我是一粒小小的玉米粒

by 高语寒
准确地说,我是一颗爆裂玉米粒。我和我的伙伴们生来带着爆裂玉米的荣耀和自豪,立志成为一颗完美酥脆的爆米花。我们不惧艰险、坚韧不拔、勇往直前,我们是谷物界的英雄,玉米界的骄傲。
今天,我终于要踏上我的梦想之旅了,我终于可以成为爆米花了!
临走的时候,爷爷拉住我的手,说我们爆裂玉米家族世世代代是爆米花英雄,唯独遗憾的就是每次提到爆裂的具体流程,所有的玉米粒都语焉不详。爆裂玉米家族却偏偏不知道如何爆裂,这多么丢人啊!我从小喜好观察世界,用物理知识解释身边的现象。爷爷从小就说,我是我们家族的希望。

by 高语寒
“孩子,这次你也要踏上爆米花旅途了。我希望你能在一路上仔细观察,解决我们家族多年来的难题,可以吗?”
“爷爷,您放心吧!这个任务就交给我好了!”
于是,我带着家族的使命和爷爷的嘱托,踏上了属于我自己、也属于我们爆裂玉米家族的旅途。
自我介绍:“我,爆裂玉米。”
我是爆裂玉米(pop corn)出身,顾名思义,我出生于爆裂玉米世家,是最适合做爆米花的品种。

来源:百度
首先,我们拥有所有玉米粒的标准结构:由种皮、胚乳和胚三个部分组成。
当然,我们也有自己的品种特点。
我们的果穗和种子都比较小,子粒几乎全为角质淀粉,就是说,我的胚乳几乎全是角质胚乳。透明的淀粉粒被坚硬而有弹性的胶质包围住,外面是比其他玉米品种更加致密的种皮。[1]
这些是我们家族的天赋特长。但是,想要成长为完美爆米花,光有优秀的出生是远远不够的。

来源:百度
高温:炼狱磨练
我们的旅途的第一步,就是被放进容器中——也就是我们的修炼场所。不论是老式爆米花炉、烤箱、米花机还是微波炉,它们在修炼场所的角度上,功能都是类似的——即提供密闭与高温的环境。

来源:百度
高温的磨练开始了,看着周围许多伙伴在高温里头晕眼花、昏昏欲睡,我却强打着精神,时刻念着自己的使命。我皱紧眉头,认真地考量起这环境。由于我们玉米粒们身处的容器此时是密闭的,所以周围的温度越来越高。物理超棒的我开始思考这里面的物理模型。假如把我身处的容器看作一个热力学系统,空气都是理想气体的味道,根据范德瓦尔斯气体方程:

我想,这个方程应该能比较好地模拟这个环境信息。
方程中,V 是容器体积可以近似看作不变,M/μ 是容器内气体的摩尔数,也可以近似看作近似不变,而 R 是理想气体常数,a、b 是范德瓦尔斯修正量,由气体的性质决定,在这里为常数。那么,根据方程可知:

其中,p 是容器内压强,T 是容器内温度。也就是说,身处高温炼狱之中的我,虽然此刻还有心情计算物理模型,但是随着温度的上升,我周围环境的压力会越来越大。虽然此刻我很难受,但是仍然在咬牙坚持着,因为我知道,这是我想要成功必须经历的磨练。也是我们家族成员必须经历的命运。
“故天将降大任于斯人也,必先苦其心志,劳其筋骨……”

by 高语寒
与此同时,我也能感受到我的身体内部发生着改变。
在我的玉米种皮之下的水分,原本大部分都是以结合水的形式存在着的,在不同的温度下,我身体内的水会以液态与气态两种方式存在在我的籽粒中,并且维持着各自的平衡状态。
以前在常温下的时候呢,我的籽粒内部大约有 9.5% 的水以气态的形式存在,而其余的水自然是以液态形式存在了。[2]
当我不断受热,环境温度逐渐升高时,我感受到身体中的液体的水分开始蒸发了,它们在蒸汽压力下达到了热力学平衡。
传说,我们爆裂玉米会在某个温度的时候开始爆裂,完成突破。
温度在上升,160 ℃、170 ℃、175 ℃、177 ℃ .....
我知道,那个温度,即将到来。

