

作者:彭彭
Hello,
这里是行上行下,我是喵君姐姐~
本期就是SPSS高级统计教程的最后一期啦!在前三期中,我们分别介绍了:
(1)描述性统计表格模板、卡方&T检验、相关&回归分析
(2)中介、多重中介、链式中介、调节分析、有中介的调节分析
(3)单因素方差分析、多因素方差分析、重复测量方差分析
在本期中,我们将为大家介绍EFA、CFA分析以及结构方程模型。

PS:后台回复关键词“高级统计”即可获得所述的PDF原文啦!

EFA【报告KMO、球形检验、提取方法、正/斜交、题目、解释变异量+画因子载荷表
1. Spss操作





2.图表解读

2.1 KMO和巴特利特检验
KMO: Keiser-Meyer-OlkinMeasure of sample adaquacy:探查观测变量间的偏相关性,比较简单相关系数和偏相关系数的大小,0-1之间
•KMO较小:变量不适合作因素分析
•0.9以上:非常好superb
•0.8以上:好great
•0.7:一般good
•0.6:差(0.5-0.7 mediocre)
•0.5以下:不能接受
Bartlett’s test of sphericity(球形检验),一般相关矩阵中的相关系数必须显著高于0
•相关系数偏低:因素抽取不容易,主成分数量与原变量差不多
•用来检验相关矩阵是否单位矩阵(相关系数不同且大于0)
•显著的球形考验→ 相关系数足以作为因素分析抽取因素之用

反映像矩阵(anti-image),显示偏相关的大小,矩阵中若有多对系数偏高,则应放弃使用因素分析
2.1 公因子方差


2.3 总方差解释
总方差解释:特征根/特征值:所有变量的因素载荷平方和,针对给定因素的特定值。未旋转和旋转后特征根不同,要报告旋转后的。


2.4 碎石图
看拐点

2.5 正交-成分矩阵



2.6 正交-旋转后的成分矩阵【报这个】



2.7 正交-成分转换矩阵

2.8 斜交-成分矩阵(componentmatrix)
成分矩阵(componentmatrix):公因子方差比/共同度=因素载荷平方和,针对每道题而言。旋转与否无差异。



2.9 模式矩阵【相关系数】【报这个



2.10 结构矩阵【回归系数】



2.11 成分相关性矩阵 算旋转θ角

3. 报告
使用SPSS软件对数据进行统计分析。首先,通过KMO和Bartletts球形检验分析发现,KMO值为0.93,Bartletts球形检验结果显著(近似卡方值为19334.492,df=253,p<0.001),表明该问卷的项目适合做探索性因素分析。
然后,采用主成分分析法(principle component analysis)和直接斜交转轴法(direct oblimin)对23个题目进行因素分析。结果发现,旋转后有4个因素的特征根大于1,继续对结构矩阵中的条目进行查验发现,保证题目在因子上的载荷量大于0.3,且不存在双重载荷现象(在两个或多个因素上都有大于0.30的载荷,且两个载荷之间相差不足0.2)。
删除不符合要求的题目,保留20个题目(KMO值为0.92,Bartletts球形检验结果显著,近似卡方值为16800.34,df=190,p<0.001),再次采用主成分分析法和直接斜交转轴法进行探索性因素分析,累计解释总变异达到了52.96%,具体题目载荷和共同度见表1。


