一、函数的单调性

设曲线 y = f(x) 其上每一点都存在切线。
若切线与 x 轴正方向的夹角都是锐角,即切线的斜率 f'(x) > 0 , 则曲线 y = f(x) 必是严格增加,如图1;
若切线与 x 轴正方向的夹角都是钝角,即切线的斜率 f'(x) < 0 , 则曲线 y = f(x) 必是严格减少,如图2。

(注:红色的圈表示切点,图1直线和x 轴正方向成的角为锐角,图2直线和x 轴正方向成的角为钝角。)
由此可见,应用导数的符号能够判别函数的单调性。
定理1:设函数 f(x) 在区间 I 可导 。
函数 f(x) 在区间 I 单调增加( 单调减少 )

定理2:(严格单调的充分条件)若函数 f(x) 在区间 I 可导 ,

则函数 f(x) 在区间 I 严格增加(严格减少)。
注:定理2只是函数严格单调的充分条件而不是必要条件。
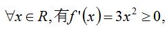
例题1、讨论函数 y = x^3 的单调性 。

而使 f'(x) = 3x^2 = 0 的点是孤立的点 0 。于是,函数 f(x) = x^3 在 R 上严格增加,如下图所示

事实上,可以证明,

而在区间 I 的任意子区间上 f'(x)不恒等于 0 的充要条件是 函数 f(x) 在区间 I 严格增加(严格减少)。
二、讨论可导函数 f(x) 的严格单调区间的步骤:
① 确定函数 f(x) 的定义域 ;
② 求导函数 f'(x)的零点(或方程 f'(x)= 0 的根 );
③ 用零点将定义域分成若干开区间 ;
④ 判别导函数 f'(x)在每个开区间的符号,根据定理 2 ,确定函数 f(x) 的严格增加或严格减少 。
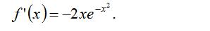
例题2、讨论函数

解:函数 f(x) 的定义域 R 。

令 f'(x)= 0 ,其根是 0 ,它将定义域 R 分成两个区间 (-∞,0)与 (0,+∞)。作表如下:

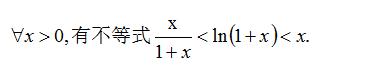
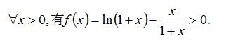
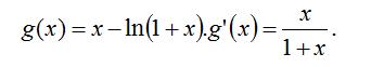
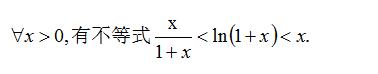
例题3、证明:

证明:分别证明这两个不等式:
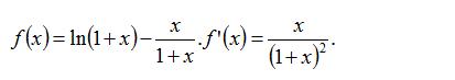
左端不等式 设

对任意的 x > 0 , 有 f'(x) > 0 , 从而,函数 f(x) 在( 0 , +∞)严格增加 ,且 f(0) = 0 ,于是 ,


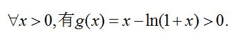
右端不等式 设

对任意的 x > 0 , 有 g'(x) > 0 , 从而,函数 g(x) 在( 0 , +∞)严格增加 ,且 g(0) = 0 ,于是 ,


综上所证,

三、导数综合(1)—— 恒成立问题:

参考答案:
