作为一个男性,要是瘦不下来,拿什么泡妞?!
今天就给大家分享一个经典案例!
科学常识告知我们,人的生命离不开食品和水。
那么问题来了,人最长可以多久不吃器械?今天丁香大夫来告知你。
27 岁的苏格兰男青年安格斯 · 巴比里(Angus Barbier,姑且叫他 AB 吧),曾在 1965 年到 1966 年时代通过完全断食的方法,从 207 公斤减到了 82 公斤,并且……活着。
一、从「胖若两人」到「判若两人」

这在有医学研讨记载可考的案例中,可能是目前历史上保持断食最长的了。
到,底,是,多,少,天,呢?
答案是……

382 天!
故事是这样子的。
1965 年的某一天, AB 来到邓迪大学医学院的玛丽菲尔德医院,希望能解决他的重度肥胖问题。
起初呢,大夫是只打算用短时光的断食疗法帮他减减肥的,由于大部分人连两三天都保持不下来。
-
断食时代不吃任何器械
-
只能喝水和一些没有热量的饮料
-
大夫要求吃各种维生素、钾、钠等矿物资类养分弥补剂
-
没有服用其它药物
然后,AB 就真的保持下来了,体重也很快地掉了下来。有趣的是,挨饿并没有给这个年轻人带来太多的不舒服。

之后 AB 当然是想再瘦一点啊,他就跟大夫说,本身还想继续断食减到理想体重。
一般情形下,大夫肯定是不会同意的,由于历久断食的康健风险很大。
只是万万没想到,大概是觉得这个小伙儿也许似乎好像有点骨骼清奇、天赋异禀的样子,大夫居然答应了他!
更加万万没想到的是,这次断食一不小心就持续了 382 天。
不要怀疑这个数字的真实性,由于一向都有数据记载,而且多次复查的化验结果都告知我们,AB 真的没有偷吃器械。
用 AB 本身的话说便是,他早就已经忘了食品的味道了。
二、断食后的 AB 产生了啥?
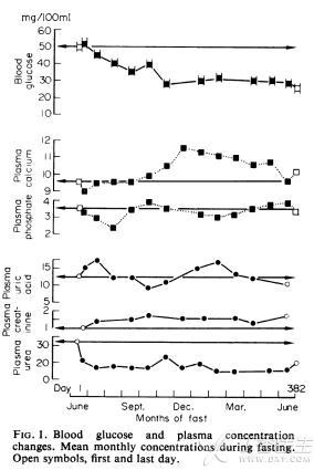
平均 37~48 天 才排便一次。
最开始,AB 住在医院接受大夫按期的监测检查,包括血液、尿液,并记载各项身材情形。过了不多久后,他就出院回家了,然后也按期去门诊复查。
而这时代的宝贵检查记载,后来也成了科学文献,发表在医学刊物上。让我们一起来看一下。

首先,低血糖。
他的血糖先是降低到了 2.8 mmol/L 左右,在断食第四个月时,达到了 1.7 mmol/L,后来一向保持在稳固程度。
不过 AB 始终自我感觉良好,没有涌现什么身材症状。大夫还测定了他的糖代谢情形,结果也没有明显异常。
然后,低血钾。
血钾过低话,就可能造成全身器官系统的病变,涌现肌肉无力、胃肠道功效受损等,以及可能造成心律失常,引发猝死。
AB 在断食的前 4 个月就涌现了低血钾,而在大夫要求他吃钾弥补剂,后来一向保持在稳固程度。
还 有,高血钙、低血镁。
AB 还涌现了高钙血症,镁的浓度也明显降低,后来一向保持在稳固程度。

还有,尿素降低。
AB 血液里的尿素程度降低,但后来一向保持在稳固程度。
还有,尿酸飙高。
AB 的血尿酸程度一度高达 17 mg/dl,而一般成年人的高限不会超过 8 mg/dl。幸运的是,他并没有涌现痛风。
……
看出来最神奇的地方了吧?
AB 的身材在历久的饥饿中,似乎找到了新的物资代谢方式, 在养分弥补剂和水的支撑下,他的身材保持了新的电解质平衡。
要不怎么说,他有点骨骼清奇呢……
可能有人会好奇,减掉的体重会反弹吗?
断食后吃的第一顿饭,是一个煮鸡蛋、一片抹了黄油的面包,以及一杯黑咖啡

断食结束 5 年后,大夫又重新测了 AB 的体重,只是从 82 公斤恢复到了 89 公斤。惊不惊喜,意不意外?
历久断食本身是一件风险颇高的事情,为什么安格斯能保持下来,没有严重的并发症呢?
一、首先,他喝充足的水。
人体的代谢离不开水,缺水的人不可能支撑如此之长的时光。
二、此外……他胖啊!
胖子自古就有胖子的生存优势,能在饥饿时调动体内储备的物资弥补本身缺少的电解质,脂肪的分解还可以为本身提供能量。
还有,这次传奇性的成功也离不开……

三、按期的医疗监测、必要的养分弥补剂,还有异常异常特殊的个人体质和顽强的毅力。
要知道,靠断食来减肥,平安性一向都很差。
在同时期也测验考试断食的其他人里,就涌现了治疗时代死亡的报道。其中,多数产生在断食早期或恢复饮食之后,也有患者死于乳酸酸中毒、心力衰竭或者肠梗阻。
而经历了历久饥饿和养分不良之后,一个人如果再次进食,可能会涌现低磷血症等电解质紊乱的问题,严重时也会致命。
四、平安永远是第一位的。
虽然「轻断食」仍然是一种治疗肥胖的可选方案,但是在缺少医学监测和专业指导的情形下,本身在家依靠长时光饿肚子减肥,甚至奢望能「饿治百病」或作为预防保健,都是异常不明智的。
三、断食的危害
断食对胃肠道的直接影响,是有大批研讨证实的。

在胃肠道历久缺少食品和消化道物资的刺激的情形下,肠粘膜会涌现萎缩,其屏障功效也会受损,这可能会造成肠道内原有细菌和毒素的移位,对付原来有肠道炎症的患者尤其不平安。
肠道微生物在全身的大批播散,可能造成严重的康健损害。我们胃肠道中的食品本身便是保持和保护胃肠道功效的重要因素。因此,对付许多不能进食的患者,医学上也常常建议用肠内养分而非肠外养分为患者提供养分支撑。
许多基础疾病,比如肝肾功效不全、甲亢,都是绝对不允许断食的。
厌食症人群也不应该测验考试断食,由于它可能加重进食障碍。
对付因各类疾病服用药物的人,由于由于饥饿时的生理状态特殊,也可能涌现种种平时不易产生的难以预料的风险。更不用说,孕妇和哺乳期女性也不能测验考试断食。
虽然大批的医学研讨和膳食指南都对人每天摄入的物资和能量给出了限制标准,我们也知道暴饮暴食、饮食结构不合理会危害康健,但是现有的研讨都不会认为几天只吃一顿饭的人会活得更康健。
你们认为怎么容易瘦的快呢?可以下方评论讨论噢!