1. 已知正比例函数y=3x的图象经过点(1,m),则m的值为( )
A. B.3 C.- D.-3
2. 设正比例函数y=mx的图象经过点A(m,4),且y的值随x值的增大而减小,则m=( )
A.2 B.-2 C.4 D.-4
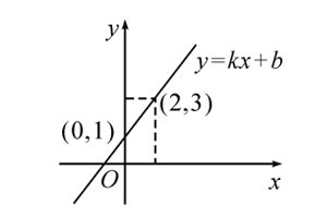
平面直角坐标系中,若直线y=kx+b经过第一、三、四象限,则直线y=bx+k不经过的象限是( )
A.第一象限 B.第二象限 C.第三象限 D.第四象限
4. 关于直线l:y=kx+k(k≠0),下列说法不正确的是( )
A.点(0,k)在l上 B.l经过定点(-1,0)
C.当k>0,y随x的增大而增 D.l经过第一、二、三象限
5. 正比例函数y=kx的图象如图所示,则k的取值范围是( )
A.k>0 B.k<0 C.k>1 D.k<1
6. 若函数y=kx-b的图象如图所示,则关于x的不等式k(x-3)-b>0的解集为( )

6 题
A.x<2 B.x>2 C.x<5 D.x>5
7. 在平面直角坐标系中,过点(-2,3)的直线l经过一、二、三象限,若点(0,a),(-1,b),(c,-1)都在直线l上,则下列判断正确的是( )
A.a<b B.a<3 C.b<3 D.c<-2
8. 同一直角坐标系中,一次函数y1=k1x+b与正比例函数y2=k2x的图象如图所示,则满足y1≥y2的x取值范围是( )

8 题
A.x≤-2 B.x≥-2 C.x<-2 D.x>-2
9. 如图,直线y=ax+b过点A(0,2)和点B(-3,0),则方程ax+b=0的解是( )

9 题
A.x=2 B.x=0 C.x=-1 D.x=-3
10. 在平面直角坐标系中,将直线l1:y=-2x-2平移后,得到直线l2:y=-2x+4,则下列平移作法正确的是( )
A.将l1向右平移3个单位长度 B.将l1向右平移6个单位长度
C.将l1向上平移2个单位长度 D.将l1向上平移4个单位长度
11. 对于函数y=-3x+1,下列结论正确的是( )
A.它的图象必经过点(-1,3)
B.它的图象经过第一、二、三象限
C.当x>1时,y<0
D.y的值随x值的增大而增大
12. 直线y=kx+3经过点A(2,1),则不等式kx+3≥0的解集是( )
A.x≤3 B.x≥3 C.x≥-3 D.x≤0
13. 如果一次函数y=kx+b(k、b是常数,k≠0)的图象经过第一、二、四象限,那么k、b应满足的条件是( )
A.k>0,且b>0 B.k<0,且b>0
C.k>0,且b<0 D.k<0,且b<0
14. 已知点(-1,y1),(4,y2)在一次函数y=3x-2的图象上,则y1,y2,0的大小关系是( )
A.0<y1<y2 B.y1<0<y2 C.y1<y2<0 D.y2<0<y1
15. 如图,过A点的一次函数的图象与正比例函数y=2x的图象相交于点B,则这个一次函数的解析式是( )

15 题
A.y=2x+3 B.y=x-3 C.y=2x-3 D.y=-x+3
16. 在平面直角坐标系中,已知一次函数y=2x+1的图象经过P1(x1,y1),P2(x2,y2)两点,若x1<x2,则y1____y2.(填“>”“<”或“=”)
17. 一次函数y=kx+b(k≠0)的图象经过A(1,0)和B(0,2)两点,则它的图象不经过第____象限.
18. 已知正比例函数y=kx的图象经过点(1,2),则k=____.
19. 把直线y=-x-1沿x轴向右平移2个单位,所得直线的函数解析式为 .
20. 一次函数y=kx+b(k,b为常数,且k≠0)的图象如图所示,根据图象信息可求得关于x的方程kx+b=0的解为 .

