女性盆底功能障碍性疾病(pelvic floor dysfunction,PFD)这个名字又长又绕口,感觉起来这是一个只有医生才有必要明白的词汇。
可如果说的是“子宫脱垂”等盆腔器官膨出(pelvic organ prolapse,POP)和“压力性尿*禁失**”(stress urinary incontinence,SUI)时,我们就开始警觉了。

图来自奈特人体解剖学
而当我们知道PFD影响到了美国约25%的女性,也导致北京约20%成年女性发生压力性尿*禁失**时[1],便不难发现PFD影响了多少女性的健康生活,又给多少妈妈们带来了难以启齿的困扰。
妊娠、分娩是盆底肌的大挑战
如果要了解PFD,那我们就不得不了解一下盆底的生理功能。从远古时代人类祖先开始直立行走以来,我们的盆底就起到了类似地板的作用,支撑着我们腹腔内所有脏器的重量。而这个地板是由骨盆和盆底肌组成。骨盆相当于地板的支架,而盆底肌则起到了支撑的主要作用。

不同于骨盆坚强的支撑固定,盆底肌就像是一个弹簧床,带有一定弹性。而PFD则是由于这个弹簧床出了问题。
PFD 的病因很多,流行病学调查显示妊娠和分娩是 PFD 的独立危险因素 [2]。妊娠和分娩对盆底肌的压力和拉扯让盆底肌的力量变得更弱。而PFD带来的麻烦比我们想得更加严重。
压力性尿*禁失**、盆底器官脱垂引起的生活上的麻烦和心理上的压力,不应该是女性辛苦怀胎十月收获的“回报”。因此,不论从减轻社会健康负担,还是为提升生活质量,我们必须深入了解盆底疾病的原因。
分娩方式不同,PFD发生率也不同
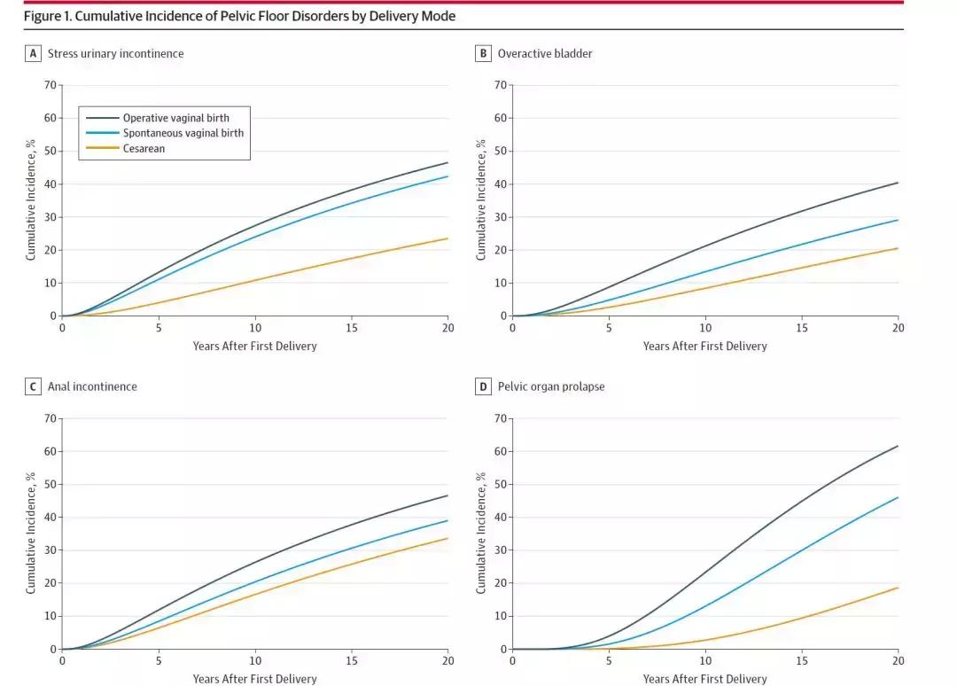
欧美国家对盆底疾病的防治素来重视。2018年12月,美国Johns Hopkins公共卫生学院的Joan对分娩方式与PFD的关系进行了客观深入的研究,结果发表于顶尖医学期刊美国医学会杂志(JAMA)上[3]。
在这项针对1528名女性的队列研究中,研究人员描述了她们首次分娩后5到10年盆底疾病(例如尿*禁失**)的发生率,确定了与发病模式相关的产妇和产科特征。研究每年进行一次随访,持续9年。