CFA【报告、df、卡方/df、CFI、RMSEA、GFI、AGFI+画图】
1. Lisrel操作

1.1 另存数据




1.2 Lisrel语法
DA NI=9 NO=428【DA NI=变量数 NO=被试数】
RAW=MIL.psf【RAW=数据文件是哪个?需要另存】
MO NX=9 NK=2【MO NX=题目数 NK=维度数】
FR LX 2 1 LX 4 1 LX 7 1 LX 8 1 LX 9 1 LX 1 2 LX 3 2 LX 5 2 LX 6 2 【哪个题目对应哪个维度?】
LK【命名维度】
MILP MLIS
PD【输出】
OU SS MI
或者
DA NI=20 NO=1321 【DA NI=变量数 NO=被试数】
RAW=RRESAQ.psf 【RAW=数据文件是哪个?需要另存】
MO NX=20 NK=5 【MO NX=题目数 NK=维度数】
PA LX 【哪个题目对应哪个维度?】
1(0,0,0,0,1)
1(0,1,0,0,0)
2(0,0,0,0,1)
2(1,0,0,0,0)
1(0,0,0,1,0)
1(0,1,0,0,0)
1(1,0,0,0,0)
1(0,0,0,1,0)
2(1,0,0,0,0)
1(0,0,0,0,1)
1(0,0,0,1,0)
1(1,0,0,0,0)
3(0,0,1,0,0)
2(0,1,0,0,0)
LK 【命名维度】
LX1 LX2 LX3 LX4 LX5
PD【输出】
OU SS MI
2. Lisrel输出
3. 报告参数
卡方/df < 5
Goodness of Fit Index (GFI)> 0.90
Root Mean Square Error of Approximation 平均残差(RMSEA)< 0.08
Comparative Fit Index (CFI) > 0.90
Adjusted Goodness of Fit Index (AGFI) >0.80
或者
Hu & Bentler(1999)【Hu, Li‐tze, & Bentler, P. M. . (1999). Cutoff criteria for fit indexes in covariance structure analysis: conventional criteria versus new alternatives. Structural Equation Modeling, 6(1), 1-55.】
同时满足:CFI > 0.95;RMSEA < 0.05;卡方/df<3
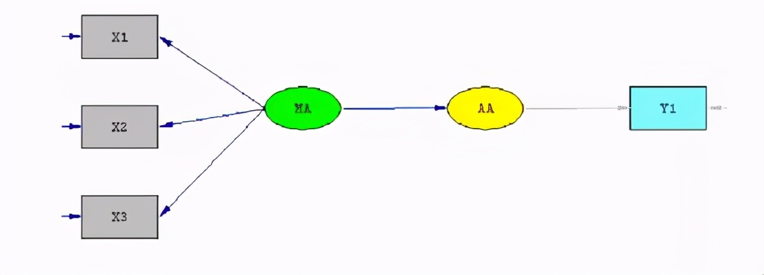
使用LISREL8.7软件对生命意义感量表进行验证性因素分析。验证性因素分析结果表明,MLIP-MLIS两因子模型拟合良好(卡方值为85.11,df=26,卡方/df=3.27,CFI=0.97,RMSEA=0.073,GFI=0.96,AGFI=0.93),所有因子载荷均大于0.30(如图1所示)。MILP和MILS相关系数为0.62,P<0.001,表明两因子模型具有良好的聚合效度和区分效度。

图 1验证性因素分析结果
结构方程模型
1. 原理
Stage 1-3 检验测量模型的理论:
Stage 1: 定义每个构念
Stage 2: 建立测量模型
Stage 3: 评价测量模型的效度
Stage 4-5 检验结构模型的理论:
Stage 4: 设定结构模型
Stage 5: 评价结构模型的效度

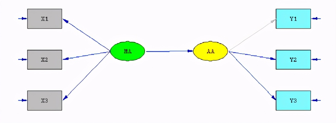
ξ:外生潜变量(exogenous latent variables),他们的影响因素处于模型之外
η:内生潜变量(endogenous latent variables),由模型内变量作用所影响的变量
X1X2X3:外生潜变量的指标,外生指标(exogenous indicators)
δ:X的测量误差
Y1Y2Y3:内生潜变量的指标,内生指标(endogenous indicators)
ε:Y的测量误差
φ(PH):ξ之间的相关,ξ因子的协方差(相关)
β(BE):η之间的相关,η因子对η因子的效应
γ(GA):ξ与η之间的相关,ξ因子对η因子的效应
ξ: 外源内隐变量
λ (LX): 外源内隐变量与外显变量的相关系数,X指标在ξ因子的负荷
λ (LY): 内源内隐变量与外显变量的相关系数,Y指标在η因子的负荷
θ δ(TD):外部指标误差的协方差矩阵,X指标误差间的关系(协方差)
θ ε(TE):内部指标误差的协方差矩阵,Y指标误差间的关系(协方差)
ζ(Zeta):方程的残差
ψ(PS):η因子残差的协方差矩阵,η因子残差的协方差(相关)

