初中电学的计算现在大部分遵循的模式就是。电源电压一定的情况下,调节滑动变阻器,处于两种状态下的,不同情况。各自单独分析,又掺杂一定的联系的题目(后续会有安排,写一些)。
但是,总会有异类的存在。以前电源电压是定值。现在会有一些题目,它的出题奇葩在于,电源电压是可调的。从而让你求解在一定的限制条件下的可调电压的范围。
我们以一道例题来解释说明:

例题
这道题目的第一问很简单,电灯正常发光,6V 6W的字样直接用求出电流1A。
我们重点讲解第二问。我观察一般可调电源的题目出现在串联电路居多。
讲解这道题目我认为一般分三步:
第一步:分析电路
只闭合开关S1,滑动变阻器R2与R1串联,电压表测滑动变阻器的电压。
题目中的限定条件是电压表、电流表不低于量程的一半。
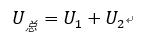
第二步:核心思路(也就是你要求的东西,列出一个式子去分析)
要求电源电压的值,我们的核心在串联电路中电压关系

公式
第三步:计算 (不同情况下的解答过程)

解答过程
如果文字看的不是很明白,可以观看视频
https://www.ixigua.com/i6832094568700183043/