20 题
21. 在平面直角坐标系中,已知点A(2,3),B(4,7),直线y=kx-k(k≠0)与线段AB有交点,则k的取值范围为 .
22. 在平面直角坐标系xOy中,点A、B的坐标分别为(3,m)、(3,m+2),直线y=2x+b与线段AB有公共点,则b的取值范围是为 (用含m的代数式表示).
23. 已知直线l1:y=x+n-2与直线l2:y=mx+n相交于点P(1,2).
(1) 求m,n的值;
(2) 请结合图象直接写出不等式mx+n>x+n-2的解集.

23 题
24. 已知一次函数y=2x-4的图象与x轴、y轴分别相交于点A,B,点P在该函数的图象上,P到x轴、y轴的距离分别为d1,d2.
①当P为线段AB的中点时,求d1+d2的值;
②直接写出d1+d2的范围,并求当d1+d2=3时点P的坐标;
③若在线段AB上存在无数个P点,使d1+ad2=4(a为常数),求a的值.

24 题
25. 某校组织275名师生到青少年活动中心参加劳技活动,计划租用甲、乙两种客车共7辆,已知甲种客车载客量是30人,乙种客车载客量是45人,其中,每辆乙种客车租金比甲种客车多100元,5辆甲种客车和2辆乙种客车租金共需2300元.
(1)租用一辆甲种客车、一辆乙种客车各多少元?
(2)设租用甲种客车x辆,总租车费为w元.求w与x的函数关系式;
在保证275名师生都有座位的前提下,求当租用甲种客车多少辆时,总租车费最少,并求出这个最少费用.
26. 某水果商行计划购进A、B两种水果共200箱,这两种水果的进价、售价如下表所示:

26 题
(1)若该商行进货款为1万元,则两种水果各购进多少箱?
(2)若商行规定A种水果进货箱数不低于B种水果进货箱数的,应怎样进货才能使这批水果售完后商行获利最多?此时利润为多少?
27. 某蔬菜加工公司先后两批次收购蒜薹共100吨,第一批蒜薹价格为4000元/吨;因蒜薹大量上市,第二批价格跌至1000元/吨.这两批蒜薹共用去16万元.
(1)求两批次购进蒜薹各多少吨?
(2)公司收购后对蒜薹进行加工,分为粗加工和精加两种,粗加工每吨利润400元,精加工每吨利润1000元,要求精加工数量不多于粗加工数量的三倍,为获得最大利润,精加工数量应为多少吨?最大利润是多少?
参考答案:
1---15 BBCDA CDADA CABBD
16. <
17. 三
18. 2
19. y=-x+1
20. x=-1
21. ≤k≤3
22. m-6≤b≤m-4
23. 解:(1) 把P(1,2)代入y=x+n-2得1+n-2=2,解得n=3;
把P(1,2)代入y=mx+3得m+3=2,解得m=-1;
(2) 不等式mx+n>x+n-2的解集为x<1.
24. 解:① 对于一次函数y=2x-4,令x=0,得到y=-4;令y=0,得到x=2,∴A(2,0),B(0,-4),∵P为AB的中点,∴P(1,-2),则d1+d2=3;
② (Ⅰ)d1+d2≥2;(Ⅱ)设P(m,2m-4),∴d1+d2=|m|+|2m-4|,当0≤m≤2时,d1+d2=m+4-2m=4-m=3,解得:m=1,此时P1(1,-2);当m>2时,d1+d2=m+2m-4=3,解得:m=,此时P2(,);当m<0时,不存在,综上,P的坐标为(1,-2)或(,);
③ 设P(m,2m-4),∴d1=|2m-4|,d2=|m|,∵P在线段AB上,∴0≤m≤2,∴d1=4-2m,d2=m,∵d1+ad2=4,∴4-2m+am=4,即(a-2)m=0,∵有无数个点,∴a=2
26题 答案如下

25题 答案
26题 答案如下

26 题答案
27题 答案如下

27 题 答案