据
那些经常参考日线图与周线图的交易者经常以收盘价构建移动平均线。也就是说,收盘价反映的是每天最终的价值认知,是一天当中最为重要的价格。而5分钟柱形图或一小时柱形图上的收盘价不具备这种特殊意义。一般来说,日间交易者还是选取每一根柱形的平均价会更好。例如:他们可以将每一根柱形上的开盘价、最高价、最低价和收盘价相加,再除以4;或者将柱形上的最高价、最低价和收盘价相加除以3。
同时,我们还可以将移动平均线的原理应用到一些指标上去,如强力指数。一个初始的强力指数反映的是相关市场每天的交易量及价格变化,对这些强力指数加以平均,就会形成一个更加平滑的图形,它们能够反映这些指数的长期趋势。
2、 确定移动平均线期限的长度
移动平均线有助于我们了解趋势。一条上升的均线会鼓励你去做多;反之,下降的均线会驱使你去做空。时间跨度越宽,移动平均线就越平滑。但这里有一个问题——移动平均线(期限)越长,它反映的趋势变化就越滞后;均线(期限)越短,虽然能较好地反映价格的变化,但对于与主要趋势相背离的认识就更为主观。如果你把移动均线拉得很长,它有可能错过一些重要的边际反转信息。而相对较短的均线从技术分析的角度来说,对趋势的变化比较敏感,但是,时间跨度短于10日柱形均线又不能达到追踪趋势的目的。
在我写《以交易为生》的时候,我采用的是13日柱形均线。但近些年来,我更趋向于将移动平均线的时间跨度拉长,以捕捉一些重要趋势,同时要避免一些瞬时背离的问题。我们在分析周线图的时候,一般以26周移动平均线作为参考,它们所反映的是半年的数据信息。你也可以试着将其长度缩短,看它是否还能保持平滑。
在分析日线图的时候,我们以22日均线为参考,其反映的是一个月内所有交易日的数据信息,你也可以将其长度缩短一下。无论你选取的均线长度如何,你都要用自己的数据进行检验。如果你交易的品种不多,你就有足够的时间对各种长度的相关产品的移动平均线进行描绘,直至它们变得较为平滑为止。
任何数据指标的时间跨度是在柱形图上(而不是在日期上)被最为准确地表现出来。计算机并不知道你在分析日线图、月线图还是小时图,它只能识别柱形。即使你将日线图上得到的移动平均线拿到周线图或月线图上进行分析,我们最好还是称之为22日柱形移动平均线,而不是22日均线。
一些精通数学的交易者能够根据不同市场的条件变化,相应地采用不同长度的移动平均线,而这一方法是由约翰·艾勒斯(John Ehlers)、图沙·乾德和佩雷·考夫曼提出的。约翰·艾勒斯在最近出版的《交易者的火箭科学》(Rocket Science for Traders)一书中,对与当前市场条件相适应的各项指标都进行了深入的研究与探讨。
3、 确定选取移动平均线的类型
勾画一条均线最简单的方法是将时间跨度上的价格进行加总,然后用和除以时间。举个例子,一条简易的10日收盘价均线就是把过去10天的收盘价加总再除以10。这里的问题是:一条简易的移动平均线上的每一个价格在被纳入算式和被覆盖之时,会重复地影响此线两次,每出现一个新高值就会将移动平均线推高,同时给出一个买入的信号,这固然很好;但是,我们参考均线是为了让它们反映最新的价格变化,而如果10天之后,线上的高值在时间窗口上一旦下调,均线也会呈现下降趋势并给出一个做空的信号。
这样就会变得很滑稽:因为我们如果将均线缩短一天,我们就会提前一天得到这个卖出的信号;反之,我们得到信号的时间就会滞后一天——那么,我们完全可以(主观地)操纵这些预兆性的信号,而无须考虑简易均线的时间步长!