来源:文献[3]
临界温度:*破爆**
当温度上升到 180 ℃左右的时候,我已经觉得自己要承受不住这样的温度和压强了。我转头看了看身边的伙伴们,有些在几分钟前已经*破爆**了,有些在我看的时候正在进行他们的*破爆**,也还有一些伙伴和我一样,正在承受着这磨练的痛苦,等待属于自己的*破爆**时刻。
这时,我感觉到了!
我,作为一只*破爆**玉米粒,在此时达到了我的临界温度,我生命中最重要的*破爆**时刻即将来临!
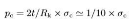
这个时候我的种皮中引起的直辐射应力(orthoradial stress)超过了我种皮的极限强度,临界温度此时至关重要。我时刻记着爷爷的嘱托,在这个关键的时刻更是注意力高度集中。一般来说,我和我的伙伴们的种皮极限强度为 σ c≈10MPa。我们玉米粒中的临界压力满足公式:

其中,t 是指我们每粒玉米粒的种皮厚度,Rk是平均的身体半径,使得籽粒内部的临界压强 pc∼10 bar ,也就是说,我身体内压强此时的数量级大概是10 bar,也就是约为 106Pa。[3]
啊,那我的感受应该是对的了。实际上,我感觉身体内部只有一小部分水变成了水蒸气,其余大部分还是液态的水。在此时的压力和温度条件下,一粒含有 20mg 水的玉米粒大概只有少于 1mg 的水处于气相。[4]
我继续严谨地思考着自己身体内的物理变化,毕竟我一直坚信只有相信科学并且善用科学的玉米粒才能成为优秀的爆米花,在现在这个关键的时刻更是如此。同时,我也意识到,我现在的观察和计算,也许将计入爆裂玉米家族的史册。
现在这个压力范围,我认为可以将我体内的水蒸气视为理想气体,那么相应的临界温度 Tc就也可以算出来了叭!
那么考虑到我的籽粒内部的水实际上是有两个相位:液相和气相的。所以我想到了运用克拉珀龙方程(Clapeyron equation)来解决问题:
在一定温度和压力下,任何纯物质达到两相(由 α 相转变到 β 相)平衡时,有:

这个方程表明了在一级相平衡曲线上任一状态的斜率 dp/dT 与状态参量以及相变潜热之间的一个关系。其中 Lm 是相变发生时的相变潜热,Vα, m 和 Vβ, m 分别是物质处于两个相时的体积。[5]
那么考虑水汽化过程的情况,有 Vβ, m>>Vα, m,则克拉珀龙方程可近似表示为:

我体内的水蒸气又近似为了理想气体,就有这样的关系,可以得到临界温度:

纯水在标准沸腾条件下 p0≈1bar, T0= 100℃,R≈8.3Jmol− 1K− 1 是气体常数,纯水汽化热是 Lm≈4.14× 104Jmol− 1,所以可以计得出我*破爆**的临界温度 Tc 大约在180◦C左右。[5]
就是这个时候!
我的种皮再也承受不住内部巨大的压强了!这个瞬间,我的种皮破裂了。而我的角质胚乳的淀粉粒在水分和高温的作用下早已糊化变成了超热淀粉糊,此时此刻,我的淀粉糊从种皮中喷涌出来,淀粉糊的膨胀近似为一个绝热膨胀过程。在 1/15 秒内,膨胀完成,我降温凝结成了一颗形状完美、爆裂均匀的爆米花球![3]

by 高语寒
我此时的心态是如此激动兴奋!更令我感到开心的是,我看见身边的同伴也纷纷爆裂成功,成长为一颗颗好看的爆米花!
我深深地为我们爆裂玉米家族感到自豪!正是因为我们结实的种皮和超高的角质胚乳含量,才使我们在破裂前内部压强可以更大,爆裂出来淀粉糊也更大更蓬松!这是我们得天独厚的优势,是别的品种玉米或者其他谷物就算用老式爆米花炉提供外界压强都追赶不上的膨胀程度。
霹雳舞:旋转跳跃我不停歇
我们抑制不住内心的喜悦之情,情不自禁地开始舞蹈。在刚刚我的种皮破裂的瞬间,我膨胀出来的淀粉冲击在容器底部,然后反弹,帮助我跳跃蹦跶。值得注意的是,在喷射出水蒸气的时候我并没有像火箭一样因为喷气而运动。我的舞蹈,是由我自身的淀粉“胳膊”或者“腿”帮助完成的。[3]

上图是旋转跳跃的爆米花伙伴的侧影快照。来源:文献[3]
我的观察和记录自然还在继续。爆裂后霹雳舞也是我们家族的传统艺能。如果我今天能系统地把舞步做好记录,岂不是后代的玉米粒们的舞蹈就更完善好看了吗!
我想,在先前的升温过程中,我的身体应当已经储存热能和弹性势能了,然后它们中的部分会释放到我的膨胀开的淀粉四肢中。而我还有一些其他的行为,比如种皮裂开,发出爆裂声音还有淀粉膨胀部分的无弹性反弹,也都是能量的耗散过程。
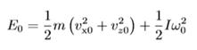
我的自身的动能可以分为水平、竖直和旋转动能:

其中, m是我的内核质量,m≈170mg,而我近似看作球形,则转动惯量I=2/5mRk² 。水平初始速度 vx 0≈0.12ms− 1,竖直初始速度 vz 0≈0.39ms− 1,初始的旋转角速度为 ω0≈120rads− 1,也就是说,我的初始跳跃动能 E0≈ 20µJ 。
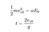
而若是想要在空中转圈圈,那么就尽量把动能转化为旋转的动能。那么水平方向最好运动动能为零,设 α 为竖直方向运动动能和总动能之比,则有:

再联立关系式:

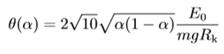
可以得到我在空中的旋转角度:

所以,当 α=1/2 时,即当垂直和旋转动能之间均等地分配了可用能量时,旋转的角度最大。

代入数据可以得到,我最大可以旋转约 500◦。

来源:文献[3]
真是太好了,爆米花霹雳舞的方法也记下来了![3]
“嘭!”:凯旋之音
我们爆米花在形成过程中还会发出“嘭!”的声音来欢庆胜利,这一声被我们称为“凯旋之音”,也是我们爆裂玉米的英文名字“pop corn”的由来。实际上对于我们来说,一声“嘭!”究竟是如何发出的一直是个小小谜团,大致有三种猜想:
(1)我们种皮裂纹破裂;
(2)容器底端反弹我们爆米花的声音;
(3)加压水蒸气从身体内释放的声音。
以上是三种推测猜想。但是一直没有办法验证。这是因为我们玉米粒在发出这声响的时候,会因为巨大的声响而短暂昏迷,根本无法辨别实际情况。好在2015年的时候有两个法国人类科学家做了关于我们爆米花*破爆**声音的研究,人类才明白关于爆米花的“嘭!”的谜底。我也去查阅了资料,才把我们爆米花旅途的这关键一步彻底搞清楚。人类科学家利用了超灵敏拾音器,对我们爆米花的生产过程进行了监测,发现那一声 “嘭!” 通常是在玉米裂开 100 毫秒之后响起的。[3]
那么就可以基本判定,爆米花的声音实际上并不是由于我们的籽粒爆开而产生的,而是源于我们玉米粒内部的水蒸气冲破了淀粉层的束缚。
总而言之,这一声“嘭!”就正式宣告了我们作为爆裂玉米粒的神圣使命终于完成。现在,我已经成长为一颗完美而酥脆的爆米花,我的传奇故事也要就此落幕了。

来源:文献[3]
尾声

by 高语寒
我作为爆裂玉米界的英雄凯旋归来,回到了爷爷身边,给还没有经历爆米花旅途的年轻玉米粒们讲述自己的故事、我们的艰险而可敬的使命……
我这一路的见闻与计算也被整理出来,我相信,看了这份详尽的爆裂过程解说, 未来我们爆裂玉米家族的孩子们将会更加香甜更加酥脆!

by 高语寒
参考文献:
[1] 孙丽娟,李京珊,王步军,等.不同油爆条件对不同类型爆裂玉米爆花特性的影响.食品研究与开发.DOI:10.12161/j.issn.1005-6521.2020.07.007.
[2] 饶春富,张荫成,胡春花,等.爆裂玉米膨爆机理探讨.*疆新**农业科学.1991.(4)
[3] Emmanuel Virot and Alexandre Ponomarenko. Popcorn: criticaltemperature, jump andsound. Published:06 March 2015https://doi.org/10.1098/rsif.2014.1247
[4] Heiser C B. Seed to Civilization. San Francisec,U.S.A.,1981:105.
[5] 刘玉鑫.《热学》.北京大学出版社. 2016年4月第一版.
编辑:fengyao
↓ 点击标题即可查看 ↓
1. 为什么不倒翁小姐姐能摇一晚上不倒?
2. 如果在家考,作弊就很容易吗?
3. 「我给你 37 美元,求求你把这桶油搬走吧」
4. 老师隔离后用射击游戏上网课,真不怕学生看完更想玩游戏?
5. 被五步蛇咬,走几步才最安全?
6. 我们从不骗你,除非……你不懂物理
7. 为什么菜油倒海上能救命?这道题美国学霸国父也不会做
8. 为什么有 32 个关卡的超级马里奥兄弟只要 64KB?
9. 十大物理效应,一次看个够!
10. 方程 E = mc² 中,m 的能量从何而来?