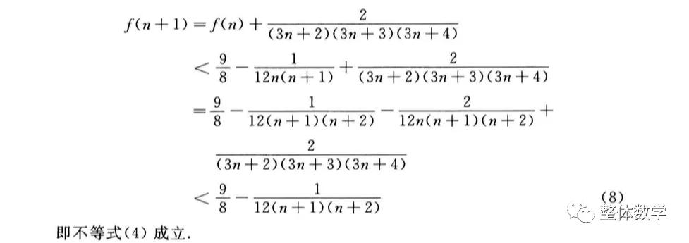
最近看单墫老师的《我怎样解题》一书,里面有一块内容是介绍加强归纳法的,受此启发笔者使用该方法解了下2012年天津数学压轴题最后一问,当然解题过程中使用了对数平均不等式,相关内容可以参考笔者之前写的《从对数平均不等式角度看2012年天津压轴题最后一问》一文。先看加强归纳这部分内容:





然后是天津2012年题目和笔者解法:


最近看单墫老师的《我怎样解题》一书,里面有一块内容是介绍加强归纳法的,受此启发笔者使用该方法解了下2012年天津数学压轴题最后一问,当然解题过程中使用了对数平均不等式,相关内容可以参考笔者之前写的《从对数平均不等式角度看2012年天津压轴题最后一问》一文。先看加强归纳这部分内容:





然后是天津2012年题目和笔者解法:

