当我们去银行办业务时,接触到最多的就是银行的存款和*款贷**业务。面对各种各样的产品,不同的利率、期限时,我们到底可以获得多少存款利息,或者需要支出多少*款贷**利息呢?
下面,我们就来全面的了解下银行常见产品的利息计算方式。

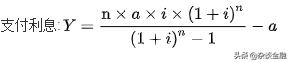
*款贷**类产品——还款方式为等额本息
我们平时接触最多的还款方式,就是等额本息还款了。这种还款方式,常见于银行中长期*款贷**产品中,如房贷、消费贷往往都是采取等额本息还款的。
那么等额本息还款方式的*款贷**利息该如何计算呢?我们需要借助一个公式:

其中,Y是总利息,*款贷**总额为a,月利率为i,还款期数为n。
借助上述公式,我们可以将已知的*款贷**金额、月利率、还款期数代入,来计算*款贷**总利息。当然,我们也可以通过网上的一些等额本息计算器来获取*款贷**利息。
*款贷**类产品——还款方式为先息后本
先息后本也是一种常见的还款方式,常见于银行的短期*款贷**中。相对于等额本息还款,先息后本还款方式的总利息会更容易计算一些。
总利息=*款贷**总额*年利率*期限
其中年利率=月利率*12,期限单位为年。
同样,我们将已知的*款贷**金额、年利率、期限代入公式后,就可以轻松的算出*款贷**总利息了。
*款贷**类产品——还款方式为等本等息
等本等息的还款方式,常见于银行的信用卡分期还款或非银行的金融机构*款贷**中,其*款贷**的总利息同样可以被非常轻松的计算出来。
总手续费=*款贷**或分期总额*月费率*期限
需要注意的是,这类还款方式往往采用费率来计息,而并非利率。因此,在这类*款贷**中,俗称的总利息严格上说应该是总手续费。
存款类产品——银行定期存款
定期存款类产品,是我们常常接触到的一类银行存款产品,也是银行中最为传统的业务之一。
存款产品的到期利息,也非常容易计算:
总利息=存款金额*年利率*期限
假设我们将10万元,以年利率4%存入银行定期,期限为3年,那么总利息就是:
100000*4%*3=12000元
计算方式非常的简单,该公式也适用于各种银行存款类产品中。
存款类产品——银行理财产品
银行理财产品我们也经常会接触到,与定期存款不同的是,理财产品的期限往往并不是一年、两年这样的,而是50天,80天,200天这样的。我们来看下,在这种情况下,该如何计算应得利息。
总收益=理财本金*理财预期收益率*实际理财天数/365
假设我们购买了10万元理财产品,预期收益率为4%,期限为200天,那么总收益就是:
100000*4%*200/365=2191.8元
这样,就可以根据实际的理财天数,来计算理财产品到期的收益了。
看到这里,大家应该可以掌握银行存款和*款贷**产品的利息如何计算了吧?不论是存款还是*款贷**,算清总利息都是非常必要的。