图为首次分娩后不同分娩方式下PFD累计发病率折线图
研究人员发现剖宫产可以大大降低盆底疾病的风险,最显著的是盆腔器官脱垂,而手术分娩(如产钳等)则增加了风险。对于盆腔器官脱垂,这些差异的幅度随着时间的推移而增长。
例如,第一次分娩后15年,在发生盆腔器官脱垂的女性中,9%(7%-12%)是通过剖宫产分娩的妇女,30%(25%-35%)至少有一次阴道分娩,45%(37%-53%)至少有一次手术分娩。
研究人员还发现,大部分新发的大小便*禁失**病例在分娩后的前五年内发生,而盆腔器官脱垂往往在分娩后多年发生。还有一个发现是生殖器裂孔大小与所有盆底疾病显着相关,但最显著的是盆腔器官脱垂。这表明生殖器裂孔大小可以作为一种标记,可以识别发生骨盆底疾病和老化的高风险女性。

图为不同分娩方式发生4种PFD的时间比(以自然分娩为对照)
需注意的是,该研究是目前为止在盆底功能障碍的流行病学方面持续时间最长的研究。但并不能因此就肯定剖宫产的好处,更多的是上述研究为我们综合选择分娩方式和减少盆底功能疾病的风险提供了更多的依据和更广阔的视角。
分娩后改善盆底肌的方法
对于已经经历了分娩阵痛的妈妈来说,适当改变生活方式有助于降低她们发生PFD的风险。生活窍门有6点:
足够的水量摄入,并且有正确的排尿习惯;
调整饮食,增加水和纤维素摄入;
调整排便习惯,以保证肠蠕动规律而排便时不需过分用力;
避免过多的负重和用力;
降低体重,减少吸烟;
对伴发疾病如糖尿病、咳喘、便秘等进行有效的治疗以减少对盆底功能的影响。
和所有的肌肉一样,盆底的肌肉同样可以锻炼。锻炼的方法可观看2017年TED中Clair Baker的视频[5]。(视频地址可点击阅读原文)
而当疾病出现进展、并有明显的症状时,应当及时咨询医生[1]。出现严重的盆腔压迫感,建议及时就医、评估,可采取POP一线治疗方法——放置子宫托进行试验性治疗。
其他的方法还有盆底肌肉锻炼、生物反馈指导的盆底肌肉锻炼、电刺激、磁刺激治疗等方法 [4]。
通常,联合治疗的方法优于单一治疗方法。已经有研究表明,对产后采取非手术疗法,效果明确且副作用小。
至于手术治疗方面,PFD的手术治疗方法繁多,但各种手术疗法的效果均不理想。这与盆底修复及重建手术的复杂性和多样性关系密切。
因此,当妈妈产后感觉盆底不适、出现尿*禁失**、压迫感等症状时,及时就医、及早就医并接受恰当的医学指导十分重要,并达到预防盆腔器官脱垂加重,减轻症状,增加盆底肌肉的强度、耐力和支持力,避免或延缓手术干预时间的目的。
“
通过这篇文章,我们不难发现,不论是产科医生还是孕妇妈妈,对盆底疾病的足够重视和对分娩方式选择的审慎考虑与女性产后数年乃至数十年的生活质量密切相关。这是一个值得我们所有人都关注的健康话题。
参考文献:
[1] 朱兰, 郎景和. 女性盆底功能障碍性疾病的防治策略[J]. 中华妇产科杂志, 2007, 42(12): 793-794.
[2] 丁义江. 盆底疾病的诊治进展[J]. 中国普外基础与临床杂志, 2010, 17(2): 109-111.
[3] Blomquist J L, Muñoz A, Carroll M, et al. Association of Delivery Mode With Pelvic Floor Disorders After Childbirth[J], 2018, 320(23): 2438-2447.
[4] 朱兰. 中国女性盆底康复发展和方向[J]. 实用妇产科杂志, 2017, 33(7): 481-482.
[5] https://www.tedxtauranga.com/events/tedxtauranga-2017/#videos