结构模型可以表达为以下方程式:
•y=λyη+ε
•x=λXξ+δ
•η=βη+γξ+ζ
LISREL模型一共有八个基础参数矩阵需要在线性结构关系模型中估计λx, λy, γ,β,φ,Ψ,θδ,θε
•λx, λy 矩阵是因子负荷矩阵
•γ,β是结构路径系数矩阵
•φ是外生潜变量的方差协方差矩阵
•Ψ(PS)是结构方程残差项ζ的方差协方差矩阵
•θδ(TD)观测误差δ的方差协方差矩阵
•θε(TE)观测误差ε的方差协方差矩阵
前提:
1.ζ与ξ无相关
2.ε与η无相关
3.δ与ξ无相关
4.ζ,ε与δ彼此无相关
2. Lisrel语法

DA NI=6 NO=200
ROW=DATA
SE【选取里面用哪几个变量】
1 4 5 6/【斜杠要加,先写Y的指标,再写X的指标】
MO NX=3【X变量的因子数】 NK=1【几个x变量】 NY=1【Y变量的因子数】 NE=1【几个y变量】TE=Zero (default=DI,FR)【单因子的Y变量的测量误差(x为TE)】
FR【设定潜变量与显变量的关系】 LX 1 1 LX 2 1 LX 3 1 LY 1 1
LK【命名左边X】
MA【左边名字】
LE【命名右边Y】
AA【右边名字】
PD
OU AL

DA NI=6 NO=200
ROW=DATA
MO NX=3 NK=1 NY=3 NE=1
FR LX 1 1 LX 2 1 LX 3 1 LY 1 1 LY 2 1 LY 3 1
LK
MA
LE
AA
PD
OU AL

DA NI=6 NO=200
LA【对所有变量命名】
Y1 Y2 Y3 Z1 Z2 Z3 X1 X2 X3
ROW=DATA
MO NY=6 NE=2 NX=3 NK=1 BE=FU【两个Y之间有相关,或者写BE=SD,默认从上到下算1-2,1-3,2-3,无需写BE 2 1】
FR LX 2 1 LX 3 1 LY 2 1 LY 3 1 LY 5 2 LY 6 2 GA 1 1【第一个X指向第一个Y】 GA 2 1【第一个X指向第二个Y】 BE 2 1【算谁与谁之间的相关】
FI LX 1 1 LY 1 1 LY 4 2
VA 1 LX 1 1 LY 1 1 LY 4 2
LK【命名】
MA
LE【命名】
AA SC
PD
OU AL

DA NI=11 NO=200
LA【对所有变量命名】
FRU CON PRE PRO1 PRO2 PRO3 PRE1 PRE2 PRE3 EMO PHI
ROW=DATA
SE
4 5 6 7 8 9 11 1 2 3
MO NY=7 NE=3 NX=3 NK=1 BE=FU【Y之间有相关】
FR LX 2 1 LX 3 1 LY 2 1 LY 3 1 LY 5 2 LY 6 2 GA 1 1【第一个X指向第一个Y】 GA 2 1【第一个X指向第二个Y】 GA 3 1【第1个X指向第三个Y】BE 3 1 BE 3 2【算谁与谁之间的相关】【x和y的显变量分开排序,均从1开始编码】
FI LX 1 1 LY 1 1 LY 4 2 LY 7 3
LK【命名】
STRESS
LE【命名】
PROACTIVE PREVENTIVE OUTCOME
PD
OU AD=OFF IT=2000 SS EF MI

DA NI=12 NO=166
LA
X1 X2 X3 P11 P12 P13 P21 P22 P23 Y1 Y2 Y3
ROW=DATA
SE
4 5 6 7 8 9 10 11 12 1 2 3
MO NY=9 NE=3 NX=3 NK=1 BE=FU
FR LX 2 1 LX 3 1 LY 2 1 LY 3 1 LY 5 2 LY 6 2 LY 8 3 LY 9 3 GA 1 1 BE 2 1 BE 3 2
FI LX 1 1 LY 1 1 LY 4 2 LY 7 3
LK
YIXIANG
LE
XIAONENG XINGWEI JIAOLV
PD
OU AD=OFF IT=2000 SS EF MI
报错:发现我的数据那行填错了mmmmp




本期的内容就到此结束啦!本期我们介绍了EFA、CFA分析,结构方程模型,感谢您对本系列的持续关注~
PS:后台回复关键词“高级统计”即可获得所述的PDF原文啦!

排版:青柚
作者:彭彭
校对:喵君姐姐


干货 | 利用SPSS进行高级统计分析第一期
干货 | 利用SPSS进行高级统计分析第二期
干货 | 利用SPSS进行高级统计分析第三期