像方远心、物方远心、双远心镜头的区别
工业镜头是机器视觉系统中十分重要的成像元件,系统若想完全发挥其作用,工业镜头必须能够满足要求才行。随着机器视觉系统在精密测量领域的广泛应用,普通工业镜头难以满足要求,而远心镜头应运而生。
远心镜头主要为矫正传统工业镜头视差而设计,它可以在一定的物距范围内,使得到的图像放大倍率不变,从而弥补普通工业镜头“近大远小”的视觉效果,满足精密测量的要求。远心镜头按设计原理可分为:像方远心光路、物方远心光路和双侧远心光路。
光路原理
1)像方远心光路
像方远心光路的光路图如下图。它是将孔径光阑放置在物方焦平面上,像方主光线平行于光轴主光线的会聚中心位于像方无穷远。这种镜头的特点是放大倍率与像距无关,可以消除像方调焦不准引入的测量误差。

2)物方远心光路
物方远心光路的光路图如下图。它是将孔径光阑放置在光学系统的像方焦平面上,物方主光线平行于光轴主光线的会聚中心位于物方无限远。这种镜头的特点是在合理的活动范围内,物体的放大倍率与物距无关。即使物距发生改变,像高也并不会发生改变,即测得的物体尺寸不会变化。根据这个原理设计出来的镜头为物方远心镜头,简称远心镜头。

3)双侧远心光路
双侧远心光路就是我们常说的双远心光路,光路图如下图。它综合了像方远心和物方远心的双重优点,在景深范围内,物体离得远近或者相机离得远近,都不会影响到成像系统的放大倍数,即像不随物距和相距的变化而变化。根据双侧远心光路设计出来的镜头为双远心镜头。

镜头原型
正所谓“弱水三千,只取一瓢饮”。在远心镜头选型过程中,需要我们根据实际情况,从百万只镜头中,挑选出适合我们的那一个。在了解了远心镜头的光路原理之后,让我们来看看镜头参数的含义吧!
(1)物方远心镜头
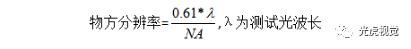
前面提到,物方远心镜头简称为远心镜头。远心镜头常用参数包括倍率、工作距离、物方分辨率、景深、数值孔径NA等。在众多参数中,可能会让大家困惑的参数,应该是数值孔径NA了吧。
远心镜头中提到的数值孔径NA指像方数值孔径,数值孔径NA值越大,镜头分辨率和亮度越佳。数值孔径NA与物方分辨率的对应关系为:

一般双远心镜头参数中,也会给出镜头可匹配的像元大小。如果参数中并没有给出镜头的良配怎么办呢?不要慌,一个公式解决烦恼:

(2)双远心镜头
双远心镜头常用参数相对于远心镜头来说更容易理解。它包括倍率、物方分辨率、工作距离、景深、远心度等。在这些参数中,各参数的对应关系与远心镜头的对应关系相一致。需要特别解释一下的应该只有远心度了。它是评价远心镜头和双远心镜头好坏的重要参数之一。
远心度是指主光线偏离光轴的角度。角度越小,远心度越好,镜头的倍率误差越小。在测量过程中的表现为:在景深范围内,保证不同工作距下,物体的放大率是一样的。它是弥补普通工业镜头“近大远小”这一弊端的重要因素。

双远心镜头优势
远心镜头和双远心镜头常用于精密测量领域。在解释完他们的光路原理和参数意义后,大家有没有困惑,远心镜头和双远心镜头在景深范围内,工作距离都不会影响成像倍率,且畸变值都很小。那在选型过程中,如何取舍呢?双远心镜头当然是靠实力取胜啦。
双远心镜头相对于远心镜头景深更大。当其他参数相同的情况下,双远心镜头的工作范围比远心镜头的工作范围要大,可观测的范围更广。当我们需要观测的物体高度差比较大时,可以优先考虑双远心镜头。
双远心镜头相对于远心镜头远心度也更高。在精密测量的选型过程中,如果对观测物体精度要求很高时,双远心镜头会是一个更好的选择。
【来源:光虎光学内部培训资料】