七年级上一元一次方程应用题讲解 (七年级上册数学一元一次方程78页)

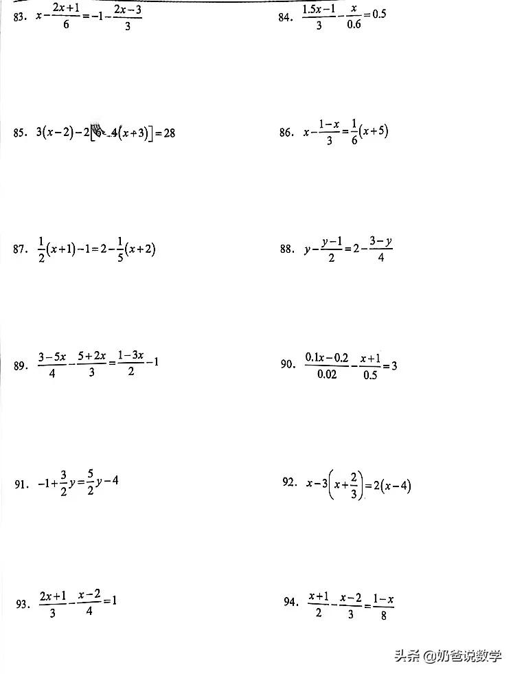
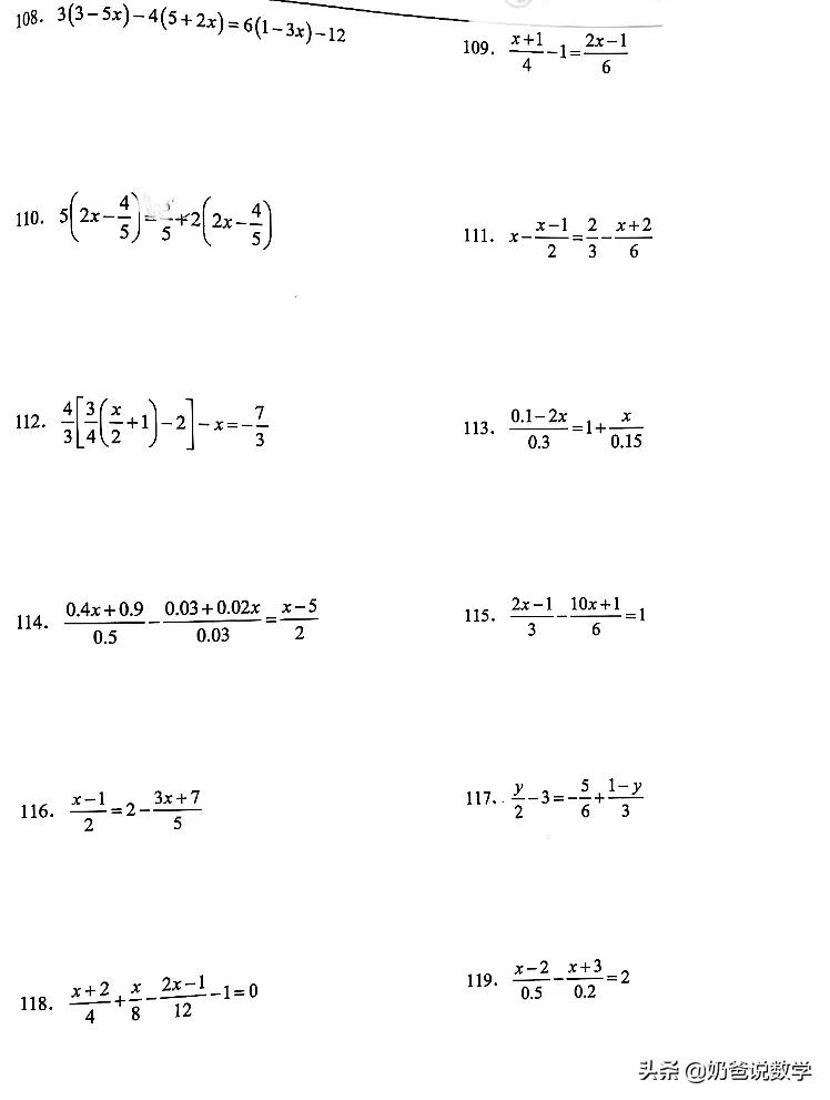
计算题是基础,必须要计算准确

七年级数学一元一次方程计算100道,七上数学一元一次方程计算题必考

七年级数学一元一次方程计算100道,七上数学一元一次方程计算题必考

七年级数学一元一次方程计算100道,七上数学一元一次方程计算题必考

七年级数学一元一次方程计算100道,七上数学一元一次方程计算题必考

七年级数学一元一次方程计算100道,七上数学一元一次方程计算题必考

七年级数学一元一次方程计算100道,七上数学一元一次方程计算题必考

七年级数学一元一次方程计算100道,七上数学一元一次方程计算题必考

七年级数学一元一次方程计算100道,七上数学一元一次方程计算题必考

七年级数学一元一次方程计算100道,七上数学一元一次方程计算题必考

七年级数学一元一次方程计算100道,七上数学一元一次方程计算题必考

七年级数学一元一次方程计算100道,七上数学一元一次方程计算题必考