一条指数平滑移动平均线(EMA)能够解决上述问题:它只反映入场价格,对不同时期的价格配以相应的权重——如此,该线并不是在时间窗口上覆盖过往价位,而是随着时间的推移将更为远期的价格以较低的权重值推挤出去。其公式如下:

式中N——由交易者自行选择的确定指数平滑平均值的天数;
P——当天的相关资产价格;
EMA——前一日的指数平滑平均数值。
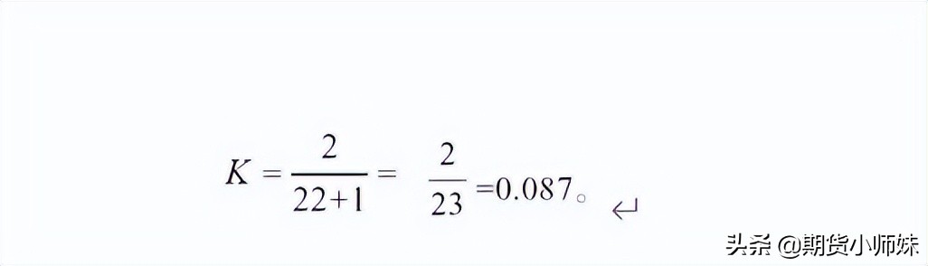
今天,很少有人亲手动笔去计算,因为用计算机测量数值会更快捷、更准确。如果我们决定参考22日柱形图中所有收盘价的平滑平均值,则

用0.087乘以当日的收盘价,再用0.913(=1-0.087)乘以前一日的平滑平均值,将两值相加,所得之和就是当期的指数平滑平均值。那么,初始的EMA值是如何得到的呢?我们在初始时刻,一般用简易的22日移动均线来计算初始的EMA值,然后,再以加权的方法确定以后的EMA值。这里要注意的是:在你得到有意义的信号之前,你需要运用一两个月的数据对绝大多数的相关指标进行分析。
4、 交易信号
移动平均线最重要的信息是它倾斜的方向。当指数平滑平均线向上扬起,它显示出市场交易人群的乐观看涨情绪,这是“做多”的好时机;当该线向下倾斜时,它所显现的是市场中交易人群的悲观看跌情绪,而这又提供了“做空”的机会。
既然移动平均线上方指表示市场之上多头占优;反之,均线下方指意味着空头占优。那么,作为一个交易者,你就有三个选择:做多、做空或者不做。而移动平均线可以让你放弃三项选择中的一项——当它向上扬起的时候,你便不可以做空,如此,你只剩下做多与不做两种选择;反之,当它向下倾斜时,你便不可以做多,只剩下做空与休息两种选择。而当指数平滑平均线上下跳跃的时候,它表明相关产品的市场在多、空之间徘徊,趋势、方向都不明朗,此时最好不要采用追踪趋势的分析方法。
这时,你要继续关注指数均线,但在新的趋势形成之前,对此线上出现的一些多、空信号不必太过在意。而一旦平滑异同移动平均线柱图,即MACD柱形图和资产价格之间出现牛市反转(信号)之后,你要抄底做单——这时你可摒弃移动平均线上的信息,但一定不要忘记设置严格的止损。如果你获得了收益,记住你的成功并不意味着市场的游戏规则发生变化,把自己凌驾于市场规则之上的交易者会失去谨慎与敬畏之心,从而损失大量的资金。

如图所示:一条指数平滑平均线是缓慢且平静的,像一个安装在蒸汽碾路机上的风向标。它可以存在于各种时间结构当中,但指数平滑平均线的周线图最为有用——无论市场如何变化想将你晃出场,你都可以按此周线图的变化把握市场的主要趋势。依据移动平均线的周线图做单,你可以领先于很多交易者。同时,你可以根据指数平滑平均线所指示的方向,利用日线图,决定你是持仓在场、入场交易还是平仓出场。
图中的26周指数平滑平均线展示了雅虎公司股票的一轮波澜壮阔的牛市行情。该股价在初始时刻趋势并不明朗,然后一路疯涨至250美元的“顶”,最后跌至狗窝一样的“底部”——如果你早上起床,按此周线图的方向进行交易,相信你的成绩不会太糟!
应该说,市场上没有完美的分析指标,同样,在市场(产品价格)走势比较平坦的时候,依据指数平滑平均线进行分析就存在一定的难度。图中,在1999年时,指数平滑平均线开始横盘振动。这时多空方向不明,我们需要出场观瞧,或者以做短(期)单为主,这时我们很难把握市场的主要趋势。
请注意图上雅虎股价走势的三条尾线(第四尾线呈现的特征不如前三条尾线那么明显),每当出现一条尾线时,股价数周之内就会下跌一半。在上面的柱形图的最右端,股价走势趋向平缓,而指数平滑平均线呈下降趋势。这表明:股票价格已经见底,但买单不多——这使得指数平滑平均线上升乏力,在新一轮牛市到来之前,该均线的走势将被轧平。
我们在靠近上升的移动平均线的位置以多头进场,在靠近下降的移动平均线的位置以空头形式入场。一般我们用移动均线来区分“价值交易理论”和“博傻交易理论”。因为在多数情况下,上升的价格一旦回调至指数平滑平均线的位置时,升势往往被价格的下跌打断,因此我们要在靠近均线的位置做多,同时一定要在指数平滑平均线下不远处设置止损单。这样,如果资产价格重新提振,我们即可获利;若市场反转,则我们的损失会很小。所以,在指数平滑线附近做单,可以使我们的收益最大化、风险最小化。

如图所示:当你在靠近一条上升的移动平均线的位置做多,你的买单具有(内在)价值(D点和F点);而等待这些合理价位出现的时机,需要的是耐心,但这种方法一定比追涨的做法安全得多。而在指数平滑平均线之上以高价做买单的交易者,他们所支付的价格高于(相关资产的)价值,他们希望出现更为愚蠢的交易者以更高价格“做多”来为他们埋单。可是,心情急躁的交易者如果在靠近顶部(C点和E点)的位置做买单,他们会被(市场的变化)震荡出局,或者他们在焦急地等待着盈亏平衡之时而平仓离场。
很多股票与期货产品都有其特有的行为模式,你应该尽力去辨明和利用这些模式。在我著书之时,eBay公司的股价走势呈现出状如袋鼠之尾的形态(A点、B点、C点和E点);其中,C点所呈现的特征最为典型,其他各点的特征也很明显。对资产价格的波动模式进行预期可以使你在其出现之前较早地予以认知。
图最右端显示:eBay公司股价的上升趋势已经结束,股价开始震荡,牛市即将结束——如果你是追踪趋势的交易者,你要转做其他顺势运动的热点股票;同时,你要关注eBay公司股票,等待下一波行情的到来。
如果我们在指数平滑平均线以上做多单,并且希望:市场上会有一个更为愚蠢的交易者,他在更高的价位做多单,从而弥补由于我的错误所造成的损失。这种博傻理论是非常错误的——金融市场上几乎不存在傻瓜,而市场本身也不会吸纳愚蠢的交易者,指望他们(赚钱)是一个伪命题。
有时,一些股票疯狂的涨势似乎能够验证博傻理论的合理性。一些看似无收益的股票的价格涨得很高,甚至形成“天价”,这时,一个根据内在价值理论进行交易的投资者会发现他错过了很多投机的机会。如此,他会面临两种抉择:一是严格遵守以往的交易理念,同时认可自己并不能将市场上所有的财富装进口袋;二是他觉得在金融市场上与其他投资者进行交易好比是“与狼共舞”,那么自己也要像一匹狼,于是,他会在股票价格上涨突破阻力位之后买进。
如果你也这样操作,记住,你现在所遵循的就是博傻交易理论,而唯一能将你与其他狂躁的交易者区分开来的“财富”是你的风险控制及防范的方法——止损与资金管理。
上述的规则同样适用于降势中的空单。在呈下降趋势的资产价格回调至指数均线附近时所做的空单,在市场行情反转破位之前,具有正面价值。一个根据博傻理论进行交易的投资者会在指数平滑平均线之下很远的位置继续做空——距离越远,他就越愚蠢!
那么,如何运用二元均线系统来辨明资产价格的走势以及入场的点位呢?我们可以用一条指数平滑平均线很好地把握市场的行情,但市场变动太过急躁,以至于市场上相关资产的价格几乎从来没有在指数平滑平均线附近浮动,如此,你就没有机会按照内在价值交易理论进行操作。要解决这个问题,你可以加入第二条移动平均线——用较长的慢线标明资产价格的走势,用较短的快线寻找入场的点位。
如果你发现一条22日指数平滑平均线能够在市场上较好地反映你所交易产品的价格趋势,那么将此线勾出,但将其时间步长缩短一半,在同一台电脑上用另外一种颜色勾画出11日指数平滑平均线。这样,你可继续参考22日线,以判明当前是牛市还是熊市,同时也可根据短线(11日线)发现入场点位。
移动平均线有助于我们判明相关资产价格的走势,从而决定做多或做空,同时,不同种类的均线也可帮助我们发现入场交易的价值空间。而寻找离场点位的任务就要交给我们要讲的下一个分析工具:围绕在移动平均线上下的产品价格通道。
免责声明:文章观点,仅作为作者个人观点分享,供读者参考,不构成任何投资、法律、会计或税务的最终操作建议,任何通过本文作出的投资决策与本公司和作者无关。